Đề thi Đánh giá năng lực ĐHQG Hà Nội form 2025 có đáp án (Đề 38)
214 người thi tuần này 4.6 214 lượt thi 235 câu hỏi
Bạn cần đăng ký gói VIP ( giá chỉ từ 250K ) để làm bài, xem đáp án và lời giải chi tiết không giới hạn.
🔥 Học sinh cũng đã học
Đề thi Đánh giá năng lực ĐHQG Hà Nội form 2026 có đáp án (Đề số 1)
Đề thi Đánh giá năng lực ĐHQG Hà Nội form 2026 có đáp án (Đề số 16)
Đề thi Đánh giá năng lực ĐHQG Hà Nội form 2026 có đáp án (Đề số 15)
Đề thi Đánh giá năng lực ĐHQG Hà Nội form 2026 có đáp án (Đề số 4)
Đề thi Đánh giá năng lực ĐHQG Hà Nội form 2026 có đáp án (Đề số 14)
Đề thi Đánh giá năng lực ĐHQG Hà Nội form 2026 có đáp án (Đề số 13)
Đề thi Đánh giá năng lực ĐHQG Hà Nội form 2026 có đáp án (Đề số 12)
Đề thi Đánh giá năng lực ĐHQG Hà Nội form 2026 có đáp án (Đề số 11)
Danh sách câu hỏi:
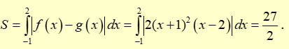
Câu 1
Lời giải
Đáp án đúng là C
Phương pháp giải
Diện tích giới hạn bởi hai đường thẳng \(x = a,x = b\) và đồ thị của hai hàm số \(f\left( x \right),g\left( x \right)\) (\(f\left( x \right),g\left( x \right)\) liên tục trên \(\left[ {a;b} \right]\)) được tính bởi công thức
Lời giải
Giả sử: \(\left( C \right):y = 2{x^3} + a{x^2} - bx + c = f\left( x \right)\) và \(d:y = g\left( x \right)\)
Khi đó phương trình hoành độ giao điểm của \(d\) và \(\left( C \right)\) là \(f\left( x \right) = g\left( x \right) \Leftrightarrow f\left( x \right) - g\left( x \right) = 0\)
Vî \(f\left( x \right)\) là hàm số bậc ba và \(g\left( x \right)\) là hàm số bậc nhất (hoặc bậc 0) (vì \(d\) là đường thẳng) nên đa thức \(f\left( x \right) - g\left( x \right)\) là hàm số bậc ba có hệ số của \({x^3}\) là 2 (hệ số của \({x^3}\) ở hàm số \(f\left( x \right)\)).
Dựa vào đồ thị hàm số ta thấy \(f\left( x \right) - g\left( x \right) = 0\) có nghiệm kép \(x = - 1\) và nghiệm đơn \(x = 2\).
Do đó: \(f\left( x \right) - g\left( x \right) = 2{(x + 1)^2}\left( {x - 2} \right)\)
Diện tích hình phẳng bởi \(d\) và \(\left( C \right)\) là:

Câu 2
Lời giải
Đáp án đúng là A
Phương pháp giải
Sử dụng khoảng cách giữa hai điểm trong không gian.
Lời giải
Để một người dùng điện thoại ở vị trí \(M\left( {m - 120;m + 170;m} \right)\) có thể sử dụng dịch vụ của trạm thu phát sóng 5G có bán kính vùng phủ sóng của trạm ở ngưỡng 1000 m được đặt ở vị trí \(I\left( {100;50;550} \right)\) thì \(IM \le 1000\)
\( \Leftrightarrow I{M^2} \le {1000^2}\)
\( \Leftrightarrow {(m - 120 - 100)^2} + {(m + 170 - 50)^2} + {(m - 550)^2} \le {1000^2}\)
\( \Leftrightarrow {(m - 220)^2} + {(m - 120)^2} + {(m - 550)^2} \le {1000^2}\)
\( \Leftrightarrow 3{m^2} - 1300m - 634700 \le 0\)
\( \Leftrightarrow - 291,77 \le m \le 725,11\)
Ta có: \(a,b\) lần lượt là giá trị nguyên lớn nhất và giá trị nguyên nhỏ nhất của \(m\)
Nên \(a = 725\) và \(b = - 291\).
Vậy \(P = a + 2b = 725 + 2.\left( { - 291} \right) = 143\).
Lời giải
Đáp án đúng là D
Phương pháp giải
Áp dụng kiến thức về các đường tiệm cận của đồ thị hàm số.
Lời giải
Hàm số xác định khi và chỉ khi: \(\left\{ {\begin{array}{*{20}{l}}{x \ge - 7}\\{{x^2} + 2x + 2m \ne 0}\end{array}} \right.\)
Ta có là tiệm cận ngang của đồ thị hàm số.
Hàm số không có tiệm cận xiên.
Suy ra để hàm số có đúng hai đường tiệm cận thì phương trình \({x^2} + 2x + 2m = 0\) có đúng 1 nghiệm lớn hơn hoặc bằng -7 (2)
Xét (1): \({x^2} + 2x + 2m = 0 \Leftrightarrow m = - \frac{1}{2}{x^2} - x\)
Đặt \(f\left( x \right) = - \frac{1}{2}{x^2} - x\)
Để phương trình \({x^2} + 2x + 2m = 0\) có đúng 1 nghiệm lớn hơn hoặc bằng -7 thì đường thẳng \(y = m\) giao đồ thị hàm số \(f\left( x \right)\) tại đúng 1 điểm có hoành độ lớn hơn hoặc bằng -7 (2)
Ta có: \(f'\left( x \right) = - x - 1\)
\(f'\left( x \right) = 0{\rm{\;}} \Rightarrow x = - 1\)
Ta có bảng biến thiên của hàm số \(f\left( x \right)\):

Dựa vào bảng biến thiên, suy ra (2) \( \Leftrightarrow m \le - 17,5\)
Mà \(m > - 50,m \in \mathbb{Z}\)
\( \Rightarrow m \in \left\{ { - 49; - 48; - 47; \ldots ; - 18} \right\}\)
Vậy có \(\frac{{\left( { - 18} \right) - \left( { - 49} \right)}}{1} + 1 = 32\) giá trị \(m\) thỏa mãn ycbt.
Câu 4
Lời giải
Đáp án đúng là A
Phương pháp giải
Sử dụng mối liên hệ của ba số liền nhau trong một cấp số cộng. Sử dụng kiến thức về tổ hợp và xác suất có điều kiện.
Lời giải
Gọi \(a,b,c\) là ba số cần tìm theo thứ tự lập thành cấp số cộng \(\left( {a,b,c \in A} \right)\)
Suy ra có \(b = \frac{{a + c}}{2} \Leftrightarrow a + c = 2b\).
\( \Rightarrow \) Tổng \(\left( {a + c} \right)\) là số chẵn, và khi có \(\left( {a + c} \right)\) là số chẵn thì chỉ có duy nhất 1 giá trị \(b\) thỏa mãn.
Tập hợp \(A = \left\{ {10;11;12; \ldots ;48;49;50} \right\}\) có 41 phần tử gồm 21 phần tử số chăn và 20 phần tử số lẻ.
\(n\left( {\rm{\Omega }} \right) = C_{41}^3\)
TH1: \(a,c\) là các số chẵn có \(C_{21}^2\) cách chọn.
TH2: \(a,c\) là các số lẻ có \(C_{20}^2\)
\( \Rightarrow \) Số cách lấy ngẫu nhiên ba số từ tập hợp \(A\) lập được thành cấp số cộng là
\(n\left( A \right) = C_{21}^2 + C_{20}^2\)
Vây xác suất cần tìm là: \(P\left( A \right) = \frac{{n\left( A \right)}}{{n\left( {\rm{\Omega }} \right)}} = \frac{{C_{21}^2 + C_{20}^2}}{{C_{41}^3}} = \frac{{20}}{{533}}\)
Lời giải
Đáp án đúng là "3"
Phương pháp giải
Sử dụng kiến thức về tiệm cận của đồ thị hàm số.
Lời giải
nên \(y = 0\) là tiệm cận ngang của đồ thị hàm số.
nên \(x = 3;x = - 3\) là các đường tiệm cận đứng của đồ thị hàm số.
Vậy đồ thị hàm số có tổng 3 đường tiệm cận ngang và đứng.
Lời giải
Bạn cần đăng ký gói VIP ( giá chỉ từ 250K ) để làm bài, xem đáp án và lời giải chi tiết không giới hạn.
Lời giải
Bạn cần đăng ký gói VIP ( giá chỉ từ 250K ) để làm bài, xem đáp án và lời giải chi tiết không giới hạn.
Câu 8
Lời giải
Bạn cần đăng ký gói VIP ( giá chỉ từ 250K ) để làm bài, xem đáp án và lời giải chi tiết không giới hạn.
Câu 9
D. 
Lời giải
Bạn cần đăng ký gói VIP ( giá chỉ từ 250K ) để làm bài, xem đáp án và lời giải chi tiết không giới hạn.
Câu 10
Lời giải
Bạn cần đăng ký gói VIP ( giá chỉ từ 250K ) để làm bài, xem đáp án và lời giải chi tiết không giới hạn.
Lời giải
Bạn cần đăng ký gói VIP ( giá chỉ từ 250K ) để làm bài, xem đáp án và lời giải chi tiết không giới hạn.
