Hợp chất MX2 có tổng số hạt mang điện là 64. Tổng số hạt proton của các nguyên tử X trong hợp chất bằng số hạt proton của nguyên tử M trong hợp chất. Nguyên tử X có bao nhiêu electron độc thân?
Quảng cáo
Trả lời:
Đáp án đúng là C
Phương pháp giải
Lời giải
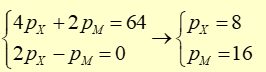
Ta có: 
→ Cấu hình electron biểu diễn theo ô orbital của nguyên tử của X là

→ Nguyên tử X có 2 electron độc thân.
Hot: 1000+ Đề thi giữa kì 2 file word cấu trúc mới 2026 Toán, Văn, Anh... lớp 1-12 (chỉ từ 60k). Tải ngay
- Tuyển tập 15 đề thi Đánh giá tư duy Đại học Bách Khoa Hà Nội 2025 (Tập 1) ( 39.000₫ )
- Tuyển tập 30 đề thi đánh giá năng lực Đại học Quốc gia TP Hồ Chí Minh (2 cuốn) ( 140.000₫ )
- Tuyển tập 30 đề thi đánh giá năng lực Đại học Quốc gia Hà Nội 2025 (Tập 1) ( 39.000₫ )
- Tuyển tập 30 đề thi đánh giá năng lực Đại học Quốc gia Hà Nội, TP Hồ Chí Minh (2 cuốn) ( 150.000₫ )
CÂU HỎI HOT CÙNG CHỦ ĐỀ
Câu 1
C. Đường sắt có cự li vận chuyển trung bình nhỏ hơn đường bộ.
Lời giải
Đáp án đúng là A
Phương pháp giải
Nhận xét bảng số liệu.
Lời giải
- Công thức:
Cự li vận chuyển trung bình = Khối lượng luân chuyển/Khối lượng vận chuyển.
- Dựa vào công thức tính trên, ta có bảng số liệu sau:
Cự li vận chuyển hàng hóa trung bình phân theo ngành vận tải của nước ta năm 2021

=> Đường hàng không có cự li vận chuyển trung bình dài nhất là nhận xét đúng.
Câu 2
Lời giải
Đáp án đúng là A
Phương pháp giải
Xác suất toàn phần.
Lời giải
Gọi A là biến cố "Giáo viên chọn được bạn lớp trưởng là nam"
B là biến cố "Giáo viên chọn được bạn lớp phó là nữ"
Khi đó ta có \(P\left( A \right) = \frac{{24}}{{44}} = \frac{6}{{11}} \Rightarrow P\left( {\overline A } \right) = \frac{5}{{11}}\).
Nếu giáo viên chọn bạn lớp trưởng là nam thì sau đó còn lại 43 bạn học sinh, trong đó có 20 học sinh nữ \( \Rightarrow P\left( {B\mid A} \right) = \frac{{20}}{{43}}\).
Nếu giáo viên chọn bạn lớp trưởng là nữ thì sau đó còn lại 43 học sinh, trong đó có 19 học sinh nữ \( \Rightarrow P\left( {B\mid \overline A } \right) = \frac{{19}}{{43}}\).
Theo công thức xác suất toàn phần, xác suất giáo viên chọn lớp phó là học sinh nữ là:
\(P\left( B \right) = P\left( A \right).P\left( {BA} \right) + P\left( {\overline A } \right).P\left( {B|\overline A } \right) = \frac{6}{{11}}.\frac{{20}}{{43}} + \frac{5}{{11}}.\frac{{19}}{{43}} = \frac{5}{{11}}\).
Lời giải
Bạn cần đăng ký gói VIP ( giá chỉ từ 199K ) để làm bài, xem đáp án và lời giải chi tiết không giới hạn.
Câu 4
Lời giải
Bạn cần đăng ký gói VIP ( giá chỉ từ 199K ) để làm bài, xem đáp án và lời giải chi tiết không giới hạn.
Lời giải
Bạn cần đăng ký gói VIP ( giá chỉ từ 199K ) để làm bài, xem đáp án và lời giải chi tiết không giới hạn.
Lời giải
Bạn cần đăng ký gói VIP ( giá chỉ từ 199K ) để làm bài, xem đáp án và lời giải chi tiết không giới hạn.
Câu 7
C. Tuổi thọ trung bình cao.
Lời giải
Bạn cần đăng ký gói VIP ( giá chỉ từ 199K ) để làm bài, xem đáp án và lời giải chi tiết không giới hạn.



