Cho a, b là các số thực khác 0. Biết
. Xác định tích a.b ? (nhập đáp án vào ô trống)
Đáp án: __
Quảng cáo
Trả lời:
Đáp án đúng là "2"
Phương pháp giải
Đánh giá và biện luận
Lời giải
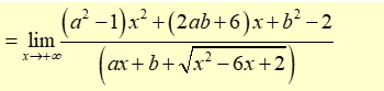
Ta có:


Để giới hạn đã cho bằng \(5 \Rightarrow {a^2} - 1 = 0 \Leftrightarrow a = \pm 1\)
Trường hợp 1: \(a = - 1\) loại vì khi tính giới hạn ra mẫu bằng 0
Trường hợp2:
\( \Rightarrow \frac{{2b + 6}}{2} = 5 \Rightarrow 2b + 6 = 10 \Rightarrow b = 2\)
Vậy tích \(a.b = 2\)
Hot: 1000+ Đề thi cuối kì 2 file word cấu trúc mới 2026 Toán, Văn, Anh... lớp 1-12 (chỉ từ 60k). Tải ngay
CÂU HỎI HOT CÙNG CHỦ ĐỀ
Câu 1
Lời giải
Đáp án đúng là A
Phương pháp giải
Vận dụng lí thuyết về các cách mắc dụng cụ
Lời giải
Các dụng cụ điện trong nhà thường được mắc song song vì:
Nếu một dụng cụ bị hỏng hoặc ngừng hoạt động (mạch của dụng cụ đó bị ngắt), thì các dụng cụ khác vẫn có thể hoạt động bình thường do chúng không phụ thuộc vào nhau.
Trong mạch song song, hiệu điện thế của mỗi dụng cụ bằng hiệu điện thế của nguồn điện, đảm bảo các dụng cụ hoạt động đúng với thông số kỹ thuật định mức của chúng.
Nếu mắc nối tiếp, dòng điện qua các dụng cụ sẽ như nhau, nhưng:
Nếu một dụng cụ bị hỏng (mạch bị hở), toàn bộ hệ thống sẽ ngừng hoạt động.
Hiệu điện thế sẽ chia đều cho các dụng cụ, làm giảm hiệu quả hoạt động và không đảm bảo yêu cầu kỹ thuật.
Câu 2
Lời giải
Đáp án đúng là B
Phương pháp giải
Xác định khoảng cách giữa điểm và mặt phẳng
Lời giải

\(C'M \cap \left( {A'BC} \right) = C\), suy ra \(\frac{{d\left( {M,\left( {A'BC} \right)} \right)}}{{d\left( {C',\left( {A'BC} \right)} \right)}} = \frac{{C'M}}{{C'C}} = \frac{1}{2}\).
Ta có \({V_{C'.A'BC}} = \frac{1}{3}{V_{ABC.A'B'C'}} = \frac{1}{3}.C'C.{S_{\Delta ABC}} = \frac{1}{3}.a.\frac{{{a^2}\sqrt 3 }}{4} = \frac{{{a^3}\sqrt 3 }}{{12}}\).
Lại có \(A'B = a\sqrt 2 ,CB = a,A'C = a\sqrt 2 \Rightarrow {S_{A'BC}} = \frac{{{a^2}\sqrt 7 }}{4}\).
Suy ra \(d\left( {C',\left( {A'BC} \right)} \right) = \frac{{3{V_{C'.A'BC}}}}{{{S_{{\rm{\Delta }}A'BC}}}} = \frac{{3.\frac{{{a^3}\sqrt 3 }}{{12}}}}{{\frac{{{a^2}\sqrt 7 }}{4}}} = \frac{{a\sqrt {21} }}{7}\).
Vậy \(d\left( {M,\left( {A'BC} \right)} \right) = \frac{1}{2}d\left( {C',\left( {A'BC} \right)} \right) = \frac{1}{2}.\frac{{a\sqrt {21} }}{7} = \frac{{a\sqrt {21} }}{{14}}\).
Câu 3
Lời giải
Bạn cần đăng ký gói VIP ( giá chỉ từ 250K ) để làm bài, xem đáp án và lời giải chi tiết không giới hạn.
Lời giải
Bạn cần đăng ký gói VIP ( giá chỉ từ 250K ) để làm bài, xem đáp án và lời giải chi tiết không giới hạn.
Lời giải
Bạn cần đăng ký gói VIP ( giá chỉ từ 250K ) để làm bài, xem đáp án và lời giải chi tiết không giới hạn.
Câu 6
Lời giải
Bạn cần đăng ký gói VIP ( giá chỉ từ 250K ) để làm bài, xem đáp án và lời giải chi tiết không giới hạn.
Câu 7
A. truyền thống đấu tranh kiên cường của vùng đất Nghệ An.
Lời giải
Bạn cần đăng ký gói VIP ( giá chỉ từ 250K ) để làm bài, xem đáp án và lời giải chi tiết không giới hạn.