Lời giải
Bạn cần đăng ký gói VIP ( giá chỉ từ 250K ) để làm bài, xem đáp án và lời giải chi tiết không giới hạn.
Lời giải
Bạn cần đăng ký gói VIP ( giá chỉ từ 250K ) để làm bài, xem đáp án và lời giải chi tiết không giới hạn.
Câu 14
Lời giải
Bạn cần đăng ký gói VIP ( giá chỉ từ 250K ) để làm bài, xem đáp án và lời giải chi tiết không giới hạn.
Lời giải
Bạn cần đăng ký gói VIP ( giá chỉ từ 250K ) để làm bài, xem đáp án và lời giải chi tiết không giới hạn.
Lời giải
Bạn cần đăng ký gói VIP ( giá chỉ từ 250K ) để làm bài, xem đáp án và lời giải chi tiết không giới hạn.
Lời giải
Bạn cần đăng ký gói VIP ( giá chỉ từ 250K ) để làm bài, xem đáp án và lời giải chi tiết không giới hạn.
Câu 18
Lời giải
Bạn cần đăng ký gói VIP ( giá chỉ từ 250K ) để làm bài, xem đáp án và lời giải chi tiết không giới hạn.
Câu 19
Lời giải
Bạn cần đăng ký gói VIP ( giá chỉ từ 250K ) để làm bài, xem đáp án và lời giải chi tiết không giới hạn.
Câu 20
Lời giải
Bạn cần đăng ký gói VIP ( giá chỉ từ 250K ) để làm bài, xem đáp án và lời giải chi tiết không giới hạn.
Lời giải
Bạn cần đăng ký gói VIP ( giá chỉ từ 250K ) để làm bài, xem đáp án và lời giải chi tiết không giới hạn.
Lời giải
Bạn cần đăng ký gói VIP ( giá chỉ từ 250K ) để làm bài, xem đáp án và lời giải chi tiết không giới hạn.
Lời giải
Bạn cần đăng ký gói VIP ( giá chỉ từ 250K ) để làm bài, xem đáp án và lời giải chi tiết không giới hạn.
Câu 24
Lời giải
Bạn cần đăng ký gói VIP ( giá chỉ từ 250K ) để làm bài, xem đáp án và lời giải chi tiết không giới hạn.
Câu 25
Lời giải
Bạn cần đăng ký gói VIP ( giá chỉ từ 250K ) để làm bài, xem đáp án và lời giải chi tiết không giới hạn.
Lời giải
Bạn cần đăng ký gói VIP ( giá chỉ từ 250K ) để làm bài, xem đáp án và lời giải chi tiết không giới hạn.
Lời giải
Bạn cần đăng ký gói VIP ( giá chỉ từ 250K ) để làm bài, xem đáp án và lời giải chi tiết không giới hạn.
Câu 28
Lời giải
Bạn cần đăng ký gói VIP ( giá chỉ từ 250K ) để làm bài, xem đáp án và lời giải chi tiết không giới hạn.
Lời giải
Bạn cần đăng ký gói VIP ( giá chỉ từ 250K ) để làm bài, xem đáp án và lời giải chi tiết không giới hạn.
Lời giải
Bạn cần đăng ký gói VIP ( giá chỉ từ 250K ) để làm bài, xem đáp án và lời giải chi tiết không giới hạn.
Lời giải
Bạn cần đăng ký gói VIP ( giá chỉ từ 250K ) để làm bài, xem đáp án và lời giải chi tiết không giới hạn.
Lời giải
Bạn cần đăng ký gói VIP ( giá chỉ từ 250K ) để làm bài, xem đáp án và lời giải chi tiết không giới hạn.
Lời giải
Bạn cần đăng ký gói VIP ( giá chỉ từ 250K ) để làm bài, xem đáp án và lời giải chi tiết không giới hạn.
Câu 34
Lời giải
Bạn cần đăng ký gói VIP ( giá chỉ từ 250K ) để làm bài, xem đáp án và lời giải chi tiết không giới hạn.
Câu 35
C. \(\frac{{\sqrt 2 a}}{2}\)
Lời giải
Bạn cần đăng ký gói VIP ( giá chỉ từ 250K ) để làm bài, xem đáp án và lời giải chi tiết không giới hạn.
Câu 36
Ký hiệu \(\left| X \right|\) là số phần tử của tập hợp \(X\). Mệnh đề nào sai trong các mệnh đề sau?
Ký hiệu \(\left| X \right|\) là số phần tử của tập hợp \(X\). Mệnh đề nào sai trong các mệnh đề sau?
Lời giải
Bạn cần đăng ký gói VIP ( giá chỉ từ 250K ) để làm bài, xem đáp án và lời giải chi tiết không giới hạn.
Lời giải
Bạn cần đăng ký gói VIP ( giá chỉ từ 250K ) để làm bài, xem đáp án và lời giải chi tiết không giới hạn.
Lời giải
Bạn cần đăng ký gói VIP ( giá chỉ từ 250K ) để làm bài, xem đáp án và lời giải chi tiết không giới hạn.
Câu 39
Lời giải
Bạn cần đăng ký gói VIP ( giá chỉ từ 250K ) để làm bài, xem đáp án và lời giải chi tiết không giới hạn.
Lời giải
Bạn cần đăng ký gói VIP ( giá chỉ từ 250K ) để làm bài, xem đáp án và lời giải chi tiết không giới hạn.
Câu 41
Lời giải
Bạn cần đăng ký gói VIP ( giá chỉ từ 250K ) để làm bài, xem đáp án và lời giải chi tiết không giới hạn.
Câu 42
Lời giải
Bạn cần đăng ký gói VIP ( giá chỉ từ 250K ) để làm bài, xem đáp án và lời giải chi tiết không giới hạn.
Câu 43
Lời giải
Bạn cần đăng ký gói VIP ( giá chỉ từ 250K ) để làm bài, xem đáp án và lời giải chi tiết không giới hạn.
Câu 44
Lời giải
Bạn cần đăng ký gói VIP ( giá chỉ từ 250K ) để làm bài, xem đáp án và lời giải chi tiết không giới hạn.
Lời giải
Bạn cần đăng ký gói VIP ( giá chỉ từ 250K ) để làm bài, xem đáp án và lời giải chi tiết không giới hạn.
Lời giải
Bạn cần đăng ký gói VIP ( giá chỉ từ 250K ) để làm bài, xem đáp án và lời giải chi tiết không giới hạn.
Lời giải
Bạn cần đăng ký gói VIP ( giá chỉ từ 250K ) để làm bài, xem đáp án và lời giải chi tiết không giới hạn.
Câu 48
Lời giải
Bạn cần đăng ký gói VIP ( giá chỉ từ 250K ) để làm bài, xem đáp án và lời giải chi tiết không giới hạn.
Câu 49
Lời giải
Bạn cần đăng ký gói VIP ( giá chỉ từ 250K ) để làm bài, xem đáp án và lời giải chi tiết không giới hạn.
Câu 50
Lời giải
Bạn cần đăng ký gói VIP ( giá chỉ từ 250K ) để làm bài, xem đáp án và lời giải chi tiết không giới hạn.
Câu 51
Lời giải
Bạn cần đăng ký gói VIP ( giá chỉ từ 250K ) để làm bài, xem đáp án và lời giải chi tiết không giới hạn.
Câu 52
Lời giải
Bạn cần đăng ký gói VIP ( giá chỉ từ 250K ) để làm bài, xem đáp án và lời giải chi tiết không giới hạn.
Câu 53
Lời giải
Bạn cần đăng ký gói VIP ( giá chỉ từ 250K ) để làm bài, xem đáp án và lời giải chi tiết không giới hạn.
Câu 54
B. tự lực tự cường/ dám nghĩ dám làm
Lời giải
Bạn cần đăng ký gói VIP ( giá chỉ từ 250K ) để làm bài, xem đáp án và lời giải chi tiết không giới hạn.
Câu 55
Lời giải
Bạn cần đăng ký gói VIP ( giá chỉ từ 250K ) để làm bài, xem đáp án và lời giải chi tiết không giới hạn.
Câu 56
Lời giải
Bạn cần đăng ký gói VIP ( giá chỉ từ 250K ) để làm bài, xem đáp án và lời giải chi tiết không giới hạn.
Câu 57
Lời giải
Bạn cần đăng ký gói VIP ( giá chỉ từ 250K ) để làm bài, xem đáp án và lời giải chi tiết không giới hạn.
Câu 58
Lời giải
Bạn cần đăng ký gói VIP ( giá chỉ từ 250K ) để làm bài, xem đáp án và lời giải chi tiết không giới hạn.
Câu 59
Lời giải
Bạn cần đăng ký gói VIP ( giá chỉ từ 250K ) để làm bài, xem đáp án và lời giải chi tiết không giới hạn.
Câu 60
Lời giải
Bạn cần đăng ký gói VIP ( giá chỉ từ 250K ) để làm bài, xem đáp án và lời giải chi tiết không giới hạn.
Câu 61
Lời giải
Bạn cần đăng ký gói VIP ( giá chỉ từ 250K ) để làm bài, xem đáp án và lời giải chi tiết không giới hạn.
Câu 62
B. giàu có/ Tuy nhiên
Lời giải
Bạn cần đăng ký gói VIP ( giá chỉ từ 250K ) để làm bài, xem đáp án và lời giải chi tiết không giới hạn.
