Cho hàm số \(y = f\left( x \right)\) có \(f\left( 0 \right) = 0\) và \(f'\left( x \right) = {\rm{si}}{{\rm{n}}^8}x - {\rm{co}}{{\rm{s}}^8}x - 4{\rm{si}}{{\rm{n}}^6}x,\forall x \in \mathbb{R}\). Tính .
Quảng cáo
Trả lời:
Đáp án đúng là D
Phương pháp giải
Sử dụng công thức lượng giác để đưa về hàm số lượng giác bậc nhất. Áp dụng tính nguyên hàm của hàm số lượng giác.
Lời giải
Ta có: \({\rm{si}}{{\rm{n}}^8}x - {\rm{co}}{{\rm{s}}^8}x - 4{\rm{si}}{{\rm{n}}^6}x = \left( {{\rm{si}}{{\rm{n}}^4}x - {\rm{co}}{{\rm{s}}^4}x} \right)\left( {{\rm{si}}{{\rm{n}}^4}x + {\rm{co}}{{\rm{s}}^4}x} \right) - 4{\rm{si}}{{\rm{n}}^6}x\)
\( = \left( {{\rm{si}}{{\rm{n}}^2}x - {\rm{co}}{{\rm{s}}^2}x} \right)\left( {{\rm{si}}{{\rm{n}}^4}x + {\rm{co}}{{\rm{s}}^4}x} \right) - 4{\rm{si}}{{\rm{n}}^6}x\)
\( = {\rm{co}}{{\rm{s}}^4}x{\rm{si}}{{\rm{n}}^2}x - {\rm{si}}{{\rm{n}}^4}x{\rm{co}}{{\rm{s}}^2}x - {\rm{co}}{{\rm{s}}^6}x - 3{\rm{si}}{{\rm{n}}^6}x\)
\( = {\rm{co}}{{\rm{s}}^4}x{\rm{si}}{{\rm{n}}^2}x - {\rm{si}}{{\rm{n}}^4}x{\rm{co}}{{\rm{s}}^2}x - 2{\rm{si}}{{\rm{n}}^6}x - \left( {{\rm{co}}{{\rm{s}}^6}x + {\rm{si}}{{\rm{n}}^6}x} \right)\)
\( = {\rm{si}}{{\rm{n}}^2}x\left( {{\rm{co}}{{\rm{s}}^4}x - {\rm{si}}{{\rm{n}}^4}x} \right) - {\rm{si}}{{\rm{n}}^4}x\left( {{\rm{co}}{{\rm{s}}^2}x + {\rm{si}}{{\rm{n}}^2}x} \right) - \left( {1 - 3{{\cos }^2}x.{\rm{si}}{{\rm{n}}^2}x} \right)\)
\( = 4{\cos ^2}x.{\rm{si}}{{\rm{n}}^2}x - 2{\rm{si}}{{\rm{n}}^4}x - 1 = - \frac{3}{4}{\rm{cos}}4x + {\rm{cos}}2x - \frac{5}{4}\).
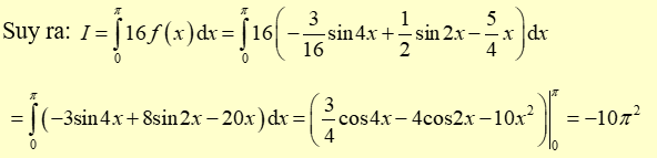
Suy ra: 
\( = \mathop \smallint \nolimits^ \left( { - \frac{3}{4}{\rm{cos}}4x + {\rm{cos}}2x - \frac{5}{4}} \right){\rm{d}}x = - \frac{3}{{16}}{\rm{sin}}4x + \frac{1}{2}{\rm{sin}}2x - \frac{5}{4}x + C\).
Vì \(f\left( 0 \right) = 0 \Rightarrow C = 0\).
Vậy \(f\left( x \right) = - \frac{3}{{16}}{\rm{sin}}4x + \frac{1}{2}{\rm{sin}}2x - \frac{5}{4}x\).

Hot: 1000+ Đề thi cuối kì 2 file word cấu trúc mới 2026 Toán, Văn, Anh... lớp 1-12 (chỉ từ 60k). Tải ngay
CÂU HỎI HOT CÙNG CHỦ ĐỀ
Lời giải
Đáp án đúng là B
Phương pháp giải
Sử dụng kiến thức về xác suất có điều kiện.
Lời giải
Gọi \({A_1}\) là biến cố "Thí sinh qua vòng 1"
\({A_2}\) là biến cố "Thí sinh qua vòng 2"
\({A_3}\) là biến cố "Thí sinh qua vòng 3"
\(B\) là biến cố "Thí sinh vượt qua 3 vòng thi"
Ta có \(P\left( B \right) = P\left( {{A_1}{A_2}{A_3}} \right) = P\left( {{A_1}} \right)P\left( {{A_2}\mid {A_1}} \right)P\left( {{A_3}\mid {A_1}{A_2}} \right)\)
\( = \frac{9}{{10}}.\frac{8}{{10}}.\frac{9}{{10}} = 64,8{\rm{\% }} = 0,648\)
Câu 2
Lời giải
Đáp án đúng là C
Phương pháp giải
Đọc hiểu tìm thông tin đoạn 1
Lời giải
Theo đoạn 1, điều gì đã xảy ra ở một số nước sản xuất dầu?
A. Nguồn cung dầu không thể đoán trước.
B. Họ không muốn bán dầu nữa.
C. Họ không sản xuất nhiều dầu như trước nữa.
D. Hiện tượng nóng lên toàn cầu ở đây nghiêm trọng hơn ở các nước khác.
Thông tin: The upcoming decades will bring significant changes in energy supply and consumption. As some major oil-producing countries have already reached 'peak oil' and concerns about global warming rise, many nations are prioritizing the transition to a low-carbon economy, which will transform electricity supply and usage.
Tạm dịch: Những thập kỷ sắp tới sẽ mang lại những thay đổi đáng kể về nguồn cung và tiêu thụ năng lượng. Khi một số quốc gia sản xuất dầu lớn đã đạt đến 'đỉnh dầu' và mối lo ngại về tình trạng nóng lên toàn cầu gia tăng, nhiều quốc gia đang ưu tiên chuyển đổi sang nền kinh tế ít carbon, điều này sẽ chuyển đổi nguồn cung và sử dụng điện.
Câu 3
Lời giải
Bạn cần đăng ký gói VIP ( giá chỉ từ 250K ) để làm bài, xem đáp án và lời giải chi tiết không giới hạn.
Câu 4
Lời giải
Bạn cần đăng ký gói VIP ( giá chỉ từ 250K ) để làm bài, xem đáp án và lời giải chi tiết không giới hạn.
Câu 5
Lời giải
Bạn cần đăng ký gói VIP ( giá chỉ từ 250K ) để làm bài, xem đáp án và lời giải chi tiết không giới hạn.
Câu 6
Lời giải
Bạn cần đăng ký gói VIP ( giá chỉ từ 250K ) để làm bài, xem đáp án và lời giải chi tiết không giới hạn.
Câu 7
Lời giải
Bạn cần đăng ký gói VIP ( giá chỉ từ 250K ) để làm bài, xem đáp án và lời giải chi tiết không giới hạn.