Cho hàm số \(y = f\left( x \right)\) có đạo hàm thỏa mãn \(f'\left( { - 2} \right) = - 1\). Tính 
Quảng cáo
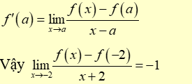
Trả lời:
Đáp án đúng là B
Phương pháp giải
Sử dụng định nghĩa đạo hàm
Lời giải

Hot: 1000+ Đề thi cuối kì 1 file word cấu trúc mới 2025 Toán, Văn, Anh... lớp 1-12 (chỉ từ 60k). Tải ngay
- Tuyển tập 30 đề thi đánh giá năng lực Đại học Quốc gia Hà Nội 2025 (Tập 1) ( 39.000₫ )
- Tuyển tập 30 đề thi đánh giá năng lực Đại học Quốc gia TP Hồ Chí Minh (2 cuốn) ( 140.000₫ )
- Tuyển tập 15 đề thi Đánh giá tư duy Đại học Bách Khoa Hà Nội 2025 (Tập 1) ( 39.000₫ )
- Tuyển tập 30 đề thi đánh giá năng lực Đại học Quốc gia Hà Nội, TP Hồ Chí Minh (2 cuốn) ( 150.000₫ )
CÂU HỎI HOT CÙNG CHỦ ĐỀ
Câu 1
Lời giải
Đáp án đúng là D
Phương pháp giải
Tính thể tích
Lời giải

Ta có \(A'A = A'B = A'C = a\sqrt 7 \) nên \(A'\) cách đều ba điểm \(A,B,C\). Gọi \(M\) là trung điểm của \(BC\) và \(G\) là trọng tâm tam giác đều \(ABC\) suy ra \(A'G \bot \left( {ABC} \right)\)
Gọi \(H\) là hình chiếu của \(B'\) lên \(\left( {ABC} \right),B'C \cap \left( {ABC} \right) = C \Rightarrow HC\) là hình chiếu của \(B'C\) lên \(\left( {ABC} \right)\).
Suy ra \(\left( {B'C\widehat {\left( {ABC} \right)}} \right) = \left( {\widehat {B'C;HC}} \right) = {30^ \circ }\), và
\(B'H = d\left( {B';\left( {ABC} \right)} \right) = d\left( {A';\left( {ABC} \right)} \right) = A'G\) (vì \(A'B'//\left( {ABC} \right)\))
Xét tam giác \(B'HC\) vuông tại \(H\) ta có:
\({\rm{sin}}{30^ \circ } = \frac{{d\left( {B';\left( {ABC} \right)} \right)}}{{B'C}} = \frac{{d\left( {A';\left( {ABC} \right)} \right)}}{{B'C}} = \frac{{A'G}}{{B'C}}\).
Suy ra \(B'C = 2A'G\), đặt \(x = A'G,x > 0 \Rightarrow B'C = 2x\).
Mà ta thấy \(BC \bot \left( {A'AM} \right) \Rightarrow BC \bot A'A \Rightarrow BC \bot B'B \Rightarrow B'BC'C\) là hình chữ nhật.
Xét tam giác \(A'AG\) vuông tại \(G\), suy ra
\(AG = \sqrt {A'{A^2} - A'{G^2}} = \sqrt {7{a^2} - {x^2}} \Rightarrow AM = \frac{3}{2}AG = \frac{3}{2}\sqrt {7{a^2} - {x^2}} \)
\( \Rightarrow AB = BC = AC = \sqrt {3\left( {7{a^2} - {x^2}} \right)} \).
Xét tam giác \(B'BC\) vuông tại \(B\)
\( \Leftrightarrow B'{B^2} + B{C^2} = B'{C^2} \Leftrightarrow 7{a^2} + 3\left( {7{a^2} - {x^2}} \right) = 4{x^2} \Leftrightarrow x = 2a\).
Suy ra \(A'G = 2a \Rightarrow AB = BC = AC = 3a \Rightarrow {S_{ABC}} = \frac{{9\sqrt 3 }}{4}{a^2}\).
Vậy \({V_{ABC.A'B'C'}} = A'G.{S_{ABC}} = 2a.\frac{{9\sqrt 3 }}{4}{a^2} = \frac{{9\sqrt 3 }}{2}{a^3}\).
Câu 2
Lời giải
Đáp án đúng là B
Phương pháp giải
Tính chu kỳ của hàm số lượng giác.
Lời giải
Ta có \({\rm{cos}}\left( {\frac{{\pi t}}{{12}} + \frac{\pi }{3}} \right)\) có chu kỳ là \(\frac{{2\pi }}{{\frac{\pi }{{12}}}} = 24\).
Lời giải
Bạn cần đăng ký gói VIP ( giá chỉ từ 199K ) để làm bài, xem đáp án và lời giải chi tiết không giới hạn.
Lời giải
Bạn cần đăng ký gói VIP ( giá chỉ từ 199K ) để làm bài, xem đáp án và lời giải chi tiết không giới hạn.
Câu 5
Lời giải
Bạn cần đăng ký gói VIP ( giá chỉ từ 199K ) để làm bài, xem đáp án và lời giải chi tiết không giới hạn.
Câu 6
Lời giải
Bạn cần đăng ký gói VIP ( giá chỉ từ 199K ) để làm bài, xem đáp án và lời giải chi tiết không giới hạn.
Câu 7
Lời giải
Bạn cần đăng ký gói VIP ( giá chỉ từ 199K ) để làm bài, xem đáp án và lời giải chi tiết không giới hạn.