Câu 63
Lời giải
Bạn cần đăng ký gói VIP ( giá chỉ từ 250K ) để làm bài, xem đáp án và lời giải chi tiết không giới hạn.
Câu 64
A. Nguyễn Đình Chiểu là một tấm gương sáng cho nghệ thuật văn học.
Lời giải
Bạn cần đăng ký gói VIP ( giá chỉ từ 250K ) để làm bài, xem đáp án và lời giải chi tiết không giới hạn.
Câu 65
A. Những giấc mơ hàng ngày của tác giả.
Lời giải
Bạn cần đăng ký gói VIP ( giá chỉ từ 250K ) để làm bài, xem đáp án và lời giải chi tiết không giới hạn.
Câu 66
Lời giải
Bạn cần đăng ký gói VIP ( giá chỉ từ 250K ) để làm bài, xem đáp án và lời giải chi tiết không giới hạn.
Câu 67
Lời giải
Bạn cần đăng ký gói VIP ( giá chỉ từ 250K ) để làm bài, xem đáp án và lời giải chi tiết không giới hạn.
Câu 68
B. Cuộc sống của các bậc tu mi nam tử là phó mặc cho trời đất, phó mặc cho sự xoay vần của trời đất.
Lời giải
Bạn cần đăng ký gói VIP ( giá chỉ từ 250K ) để làm bài, xem đáp án và lời giải chi tiết không giới hạn.
Lời giải
Bạn cần đăng ký gói VIP ( giá chỉ từ 250K ) để làm bài, xem đáp án và lời giải chi tiết không giới hạn.
Câu 70
B. Tâm nguyện chân thành của nhà thơ là được gắn bó với quần chúng lao khổ.
Lời giải
Bạn cần đăng ký gói VIP ( giá chỉ từ 250K ) để làm bài, xem đáp án và lời giải chi tiết không giới hạn.
Câu 71
Lời giải
Bạn cần đăng ký gói VIP ( giá chỉ từ 250K ) để làm bài, xem đáp án và lời giải chi tiết không giới hạn.
Lời giải
Bạn cần đăng ký gói VIP ( giá chỉ từ 250K ) để làm bài, xem đáp án và lời giải chi tiết không giới hạn.
Câu 73
Lời giải
Bạn cần đăng ký gói VIP ( giá chỉ từ 250K ) để làm bài, xem đáp án và lời giải chi tiết không giới hạn.
Lời giải
Bạn cần đăng ký gói VIP ( giá chỉ từ 250K ) để làm bài, xem đáp án và lời giải chi tiết không giới hạn.
Câu 75
Lời giải
Bạn cần đăng ký gói VIP ( giá chỉ từ 250K ) để làm bài, xem đáp án và lời giải chi tiết không giới hạn.
Câu 76
A. Đồng xu làm bằng kim loại khi đi qua nam châm điện sẽ có hiện tượng cảm ứng điện từ, sinh ra dòng cảm điện cảm ứng trong đồng xu.
Lời giải
Bạn cần đăng ký gói VIP ( giá chỉ từ 250K ) để làm bài, xem đáp án và lời giải chi tiết không giới hạn.
Lời giải
Bạn cần đăng ký gói VIP ( giá chỉ từ 250K ) để làm bài, xem đáp án và lời giải chi tiết không giới hạn.
Câu 78
C. 84%
Lời giải
Bạn cần đăng ký gói VIP ( giá chỉ từ 250K ) để làm bài, xem đáp án và lời giải chi tiết không giới hạn.
Câu 79
Lời giải
Bạn cần đăng ký gói VIP ( giá chỉ từ 250K ) để làm bài, xem đáp án và lời giải chi tiết không giới hạn.
Câu 80
Lời giải
Bạn cần đăng ký gói VIP ( giá chỉ từ 250K ) để làm bài, xem đáp án và lời giải chi tiết không giới hạn.
Câu 81
Lời giải
Bạn cần đăng ký gói VIP ( giá chỉ từ 250K ) để làm bài, xem đáp án và lời giải chi tiết không giới hạn.
Câu 82
Lời giải
Bạn cần đăng ký gói VIP ( giá chỉ từ 250K ) để làm bài, xem đáp án và lời giải chi tiết không giới hạn.
Câu 83
Lời giải
Bạn cần đăng ký gói VIP ( giá chỉ từ 250K ) để làm bài, xem đáp án và lời giải chi tiết không giới hạn.
Lời giải
Bạn cần đăng ký gói VIP ( giá chỉ từ 250K ) để làm bài, xem đáp án và lời giải chi tiết không giới hạn.
Câu 85
Lời giải
Bạn cần đăng ký gói VIP ( giá chỉ từ 250K ) để làm bài, xem đáp án và lời giải chi tiết không giới hạn.
Câu 86
Lời giải
Bạn cần đăng ký gói VIP ( giá chỉ từ 250K ) để làm bài, xem đáp án và lời giải chi tiết không giới hạn.
Câu 87
Lời giải
Bạn cần đăng ký gói VIP ( giá chỉ từ 250K ) để làm bài, xem đáp án và lời giải chi tiết không giới hạn.
Câu 88
Lời giải
Bạn cần đăng ký gói VIP ( giá chỉ từ 250K ) để làm bài, xem đáp án và lời giải chi tiết không giới hạn.
Câu 89
Lời giải
Bạn cần đăng ký gói VIP ( giá chỉ từ 250K ) để làm bài, xem đáp án và lời giải chi tiết không giới hạn.
Câu 90
Lời giải
Bạn cần đăng ký gói VIP ( giá chỉ từ 250K ) để làm bài, xem đáp án và lời giải chi tiết không giới hạn.
Câu 91
Lời giải
Bạn cần đăng ký gói VIP ( giá chỉ từ 250K ) để làm bài, xem đáp án và lời giải chi tiết không giới hạn.
Câu 92
C. Lys – Ala – Gly – Ala – Gly.
Lời giải
Bạn cần đăng ký gói VIP ( giá chỉ từ 250K ) để làm bài, xem đáp án và lời giải chi tiết không giới hạn.
Lời giải
Bạn cần đăng ký gói VIP ( giá chỉ từ 250K ) để làm bài, xem đáp án và lời giải chi tiết không giới hạn.
Câu 94
Lời giải
Bạn cần đăng ký gói VIP ( giá chỉ từ 250K ) để làm bài, xem đáp án và lời giải chi tiết không giới hạn.
Lời giải
Bạn cần đăng ký gói VIP ( giá chỉ từ 250K ) để làm bài, xem đáp án và lời giải chi tiết không giới hạn.
Câu 96
Lời giải
Bạn cần đăng ký gói VIP ( giá chỉ từ 250K ) để làm bài, xem đáp án và lời giải chi tiết không giới hạn.
Lời giải
Bạn cần đăng ký gói VIP ( giá chỉ từ 250K ) để làm bài, xem đáp án và lời giải chi tiết không giới hạn.
Câu 98
Lời giải
Bạn cần đăng ký gói VIP ( giá chỉ từ 250K ) để làm bài, xem đáp án và lời giải chi tiết không giới hạn.
Lời giải
Bạn cần đăng ký gói VIP ( giá chỉ từ 250K ) để làm bài, xem đáp án và lời giải chi tiết không giới hạn.
Lời giải
Bạn cần đăng ký gói VIP ( giá chỉ từ 250K ) để làm bài, xem đáp án và lời giải chi tiết không giới hạn.
Câu 101
Lời giải
Bạn cần đăng ký gói VIP ( giá chỉ từ 250K ) để làm bài, xem đáp án và lời giải chi tiết không giới hạn.
Câu 102
Lời giải
Bạn cần đăng ký gói VIP ( giá chỉ từ 250K ) để làm bài, xem đáp án và lời giải chi tiết không giới hạn.
Câu 103
Lời giải
Bạn cần đăng ký gói VIP ( giá chỉ từ 250K ) để làm bài, xem đáp án và lời giải chi tiết không giới hạn.
Câu 104
Lời giải
Bạn cần đăng ký gói VIP ( giá chỉ từ 250K ) để làm bài, xem đáp án và lời giải chi tiết không giới hạn.
Câu 105
Lời giải
Bạn cần đăng ký gói VIP ( giá chỉ từ 250K ) để làm bài, xem đáp án và lời giải chi tiết không giới hạn.
Câu 106
Lời giải
Bạn cần đăng ký gói VIP ( giá chỉ từ 250K ) để làm bài, xem đáp án và lời giải chi tiết không giới hạn.
Câu 107
Lời giải
Bạn cần đăng ký gói VIP ( giá chỉ từ 250K ) để làm bài, xem đáp án và lời giải chi tiết không giới hạn.
Câu 108
Lời giải
Bạn cần đăng ký gói VIP ( giá chỉ từ 250K ) để làm bài, xem đáp án và lời giải chi tiết không giới hạn.
Câu 109
Lời giải
Bạn cần đăng ký gói VIP ( giá chỉ từ 250K ) để làm bài, xem đáp án và lời giải chi tiết không giới hạn.
Câu 110
Lời giải
Bạn cần đăng ký gói VIP ( giá chỉ từ 250K ) để làm bài, xem đáp án và lời giải chi tiết không giới hạn.
Lời giải
Bạn cần đăng ký gói VIP ( giá chỉ từ 250K ) để làm bài, xem đáp án và lời giải chi tiết không giới hạn.
