Cho đa thức \(f\left( x \right)\) thỏa mãn:
.Tính giới hạn: \(\mathop {{\rm{lim}}}\limits_{x \to 1} \frac{{\sqrt[3]{{3f\left( x \right) + 34}} - 4}}{{2{x^2} - 3x + 1}}\).
Quảng cáo
Trả lời:
Đáp án đúng là D
Phương pháp giải
Tính giới hạn hàm số
Lời giải
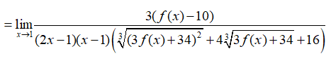
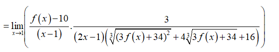
Đặt \(g\left( x \right) = \frac{{f\left( x \right) - 10}}{{x - 1}} \Rightarrow f\left( x \right) = \left( {x - 1} \right)g\left( x \right) + 10\)

Xét giới hạn:
\(\mathop {{\rm{lim}}}\limits_{x \to 1} \frac{{3f(x) + 34 - 64}}{{\left( {2{x^3} - 3x + 1} \right)\left( {\sqrt[3]{{{{(3f(x) + 34)}^2}}} + 4\sqrt[3]{{3f(x) + 34}} + 16} \right)}}\)


\( = 4.\frac{3}{{48}} = \frac{1}{4}\)
Hot: 1000+ Đề thi cuối kì 2 file word cấu trúc mới 2026 Toán, Văn, Anh... lớp 1-12 (chỉ từ 60k). Tải ngay
CÂU HỎI HOT CÙNG CHỦ ĐỀ
Lời giải
Đáp án đúng là "5"
Phương pháp giải
Sử dụng biểu thức máy biến áp: \[\frac{{{U_1}}}{{{U_2}}} = \frac{{{N_1}}}{{{N_2}}}\]
Lời giải
Xét trên cuộn sơ cấp có điện áp và số vòng dây lần lượt là: \[\left\{ {\begin{array}{*{20}{l}}{{U_1} = 50{\rm{V}}}\\{{N_1} = 100}\end{array}} \right.\]
Trên cuộn thứ cấp điện áp và số vòng dây lần lượt là: \[\left\{ {\begin{array}{*{20}{l}}{{U_2}}\\{{N_2} = 10}\end{array}} \right.\]
Áp dụng biểu thức máy biến áp: \[\frac{{{U_1}}}{{{U_2}}} = \frac{{{N_1}}}{{{N_2}}} \Leftrightarrow \frac{{50}}{{{U_2}}} = \frac{{100}}{{10}} \Rightarrow {U_2} = 5{\rm{V}}\]
Câu 2
Lời giải
Đáp án đúng là C
Phương pháp giải
Dựa vào lý thuyết tập tính ở động vật
Lời giải
Quen nhờn là một hình thức học tập xảy ra khi một động vật mất đi phản ứng với một kích thích đã được lặp lại nhiều lần và không gây ra hậu quả tiêu cực
Trong trường hợp này, con ốc sên ban đầu rụt đầu vào trong vỏ khi bị chạm vào, nhưng sau nhiều lần kích thích mà không có nguy hiểm, nó đã "quen" và không còn phản ứng nữa.
Lời giải
Bạn cần đăng ký gói VIP ( giá chỉ từ 250K ) để làm bài, xem đáp án và lời giải chi tiết không giới hạn.
Lời giải
Bạn cần đăng ký gói VIP ( giá chỉ từ 250K ) để làm bài, xem đáp án và lời giải chi tiết không giới hạn.
Câu 5
D. Ông Xã cùng bà vợ quyết định phản kháng lại quan sứ vì sự tàn bạo của ông.
Lời giải
Bạn cần đăng ký gói VIP ( giá chỉ từ 250K ) để làm bài, xem đáp án và lời giải chi tiết không giới hạn.
Câu 6
Lời giải
Bạn cần đăng ký gói VIP ( giá chỉ từ 250K ) để làm bài, xem đáp án và lời giải chi tiết không giới hạn.
Câu 7
Lời giải
Bạn cần đăng ký gói VIP ( giá chỉ từ 250K ) để làm bài, xem đáp án và lời giải chi tiết không giới hạn.