Cho hàm số \[y = f\left( x \right)\] có bảng biến thiên như hình dưới:
![Cho hàm số y = f( x )\] có bảng biến thiên như hình dưới: (ảnh 1)](https://video.vietjack.com/upload2/quiz_source1/2026/01/blobid2-1768356930.png)
Số điểm cực trị của hàm số \(y = f\left( {{x^2} - 4x + 1} \right)\) là:
Quảng cáo
Trả lời:
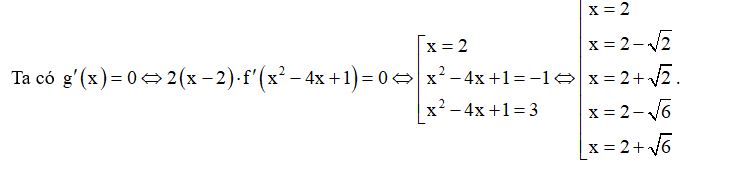
Đặt \(g\left( x \right) = f\left( {{x^2} - 4x + 1} \right)\).
\( \Rightarrow g'\left( x \right) = {\left( {{x^2} - 4x + 1} \right)^\prime } \cdot f'\left( {{x^2} - 4x + 1} \right) = 2\left( {x - 2} \right) \cdot f'\left( {{x^2} - 4x + 1} \right)\).
![Cho hàm số y = f( x )\] có bảng biến thiên như hình dưới: (ảnh 1)](https://video.vietjack.com/upload2/quiz_source1/2026/01/blobid4-1768357010.png)
Ta có bảng xét dấu của \(g'\left( x \right)\).
![Cho hàm số y = f( x )\] có bảng biến thiên như hình dưới: (ảnh 2)](https://video.vietjack.com/upload2/quiz_source1/2026/01/blobid3-1768356964.png)
Dựa vào bảng biến thiên ta thấy hàm số \(g\left( x \right) = f\left( {{x^2} - 4x + 1} \right)\) có 5 điểm cực trị. Chọn D.
Hot: 1000+ Đề thi giữa kì 2 file word cấu trúc mới 2026 Toán, Văn, Anh... lớp 1-12 (chỉ từ 60k). Tải ngay
- Tuyển tập 30 đề thi đánh giá năng lực Đại học Quốc gia Hà Nội 2025 (Tập 1) ( 39.000₫ )
- Tuyển tập 15 đề thi Đánh giá tư duy Đại học Bách Khoa Hà Nội 2025 (Tập 1) ( 39.000₫ )
- Tuyển tập 30 đề thi đánh giá năng lực Đại học Quốc gia TP Hồ Chí Minh (2 cuốn) ( 140.000₫ )
- Tuyển tập 30 đề thi đánh giá năng lực Đại học Quốc gia Hà Nội, TP Hồ Chí Minh (2 cuốn) ( 150.000₫ )
CÂU HỎI HOT CÙNG CHỦ ĐỀ
Câu 1
Lời giải
Gọi A là biến cố “gọi được sinh viên nữ”.
Gọi B là biến cố “gọi được sinh viên đạt điểm giỏi môn xác suất thống kê”.
Ta đi tính \[P\left( {B|A} \right)\]. Ta có: \[P\left( A \right) = \frac{{55}}{{95}}\]; \[P\left( {A \cap B} \right) = \frac{{11}}{{95}}\].
Do đó: \[P\left( {B|A} \right) = \frac{{P\left( {A \cap B} \right)}}{{P\left( A \right)}} = \frac{{11}}{{95}}:\frac{{55}}{{95}} = \frac{{11}}{{55}} = \frac{1}{5}\]. Chọn A.
Lời giải
Thay \(t = 2\) phút \( = \frac{1}{{30}}\) giờ, \({T_0} = 96\,,\,T = 90\,,\,S = 24\) ta có \(\frac{1}{{30}}k = \ln \frac{{90 - 24}}{{96 - 24}}\).
Do đó \(k = 30\ln \frac{{11}}{{12}}\).
Sau 10 phút \( = \frac{1}{6}\) giờ, ta có \(\frac{1}{6}k = \ln \frac{{T - 24}}{{96 - 24}}\) hay \(5\ln \frac{{11}}{{12}} = \ln \frac{{T - 24}}{{72}}\). Do đó \(\frac{{T - 24}}{{72}} = {\left( {\frac{{11}}{{12}}} \right)^5}\).
Suy ra \(T = 72 \cdot {\left( {\frac{{11}}{{12}}} \right)^5} + 24 \approx 70,6^\circ {\rm{C}}\). Vậy nhiệt độ của cốc trà sau 10 phút khoảng \(70,6^\circ {\rm{C}}\).
Đáp án cần nhập là: \(70,6\).
Câu 3
Lời giải
Bạn cần đăng ký gói VIP ( giá chỉ từ 199K ) để làm bài, xem đáp án và lời giải chi tiết không giới hạn.
Câu 4
Lời giải
Bạn cần đăng ký gói VIP ( giá chỉ từ 199K ) để làm bài, xem đáp án và lời giải chi tiết không giới hạn.
Lời giải
Bạn cần đăng ký gói VIP ( giá chỉ từ 199K ) để làm bài, xem đáp án và lời giải chi tiết không giới hạn.
Câu 6
Lời giải
Bạn cần đăng ký gói VIP ( giá chỉ từ 199K ) để làm bài, xem đáp án và lời giải chi tiết không giới hạn.
Lời giải
Bạn cần đăng ký gói VIP ( giá chỉ từ 199K ) để làm bài, xem đáp án và lời giải chi tiết không giới hạn.