Câu 112
Lời giải
Bạn cần đăng ký gói VIP ( giá chỉ từ 250K ) để làm bài, xem đáp án và lời giải chi tiết không giới hạn.
Câu 113
Lời giải
Bạn cần đăng ký gói VIP ( giá chỉ từ 250K ) để làm bài, xem đáp án và lời giải chi tiết không giới hạn.
Lời giải
Bạn cần đăng ký gói VIP ( giá chỉ từ 250K ) để làm bài, xem đáp án và lời giải chi tiết không giới hạn.
Câu 115
Lời giải
Bạn cần đăng ký gói VIP ( giá chỉ từ 250K ) để làm bài, xem đáp án và lời giải chi tiết không giới hạn.
Câu 116
Lời giải
Bạn cần đăng ký gói VIP ( giá chỉ từ 250K ) để làm bài, xem đáp án và lời giải chi tiết không giới hạn.
Câu 117
Lời giải
Bạn cần đăng ký gói VIP ( giá chỉ từ 250K ) để làm bài, xem đáp án và lời giải chi tiết không giới hạn.
Câu 118
B. Quyền tự do chính trị.
Lời giải
Bạn cần đăng ký gói VIP ( giá chỉ từ 250K ) để làm bài, xem đáp án và lời giải chi tiết không giới hạn.
Câu 119
C. Tuyên bố chung Cua-la Lăm-pơ (tại Malaxia).
Lời giải
Bạn cần đăng ký gói VIP ( giá chỉ từ 250K ) để làm bài, xem đáp án và lời giải chi tiết không giới hạn.
Câu 120
Lời giải
Bạn cần đăng ký gói VIP ( giá chỉ từ 250K ) để làm bài, xem đáp án và lời giải chi tiết không giới hạn.
Câu 121
C. Các nghi lễ và phong tục truyền thống.
Lời giải
Bạn cần đăng ký gói VIP ( giá chỉ từ 250K ) để làm bài, xem đáp án và lời giải chi tiết không giới hạn.
Câu 122
A. Tăng cường quyền lực của quý tộc.
Lời giải
Bạn cần đăng ký gói VIP ( giá chỉ từ 250K ) để làm bài, xem đáp án và lời giải chi tiết không giới hạn.
Câu 123
Lời giải
Bạn cần đăng ký gói VIP ( giá chỉ từ 250K ) để làm bài, xem đáp án và lời giải chi tiết không giới hạn.
Lời giải
Bạn cần đăng ký gói VIP ( giá chỉ từ 250K ) để làm bài, xem đáp án và lời giải chi tiết không giới hạn.
Câu 125
Lời giải
Bạn cần đăng ký gói VIP ( giá chỉ từ 250K ) để làm bài, xem đáp án và lời giải chi tiết không giới hạn.
Câu 126
Lời giải
Bạn cần đăng ký gói VIP ( giá chỉ từ 250K ) để làm bài, xem đáp án và lời giải chi tiết không giới hạn.
Câu 127
Lời giải
Bạn cần đăng ký gói VIP ( giá chỉ từ 250K ) để làm bài, xem đáp án và lời giải chi tiết không giới hạn.
Câu 128
Lời giải
Bạn cần đăng ký gói VIP ( giá chỉ từ 250K ) để làm bài, xem đáp án và lời giải chi tiết không giới hạn.
Câu 129
Lời giải
Bạn cần đăng ký gói VIP ( giá chỉ từ 250K ) để làm bài, xem đáp án và lời giải chi tiết không giới hạn.
Câu 130
Lời giải
Bạn cần đăng ký gói VIP ( giá chỉ từ 250K ) để làm bài, xem đáp án và lời giải chi tiết không giới hạn.
Câu 131
B. Giá trị nhập khẩu tăng liên tục trong giai đoạn 2000 - 2020 và tăng 1,9 lần.
Lời giải
Bạn cần đăng ký gói VIP ( giá chỉ từ 250K ) để làm bài, xem đáp án và lời giải chi tiết không giới hạn.
Câu 132
Lời giải
Bạn cần đăng ký gói VIP ( giá chỉ từ 250K ) để làm bài, xem đáp án và lời giải chi tiết không giới hạn.
Câu 133
B. Tỉ lệ tăng dân số của nông thôn luôn nhỏ hơn thành thị và giảm liên tục qua các năm.
Lời giải
Bạn cần đăng ký gói VIP ( giá chỉ từ 250K ) để làm bài, xem đáp án và lời giải chi tiết không giới hạn.
Câu 134
Lời giải
Bạn cần đăng ký gói VIP ( giá chỉ từ 250K ) để làm bài, xem đáp án và lời giải chi tiết không giới hạn.
Câu 135
Lời giải
Bạn cần đăng ký gói VIP ( giá chỉ từ 250K ) để làm bài, xem đáp án và lời giải chi tiết không giới hạn.
Câu 136
B. nguồn thức ăn cho chăn nuôi phong phú, thị trường tiêu thụ rộng lớn.
Lời giải
Bạn cần đăng ký gói VIP ( giá chỉ từ 250K ) để làm bài, xem đáp án và lời giải chi tiết không giới hạn.
Câu 137
Lời giải
Bạn cần đăng ký gói VIP ( giá chỉ từ 250K ) để làm bài, xem đáp án và lời giải chi tiết không giới hạn.
Câu 138
D. kết hợp du lịch biển, phát triển giao thông vận tải biển và du lịch miệt vườn.
Lời giải
Bạn cần đăng ký gói VIP ( giá chỉ từ 250K ) để làm bài, xem đáp án và lời giải chi tiết không giới hạn.
Câu 139
Lời giải
Bạn cần đăng ký gói VIP ( giá chỉ từ 250K ) để làm bài, xem đáp án và lời giải chi tiết không giới hạn.
Câu 140
Lời giải
Bạn cần đăng ký gói VIP ( giá chỉ từ 250K ) để làm bài, xem đáp án và lời giải chi tiết không giới hạn.
Câu 141
Lời giải
Bạn cần đăng ký gói VIP ( giá chỉ từ 250K ) để làm bài, xem đáp án và lời giải chi tiết không giới hạn.
Câu 142
Lời giải
Bạn cần đăng ký gói VIP ( giá chỉ từ 250K ) để làm bài, xem đáp án và lời giải chi tiết không giới hạn.
Câu 143
A. alter
Lời giải
Bạn cần đăng ký gói VIP ( giá chỉ từ 250K ) để làm bài, xem đáp án và lời giải chi tiết không giới hạn.
Câu 144
Lời giải
Bạn cần đăng ký gói VIP ( giá chỉ từ 250K ) để làm bài, xem đáp án và lời giải chi tiết không giới hạn.
Câu 145
Lời giải
Bạn cần đăng ký gói VIP ( giá chỉ từ 250K ) để làm bài, xem đáp án và lời giải chi tiết không giới hạn.
Câu 146
Lời giải
Bạn cần đăng ký gói VIP ( giá chỉ từ 250K ) để làm bài, xem đáp án và lời giải chi tiết không giới hạn.
Câu 147
Lời giải
Bạn cần đăng ký gói VIP ( giá chỉ từ 250K ) để làm bài, xem đáp án và lời giải chi tiết không giới hạn.
Câu 148
Lời giải
Bạn cần đăng ký gói VIP ( giá chỉ từ 250K ) để làm bài, xem đáp án và lời giải chi tiết không giới hạn.
Câu 149
Lời giải
Bạn cần đăng ký gói VIP ( giá chỉ từ 250K ) để làm bài, xem đáp án và lời giải chi tiết không giới hạn.
Câu 150
Lời giải
Bạn cần đăng ký gói VIP ( giá chỉ từ 250K ) để làm bài, xem đáp án và lời giải chi tiết không giới hạn.
Câu 151
Lời giải
Bạn cần đăng ký gói VIP ( giá chỉ từ 250K ) để làm bài, xem đáp án và lời giải chi tiết không giới hạn.
Câu 152
Lời giải
Bạn cần đăng ký gói VIP ( giá chỉ từ 250K ) để làm bài, xem đáp án và lời giải chi tiết không giới hạn.
Câu 153
Lời giải
Bạn cần đăng ký gói VIP ( giá chỉ từ 250K ) để làm bài, xem đáp án và lời giải chi tiết không giới hạn.
Câu 154
Lời giải
Bạn cần đăng ký gói VIP ( giá chỉ từ 250K ) để làm bài, xem đáp án và lời giải chi tiết không giới hạn.
Câu 155
B. No, do it yourself
Lời giải
Bạn cần đăng ký gói VIP ( giá chỉ từ 250K ) để làm bài, xem đáp án và lời giải chi tiết không giới hạn.
Câu 156
Lời giải
Bạn cần đăng ký gói VIP ( giá chỉ từ 250K ) để làm bài, xem đáp án và lời giải chi tiết không giới hạn.
Câu 157
Lời giải
Bạn cần đăng ký gói VIP ( giá chỉ từ 250K ) để làm bài, xem đáp án và lời giải chi tiết không giới hạn.
Câu 158
Lời giải
Bạn cần đăng ký gói VIP ( giá chỉ từ 250K ) để làm bài, xem đáp án và lời giải chi tiết không giới hạn.
Câu 159
Lời giải
Bạn cần đăng ký gói VIP ( giá chỉ từ 250K ) để làm bài, xem đáp án và lời giải chi tiết không giới hạn.
Câu 160
Lời giải
Bạn cần đăng ký gói VIP ( giá chỉ từ 250K ) để làm bài, xem đáp án và lời giải chi tiết không giới hạn.
Lời giải
Bạn cần đăng ký gói VIP ( giá chỉ từ 250K ) để làm bài, xem đáp án và lời giải chi tiết không giới hạn.
Câu 162
Lời giải
Bạn cần đăng ký gói VIP ( giá chỉ từ 250K ) để làm bài, xem đáp án và lời giải chi tiết không giới hạn.
Câu 163
A. Model X has the longest battery life, although Model Y also has advanced features.
Lời giải
Bạn cần đăng ký gói VIP ( giá chỉ từ 250K ) để làm bài, xem đáp án và lời giải chi tiết không giới hạn.
Câu 164
Lời giải
Bạn cần đăng ký gói VIP ( giá chỉ từ 250K ) để làm bài, xem đáp án và lời giải chi tiết không giới hạn.
Câu 165
Lời giải
Bạn cần đăng ký gói VIP ( giá chỉ từ 250K ) để làm bài, xem đáp án và lời giải chi tiết không giới hạn.
Câu 166
B. AI technology transforms companies by adapting industries to its operations, which makes it highly beneficial.
Lời giải
Bạn cần đăng ký gói VIP ( giá chỉ từ 250K ) để làm bài, xem đáp án và lời giải chi tiết không giới hạn.
Câu 167
Lời giải
Bạn cần đăng ký gói VIP ( giá chỉ từ 250K ) để làm bài, xem đáp án và lời giải chi tiết không giới hạn.
Câu 168
Lời giải
Bạn cần đăng ký gói VIP ( giá chỉ từ 250K ) để làm bài, xem đáp án và lời giải chi tiết không giới hạn.
Câu 169
Lời giải
Bạn cần đăng ký gói VIP ( giá chỉ từ 250K ) để làm bài, xem đáp án và lời giải chi tiết không giới hạn.
Câu 170
Lời giải
Bạn cần đăng ký gói VIP ( giá chỉ từ 250K ) để làm bài, xem đáp án và lời giải chi tiết không giới hạn.
Câu 171
C. A customer is receiving their food promptly after ordering.
Lời giải
Bạn cần đăng ký gói VIP ( giá chỉ từ 250K ) để làm bài, xem đáp án và lời giải chi tiết không giới hạn.
Câu 172
Lời giải
Bạn cần đăng ký gói VIP ( giá chỉ từ 250K ) để làm bài, xem đáp án và lời giải chi tiết không giới hạn.
Câu 173
Lời giải
Bạn cần đăng ký gói VIP ( giá chỉ từ 250K ) để làm bài, xem đáp án và lời giải chi tiết không giới hạn.
Câu 174
Lời giải
Bạn cần đăng ký gói VIP ( giá chỉ từ 250K ) để làm bài, xem đáp án và lời giải chi tiết không giới hạn.
Đoạn văn 2
Một cuộc thi có 3 vòng. Vòng 1 lấy \(90{\rm{\% }}\) thí sinh, vòng 2 lấy \(80{\rm{\% }}\) thí sinh đã qua vòng 1, vòng 3 lấy \(90{\rm{\% }}\) thí sinh của vòng 2. Biết rằng khả năng của các thí sinh là như nhau.
Lời giải
Bạn cần đăng ký gói VIP ( giá chỉ từ 250K ) để làm bài, xem đáp án và lời giải chi tiết không giới hạn.
Câu 176
Lời giải
Bạn cần đăng ký gói VIP ( giá chỉ từ 250K ) để làm bài, xem đáp án và lời giải chi tiết không giới hạn.
Câu 177
Lời giải
Bạn cần đăng ký gói VIP ( giá chỉ từ 250K ) để làm bài, xem đáp án và lời giải chi tiết không giới hạn.
Đoạn văn 3
(1) Đại dịch đã chỉ ra rằng cách mạng công nghệ đang tiến xa hơn những gì chúng ta có thể nghĩ - nhưng cuộc sống số cũng có thể cảm thấy chật chội, một mô phỏng tồi tệ của thế giới thực. Đối với nhiều người, những thay đổi này sẽ rất đáng sợ. Một số công việc sẽ mất đi nhưng năng suất tổng thể sẽ tăng lên, tạo ra nhiều của cải hơn làm lợi cho tất cả mọi người. Chất lượng cuộc sống con người sẽ được cải thiện. Có những lo ngại về quyền riêng tư, xử lý dữ liệu và vai trò của chính phủ trong việc quản lý các công ty và quản lý chính mình trong lĩnh vực này. Nhưng đấy không phải là những vấn đề không thể giải quyết; chúng ta có thể hưởng lợi ích của cuộc sống số và vẫn có thể bảo vệ quyền riêng tư của chúng ta. Và nếu chúng ta quan tâm phát triển những quy định xung quanh các cuộc cách mạng về AI và kỹ thuật y sinh, chúng ta sẽ không đánh mất những phẩm chất chỉ có ở con người. Thật ra, chúng ta sẽ càng đề cao con người.
(2) Con người lo lắng rằng khi AI trở nên phát triển hơn, chúng ta sẽ dựa vào máy tính của mình nhiều đến mức cuối cùng sẽ coi chúng là bạn và không thể hoạt động nếu không có chúng. Nhưng chuyện đã như vậy rồi mà, điện thoại của tôi có thể cung cấp cho tôi nhiều thông tin hơn bất kỳ con người nào mà tôi biết. Nó có thể giải quyết các nhiệm vụ phức tạp trong một nano giây. Nó có thể giúp tôi giải trí với nội dung xuyên thời gian và không gian. Vậy nhưng tôi chưa bao giờ nhầm nó là bạn. Máy tính càng thông minh hơn trong việc tính toán dữ liệu và đưa ra câu trả lời, thì nó càng buộc chúng ta phải suy nghĩ xem cái gì chỉ có ở con người chúng ta, ngoài khả năng suy luận. Thực ra, những cỗ máy thông minh sẽ khiến chúng ta đánh giá cao bạn đồng hành con người nhiều hơn, vì sự sáng tạo, hay thay đổi, không thể đoán trước, ấm áp và gần gũi của họ. Suy nghĩ này không có gì kỳ lạ. Trong phần lớn lịch sử, con người được ca ngợi vì nhiều phẩm chất khác ngoài khả năng tinh toán – dũng cảm, trung thành, độ lượng, đức tin, tình yêu thương. Chuyển đến cuộc sống kỹ thuật số là sâu rộng, nhanh chóng và là hiện thực. Nhưng có lẽ một trong những hệ quả sâu xa nhất của nó sẽ là khiến chúng ta phải trân trọng những điều con người nhất trong ta.”
(Fareed Zakaria, Mười bài học cho thế giới hậu đại dịch, NXB trẻ, 2021, tr. 127)
Câu 178
Lời giải
Bạn cần đăng ký gói VIP ( giá chỉ từ 250K ) để làm bài, xem đáp án và lời giải chi tiết không giới hạn.
Câu 179
Lời giải
Bạn cần đăng ký gói VIP ( giá chỉ từ 250K ) để làm bài, xem đáp án và lời giải chi tiết không giới hạn.
Câu 180
D. Khi AI phát triển con người sẽ hoàn toàn phụ thuộc vào chúng.
Lời giải
Bạn cần đăng ký gói VIP ( giá chỉ từ 250K ) để làm bài, xem đáp án và lời giải chi tiết không giới hạn.
Câu 181
Lời giải
Bạn cần đăng ký gói VIP ( giá chỉ từ 250K ) để làm bài, xem đáp án và lời giải chi tiết không giới hạn.
Câu 182
Lời giải
Bạn cần đăng ký gói VIP ( giá chỉ từ 250K ) để làm bài, xem đáp án và lời giải chi tiết không giới hạn.
Câu 183
Lời giải
Bạn cần đăng ký gói VIP ( giá chỉ từ 250K ) để làm bài, xem đáp án và lời giải chi tiết không giới hạn.
Đoạn văn 4
Hãy nhìn dòng người đang cuộn chảy trên đường phố trong cái ngột ngạt của trưa hè nóng bức, ai cũng nghẹt thở vì chất thải của động cơ xe máy, ô tô cho dù khẩu trang che kín mũi miệng. Hậu quả sẽ ra sao với sức khỏe con người? Khó mà lường được. Nhưng trước mắt thì vẫn cứ phải tồn tại bằng cách thở hít vào phổi cái khói bụi độc hại đó để mà bươn chải với cuộc mưu sinh. Ai đó mong có dịp về nông thôn để được hít thở không khí trong lành, sẽ khó tránh khỏi cảm giác thất vọng. Sự “trong lành” mà họ trông đợi đang bị hủy hoại nghiêm trọng bởi chất thải công nghiệp, chất thải vô tội vạ của làng nghề, chất thải từ “mạnh ai nấy được" trong nuôi trồng thủy sản,... Sông Cầu tiếp nhận thêm ít nhất 180.000 tấn phân hóa học, 1.500 tấn thuốc trừ sâu! Lưu vực sông Nhuệ, sông Đáy bị nước thải xối thẳng trực tiếp làm nước sông đen ngòm và đang bốc mùi. Sông Thị Vải trong lưu vực sông Đồng Nai đã có đoạn bị chết kéo dài sau khu vực hợp lưu Suối Cả, Đồng Nai đến khu công nghiệp Mĩ Xuân...
Trở lại với chuyện thường ngày ở cái vạch dừng xe trên phố. Trong cái nóng thiêu đốt, tiếng gầm gào của các loại động cơ ô tô, xe máy làm cho bầu không khí càng thêm ngột ngạt. Rồi đây “dân giàu” lên thêm, ô tô càng nhiều thêm, nơi cái vạch dừng xe của cái đường phố không thể mở rộng hơn để tương thích với sự phát triển đó sẽ càng thêm ngột ngạt và nghẹt thở.
Ở một số nước nghèo, bức xúc là chuyện tăng trưởng kinh tế để giảm nghèo cái đã, việc môi trường, tính sau. Người ta quên mất rằng, cái giá phải trả cho sự hủy hoại môi trường sẽ cao hơn nhiều cho những sản phẩm có được của sự tăng trưởng kia. Không thể chỉ đơn thuần quan tâm thúc đẩy sự tăng trưởng mà còn thường trực đặt ra câu hỏi tăng trưởng như thế nào. Chẳng thế mà người ta khuyến cáo sử dụng chỉ số mới mang tên Tổng sản phẩm quốc gia “thuần” và “xanh”, chứ không chỉ sử dụng GDP. “Thuần” là đòi hỏi phải điều chỉnh tổng sản phẩm sau khi đã khấu trừ các tài sản của đất nước bị hao hụt trong quá trình sản xuất. “Xanh”, nghĩa là phải chú ý đến mức tiêu hao nguồn tài nguyên thiên nhiên đã bị khai thác gắn với sự hủy hoại môi trường sống của con người khi tính GDP.
(Theo Tương lai, Môi trường và phát triển, Báo điện tử, Nguoidaibieu.com.vn)
Câu 184
Lời giải
Bạn cần đăng ký gói VIP ( giá chỉ từ 250K ) để làm bài, xem đáp án và lời giải chi tiết không giới hạn.
Câu 185
Lời giải
Bạn cần đăng ký gói VIP ( giá chỉ từ 250K ) để làm bài, xem đáp án và lời giải chi tiết không giới hạn.
Câu 186
Lời giải
Bạn cần đăng ký gói VIP ( giá chỉ từ 250K ) để làm bài, xem đáp án và lời giải chi tiết không giới hạn.
Câu 187
Lời giải
Bạn cần đăng ký gói VIP ( giá chỉ từ 250K ) để làm bài, xem đáp án và lời giải chi tiết không giới hạn.
Đoạn văn 5
Mục đích của sự học là gì? Học là để mưu cầu hạnh phúc, nghĩa là làm cho mình ngày càng mới, càng cao, càng rộng… Học là để gia tăng sự hiểu biết của mình, mở rộng tâm hồn của mình bằng cách thu nhận sự hiểu biết cùng những kinh nghiệm của người khác. Cũng giống như một đứa trẻ mới sinh nặng chưa đầy ba kí, thế mà càng ngày càng lớn đến năm, sáu chục kí trong khoảng vài mươi năm sau, phải chăng nhờ rút lấy không khí, đồ ăn, đồ uống,... mà tiến từ nhỏ đến lớn, từ yếu đến mạnh, nghĩa là càng ngày càng mới, càng cao, càng lớn. Bởi vậy tôi cho rằng học cũng như ăn.
Ăn mà không tiêu thì có hại cho sức khỏe. Học mà không hóa thì có hại cho tinh thần. Cỏ con cừu ăn mà được tiêu, sẽ không còn là cỏ nữa mà là bộ lông mướt đẹp của nó. Dâu con tằm ăn mà được tiêu, sẽ không còn là dâu nữa mà là sợi tơ mịn màng tươi tốt của nó. Người có học thức là người đã thuần hóa những cái học của mình. Bởi vậy họ dường như không biết gì cả mà không có cái gì là không biết.
Học mà đến mức quên hết cả sách vở của mình đã học thì cái học ấy mới là "nhập diệu". Một điều gì học mà mình còn cố nhớ là nó chưa được nhập vào tâm. Chỉ khi nào mình không cần nhớ mà nó vẫn tự nhiên hiển hiện trong tâm trí thì cái học ấy mới gọi là đã được tiêu hóa. Người học đánh máy chữ mà còn để ý tìm từng con chữ, cô nhớ vị trí của từng con chữ là người đánh máy chưa tinh. Người học đi xe đạp mà còn cố để ý đến bàn đạp, cách đạp là người đạp xe chưa thạo. Tôi nhớ lúc còn nhỏ, gần đến ngày thi, tôi băn khoăn nói với cha: "Sao con học nhiều thế mà nay dường như không còn nhớ gì cả. Lòng con như quên hết, không biết lúc thì có nhớ được gì không? Con sợ quá!". Cha tôi cười bảo: "Đấy là con học đã chín muồi rồi. Quên tức là nhớ nhiều rồi đó. Con hãy yên tâm...". Thật đúng như lời cha, đến ngày thi, giám khảo hỏi đâu, tôi trả lời liền đó một cách dễ dàng hết sức.
Và Herriot cũng từng nói: "Học thức là cái còn lại khi mình đã quên tất cả". Đó chính là cái diệu pháp của phép học.
(Nguyễn Duy Cần, trích “Tôi tự học”, NXB Trẻ, TP. Hồ Chí Minh, 2022, tr.29-30)
Câu 188
Lời giải
Bạn cần đăng ký gói VIP ( giá chỉ từ 250K ) để làm bài, xem đáp án và lời giải chi tiết không giới hạn.
Câu 189
Lời giải
Bạn cần đăng ký gói VIP ( giá chỉ từ 250K ) để làm bài, xem đáp án và lời giải chi tiết không giới hạn.
Câu 190
Lời giải
Bạn cần đăng ký gói VIP ( giá chỉ từ 250K ) để làm bài, xem đáp án và lời giải chi tiết không giới hạn.
Câu 191
Lời giải
Bạn cần đăng ký gói VIP ( giá chỉ từ 250K ) để làm bài, xem đáp án và lời giải chi tiết không giới hạn.
Câu 192
Lời giải
Bạn cần đăng ký gói VIP ( giá chỉ từ 250K ) để làm bài, xem đáp án và lời giải chi tiết không giới hạn.
Đoạn văn 6
Cỗ bài tam cúc mép cong cong
Rút trộm rơm nhà đi trải ổ
Chị gọi đôi cây!
Trầu cay má đỏ
Kết xe hồng đưa Chị đến quê Em
Nghé cây bài tìm hơi tóc ấm
Em đừng lớn nữa Chị đừng đi
Tướng sĩ đỏ đen chui sấp ngửa
Ổ rơm thơm đọng tuổi đương thì
Đứa được
chinh chuyền xủng xoẻng
Đứa thua
đáo gỡ ngoài thềm
Em đi đêm tướng điều sĩ đỏ
Đổi xe hồng đưa Chị đến quê Em
Năm sau giặc giã
Quan Đốc đồng áo đen nẹp đỏ
Thả tịnh vàng cưới Chị
võng mây trôi
Em đứng nhìn theo Em gọi đôi
(Hoàng Cầm, Cây tam cúc, In trong Mưa Thuận Thành, NXB Văn hoá, 1991)
Câu 193
Lời giải
Bạn cần đăng ký gói VIP ( giá chỉ từ 250K ) để làm bài, xem đáp án và lời giải chi tiết không giới hạn.
Câu 194
B. Là những quân bài tam cúc.
Lời giải
Bạn cần đăng ký gói VIP ( giá chỉ từ 250K ) để làm bài, xem đáp án và lời giải chi tiết không giới hạn.
Câu 195
C. Nhấn mạnh tình yêu mãnh liệt với mong muốn kết đôi của chàng trai mới lớn.
Lời giải
Bạn cần đăng ký gói VIP ( giá chỉ từ 250K ) để làm bài, xem đáp án và lời giải chi tiết không giới hạn.
Câu 196
Lời giải
Bạn cần đăng ký gói VIP ( giá chỉ từ 250K ) để làm bài, xem đáp án và lời giải chi tiết không giới hạn.
Câu 197
A. Mong trò chơi tam cúc không kết thúc.
B. Mong giữ mãi tuổi thơ trong trẻo được ở bên chị.
Lời giải
Bạn cần đăng ký gói VIP ( giá chỉ từ 250K ) để làm bài, xem đáp án và lời giải chi tiết không giới hạn.
Đoạn văn 7
(Lược một đoạn: Người vợ đi chợ về, đau khổ nhìn người chồng giết con chó chỉ để thỏa cái thói tham ăn của hắn. Hắn còn bắt vợ đi mua chịu gạo, rượu, nước mắm để làm cơm thết bạn. Trong khi hắn và mấy ông khách ngồi ăn thì năm mẹ con phải chịu đói ngồi dưới bếp)
[…] Người mẹ rất còm cõi và bốn đứa con gầy ốm, quây quần với nhau trong xó bếp. Trong gia đình này, năm mẹ con thường giống như một bọn dân hèn yếu cùng chung phận con sâu, cái kiến dưới cái ách một ông bạo chúa.
Thấy lũ con đứa nào cũng nhăn nhăn, nhó nhó, người mẹ thương đứt ruột. Thị biết rằng chúng đói. Khi người ta đã đói mà lại ngửi thấy mùi thịt chó, thì bụng càng đói thêm. Thế mà bữa rượu của người bố với ba ông khách cứ kéo dài mãi. Nghĩ mà bực quá! Cái thể không chết được, chứ giá chết được thì thị chỉ thắt cổ đi cho rồi… Thị dỗ con:
- Cố mà nhịn lúc nữa, các con ạ. Đợi trên nhà ăn xong, còn thừa thì ta ăn.
Rồi muốn cho chúng quên đi, thị sổ tóc ra cho chúng xúm vào bắt chấy. Úi chà! Nhiều chấy quá! Chỉ việc rẽ một đám tóc ra là đủ thấy bốn, năm con bò lổm ngổm. Cái Gái và cu Nhớn, cu Nhỡ thi nhau bắt. Chúng cho cu Con mấy con chấy kềnh làm trâu. Mới đầu cái trò chơi ấy cũng hay hay. Nhưng chỉ một lúc là chúng chán. Thằng cu Con ra hiệu đình công trước. Nó lăn vào lòng mẹ, oằn oại vừa hụ hị kêu:
- Đói!…Bu ơi! Đói…
Tức khắc những đứa kia cũng nhớ ra rằng chúng đói. Chúng không bắt chấy cho mẹ nữa. Chúng thở dài. Chúng nuốt bọt nhem nhép. Chúng thừ mặt ra. Chúng nằm ẹp xuống đất và lật áo lên để khoe cái bụng. Bụng đứa nào đứa nấy cũng gần dính lưng.
Mắt thị rơm rớm nước. Cũng may, tiếng người bố trên nhà gọi:
- Cái Gái đâu! Dẹp mâm đi, này!
Bốn đứa trẻ cùng nhỏm dậy: mặt chúng đột nhiên tươi tỉnh lại. Gái “vâng” một tiếng thật to và chạy lên. Cu Nhớn, cu Nhỡ ngồi chồm chỗm đợi…Một lát sau, Gái bê mâm xuống. Nó cũng nâng lên ngang mặt như cha lúc nãy. Các em nó đứng cả lên, chực đu lấy cái mâm. Nó càng nâng cao hơn, mồm thét:
- Khoan! Khoan! Kẻo vỡ…
Cu Nhớn thét:
- Thì bỏ xuống!
Cái Gái vênh mặt lên, trêu nó:
- Không bỏ. Không cho chúng mày ăn.
- Có sợ thành tật không?
- Không cho ăn thật đấy.
Cu Nhỡ sốt ruột, khoặm mặt lại, vằng nhau với chị:
- Làm trò mãi! Có bỏ xuống đây không nào?
Gái hạ nhanh mâm xuống đất bảo:
- Này, ăn đi.
Nó ngẩng mặt nhìn các em, cười the thé. Người mẹ xịu ngay xuống. Trong mâm, chỉ còn bát không. Thằng cu Con khóc òa lên. Nó lăn ra, chân đạp như một người giãy chết, tay cào xé mẹ. Người mẹ đỏ mũi lên và mếu xệch đi, rưng rưng khóc. Cái Gái và cu Nhớn, cu Nhỡ cũng khóc theo.
1942
(Trích Trẻ con không được ăn thịt chó, Nam Cao, Tổng tập văn học Việt Nam, Tập 32, NXB Khoa học xã hội, tr.120, 121)
Câu 198
Lời giải
Bạn cần đăng ký gói VIP ( giá chỉ từ 250K ) để làm bài, xem đáp án và lời giải chi tiết không giới hạn.
Câu 199
Lời giải
Bạn cần đăng ký gói VIP ( giá chỉ từ 250K ) để làm bài, xem đáp án và lời giải chi tiết không giới hạn.
Câu 200
Lời giải
Bạn cần đăng ký gói VIP ( giá chỉ từ 250K ) để làm bài, xem đáp án và lời giải chi tiết không giới hạn.
Câu 201
Lời giải
Bạn cần đăng ký gói VIP ( giá chỉ từ 250K ) để làm bài, xem đáp án và lời giải chi tiết không giới hạn.
Câu 202
Lời giải
Bạn cần đăng ký gói VIP ( giá chỉ từ 250K ) để làm bài, xem đáp án và lời giải chi tiết không giới hạn.
Đoạn văn 8
Mặt trong của bình hình trụ được thể hiện ở trên có diện tích mặt cắt ngang là 0.005 m2 và chiều dài là 0,15 m. Bình được đổ đầy khí lý tưởng và được đậy bằng nắp rời. Khí được đun nóng đến 363 K và một số được phép thoát ra khỏi bình để khí còn lại đạt đến áp suất khí quyển (1.105Pa). Bây giờ, nắp được vặn chặt và khí được làm lạnh đến 298 K.

Lời giải
Bạn cần đăng ký gói VIP ( giá chỉ từ 250K ) để làm bài, xem đáp án và lời giải chi tiết không giới hạn.
Câu 204
C. 401N
Lời giải
Bạn cần đăng ký gói VIP ( giá chỉ từ 250K ) để làm bài, xem đáp án và lời giải chi tiết không giới hạn.
Câu 205
Lời giải
Bạn cần đăng ký gói VIP ( giá chỉ từ 250K ) để làm bài, xem đáp án và lời giải chi tiết không giới hạn.
Đoạn văn 9
Một nhà máy hóa chất tiến hành điện phân dung dịch NaCl 20% không có màng ngăn, thu được nước Javel chứa NaClO 10%.
Câu 206
Lời giải
Bạn cần đăng ký gói VIP ( giá chỉ từ 250K ) để làm bài, xem đáp án và lời giải chi tiết không giới hạn.
Lời giải
Bạn cần đăng ký gói VIP ( giá chỉ từ 250K ) để làm bài, xem đáp án và lời giải chi tiết không giới hạn.
Câu 208
B. 105,66 kg và 956,5 L.
Lời giải
Bạn cần đăng ký gói VIP ( giá chỉ từ 250K ) để làm bài, xem đáp án và lời giải chi tiết không giới hạn.
Đoạn văn 10
Khi khảo sát tại một hòn đảo ngoài khơi, các nhà khoa học ghi nhận được một quần thể cây tự thụ phấn nghiêm ngặt có 702 cây hoa đỏ, 156 cây hoa hồng và 442 cây hoa trắng (thế hệ ban đầu). Ở loài cây này, tính trạng màu sắc hoa do một gene có hai allele quy định. Các cây có màu hoa khác nhau đều có khả năng sống sót và sinh sản như nhau. Các nhà khoa học phát hiện ra rằng nếu đem lai cây hoa đỏ với cây hoa trắng, các cá thể đời con sẽ có 3 kiểu hình với tỷ lệ 1:2:1.
Sau hai thế hệ kể từ khi quần thể này được quan sát, có một quần thể chim sẻ di cư ra đảo, mang theo một lượng hạt giống của loài cây này. Đến thế hệ thứ ba, người ta thống kê được số cây hoa hồng chiếm 20% số cây trong quần thể.
Câu 209
D. Các cây hoa hồng có kiểu gene dị hợp về gene quy định màu hoa đang xét.
Lời giải
Bạn cần đăng ký gói VIP ( giá chỉ từ 250K ) để làm bài, xem đáp án và lời giải chi tiết không giới hạn.
Câu 210
Lời giải
Bạn cần đăng ký gói VIP ( giá chỉ từ 250K ) để làm bài, xem đáp án và lời giải chi tiết không giới hạn.
Câu 211
Lời giải
Bạn cần đăng ký gói VIP ( giá chỉ từ 250K ) để làm bài, xem đáp án và lời giải chi tiết không giới hạn.
Đoạn văn 11
Ngoại giao “cây tre Việt Nam” được Tổng Bí thư Nguyễn Phú Trọng nêu trong Hội nghị đối ngoại toàn quốc (14-12-2021). Khái niệm này là sự đúc kết, hình tượng hóa đường lối đối ngoại mà Đảng Cộng sản Việt Nam đã và đang thực hiện với những đóng góp quan trọng vào thành tựu phát triển chung của đất nước. Trong bối cảnh toàn cầu hóa và hội nhập quốc tế ngày càng sâu rộng hiện nay, việc thấm nhuần triết lý và thực hành hiệu quả trường phái ngoại giao mang bản sắc “cây tre Việt Nam” có ý nghĩa hết sức quan trọng…
Việt Nam đã có những đóng góp tích cực và trách nhiệm vào việc giữ vững hòa bình, hợp tác phát triển và tiến bộ trên thế giới; đồng thời, tổ chức thành công nhiều hội nghị quốc tế lớn (ASEM, APEC, Diễn đàn Kinh tế thế giới về ASEAN...) và hoàn thành nhiều trọng trách quốc tế quan trọng với tư cách Ủy viên không thường trực Hội đồng Bảo an Liên hợp quốc, Ủy viên Hội đồng Nhân quyền Liên hợp quốc, Chủ tịch luân phiên ASEAN... Trong nhiều vấn đề quốc tế quan trọng, tiếng nói, sáng kiến và cách thức giải quyết có lý, có tình trên tinh thần bình đẳng, hòa hiếu và nhân văn của Việt Nam đã nhận được sự đồng tình và ủng hộ của cộng đồng quốc tế, nhờ đó vị thế và uy tín của Việt Nam ngày càng được nâng cao trên trường quốc tế.
(TS Nguyễn Mạnh Hùng, Nguyên Phó Trưởng Ban Thường trực Ban đối ngoại Trung ương)
Câu 212
B. Hội nghị Đối ngoại Toàn quốc (14-12-2021).
C. Đại hội Đảng toàn quốc lần thứ XIII (2021).
Lời giải
Bạn cần đăng ký gói VIP ( giá chỉ từ 250K ) để làm bài, xem đáp án và lời giải chi tiết không giới hạn.
Câu 213
Lời giải
Bạn cần đăng ký gói VIP ( giá chỉ từ 250K ) để làm bài, xem đáp án và lời giải chi tiết không giới hạn.
Câu 214
C. Hoàn thành trọng trách Ủy viên không thường trực Hội đồng Bảo an Liên Hợp Quốc.
Lời giải
Bạn cần đăng ký gói VIP ( giá chỉ từ 250K ) để làm bài, xem đáp án và lời giải chi tiết không giới hạn.
Đoạn văn 12
Ngày 27/2, Nhóm châu Á-Thái Bình Dương tại Liên hợp quốc đã nhất trí đề cử Việt Nam vào vị trí Chủ tịch Hội nghị lần thứ 35 các quốc gia thành viên Công ước Liên hợp quốc về Luật Biển (SPLOS).
Chủ tịch Hội nghị sẽ chính thức được bầu ngay trước thềm Hội nghị, diễn ra từ ngày 23-27/6 tại trụ sở Liên hợp quốc ở New York.
Đây sẽ là lần đầu tiên Việt Nam đảm nhiệm cương vị Chủ tịch SPLOS kể từ khi trở thành thành viên Công ước Liên hợp quốc về Luật Biển (UNCLOS) năm 1994, thể hiện sự tín nhiệm cao và ghi nhận của cộng đồng quốc tế đối với những nỗ lực đi đầu của Việt Nam trong việc thực thi, củng cố giá trị phổ quát của UNCLOS, cũng như những đóng góp tích cực của Việt Nam cho công việc chung của Liên hợp quốc.
Việc đảm trách vị trí Chủ tịch SPLOS 35 là cơ hội để Việt Nam tiếp tục khẳng định vai trò quốc gia thành viên có trách nhiệm của UNCLOS và đóng góp thực chất vào nỗ lực chung của cộng đồng quốc tế trong quản trị biển và đại dương trên phạm vi toàn cầu.
(Nguồn: https://baoquocte.vn/viet-nam-duoc-nhom-chau-a-thai-binh-duong-nhat-tri-de-cu-lam-chu-tich-splos-lan-thu-35-306200.html)Câu 215
Lời giải
Bạn cần đăng ký gói VIP ( giá chỉ từ 250K ) để làm bài, xem đáp án và lời giải chi tiết không giới hạn.
Câu 216
Lời giải
Bạn cần đăng ký gói VIP ( giá chỉ từ 250K ) để làm bài, xem đáp án và lời giải chi tiết không giới hạn.
Câu 217
Lời giải
Bạn cần đăng ký gói VIP ( giá chỉ từ 250K ) để làm bài, xem đáp án và lời giải chi tiết không giới hạn.
Đoạn văn 13

Câu 218
Lời giải
Bạn cần đăng ký gói VIP ( giá chỉ từ 250K ) để làm bài, xem đáp án và lời giải chi tiết không giới hạn.
Câu 219
Lời giải
Bạn cần đăng ký gói VIP ( giá chỉ từ 250K ) để làm bài, xem đáp án và lời giải chi tiết không giới hạn.
Câu 220
Lời giải
Bạn cần đăng ký gói VIP ( giá chỉ từ 250K ) để làm bài, xem đáp án và lời giải chi tiết không giới hạn.
Đoạn văn 14
Bing AI is the name of Microsoft's new artificial intelligence system, which can answer questions (631) _________ in natural language. It has been built to (632) _________with similar systems from Google and Apple. The Bing AI team has trained the system by having it read the equivalent of 500 Wikipedia articles. The team then tested its ability to answer questions about those articles and found that it was able to respond correctly more often than not.
(633) _____________ is its ability to ask clarifying questions. For example, if a user asks, "How tall is Barack Obama?", Bing AI may reply with "Which Barack Obama are you asking about? The president, or the basketball player?". This back-and-forth dialogue allows the system to better understand the user's intent and provide a more accurate response.
Another unique feature of Bing AI is its ability to generate answers to questions that it has never seen before. In one test, the researchers asked the system "Who won the most recent World Cup?". The system was able to correctly (634) _______ the answer by using its general knowledge of current events.
Because Bing AI has been trained on a vast dataset, it can provide responses with a high degree of accuracy. However, (635) _______, which means users should always verify critical information before relying on it.
Câu 221
Lời giải
Bạn cần đăng ký gói VIP ( giá chỉ từ 250K ) để làm bài, xem đáp án và lời giải chi tiết không giới hạn.
Câu 222
A. compete
Lời giải
Bạn cần đăng ký gói VIP ( giá chỉ từ 250K ) để làm bài, xem đáp án và lời giải chi tiết không giới hạn.
Câu 223
A. Apart from other question-answering systems Bing AI sets
Lời giải
Bạn cần đăng ký gói VIP ( giá chỉ từ 250K ) để làm bài, xem đáp án và lời giải chi tiết không giới hạn.
Câu 224
Lời giải
Bạn cần đăng ký gói VIP ( giá chỉ từ 250K ) để làm bài, xem đáp án và lời giải chi tiết không giới hạn.
Câu 225
Lời giải
Bạn cần đăng ký gói VIP ( giá chỉ từ 250K ) để làm bài, xem đáp án và lời giải chi tiết không giới hạn.
Đoạn văn 15
MOBILE PHONES: ARE THEY ABOUT TO TRANSFORM OUR LIVES?
We love them so much that some of us sleep with them under the pillow, yet we are increasingly concerned that we cannot escape their electronic reach. We use them to convey our most intimate secrets, yet we worry that they are a threat to our privacy. We rely on them more than the Internet to cope with modern life, yet many of us don’t believe advertisements saying we need more advanced services.
Sweeping aside the doubts that many people feel about the benefits of new third generation phones and fears over the health effects of phone masts, a recent report claims that the long-term effects of new mobile technologies will be entirely positive so long as the public can be convinced to make use of them. Research about users of mobile phones reveals that the mobile has already moved beyond being a mere practical communications tool to become the backbone of modern social life, from love affairs to friendship to work.
The close relationship between user and phone is most pronounced among teenagers, the report says, who regard their mobiles as an expression of their identity. This is partly because mobiles are seen as being beyond the control of parents. But the researchers suggest that another reason may be that mobiles, especially text messaging, were seen as a way of overcoming shyness. The impact of phones, however, has been local rather than global, supporting existing friendship and networks, rather than opening users to a new broader community. Even the language of texting in one area can be incomprehensible to anybody from another area.
Among the most important benefits of using mobile phones, the report claims, will be a vastly improved mobile infrastructure, providing gains throughout the economy, and the provision of a more sophisticated location-based services for users. The report calls on government to put more effort into the delivery of services by mobile phone, with suggestion including public transport and traffic information and doctors’ text messages to remind patients of appointments. There are many possibilities. At a recent trade fair in Sweden, a mobile navigation product was launched. When the user enters a destination, a route is automatically downloaded to their mobile and presented by voices, pictures and maps as they drive. In future, these devices will also be able to plan around congestion and road works in real time. Third generation phones will also allow for remote monitoring of patients by doctors. In Britain, scientists are developing an asthma management solution using mobiles to detect early signs of an attack.
Mobile phones can be used in education. A group of teachers in Britain use third generation phones to provide fast internet service to children who live beyond the reach of terrestrial broadband services and can have no access to online information. ‘As the new generation of mobile technologies takes off, the social potential will vastly increase,’ the report argues.
Câu 226
Lời giải
Bạn cần đăng ký gói VIP ( giá chỉ từ 250K ) để làm bài, xem đáp án và lời giải chi tiết không giới hạn.
Câu 227
C. Modern social life relies significantly on the use of mobile phones.
Lời giải
Bạn cần đăng ký gói VIP ( giá chỉ từ 250K ) để làm bài, xem đáp án và lời giải chi tiết không giới hạn.
Câu 228
Lời giải
Bạn cần đăng ký gói VIP ( giá chỉ từ 250K ) để làm bài, xem đáp án và lời giải chi tiết không giới hạn.
Câu 229
Lời giải
Bạn cần đăng ký gói VIP ( giá chỉ từ 250K ) để làm bài, xem đáp án và lời giải chi tiết không giới hạn.
Câu 230
A. People tend to communicate with people they already know.
Lời giải
Bạn cần đăng ký gói VIP ( giá chỉ từ 250K ) để làm bài, xem đáp án và lời giải chi tiết không giới hạn.
Đoạn văn 16
The upcoming decades will bring significant changes in energy supply and consumption. As some major oil-producing countries have already reached 'peak oil' and concerns about global warming rise, many nations are prioritizing the transition to a low-carbon economy, which will transform electricity supply and usage. Firstly, there will be an increase in overall demand, as consumers switch from oil and gas to electricity to power their homes and vehicles. Secondly, there will be an increase in power generation, not only in terms of how much is generated, but also how it is generated, as there is growing electricity generation from renewable sources. There is also likely more electricity generation centres, as households and communities take up the opportunity to install photovoltaic cells and small scale wind turbines. To meet these challenges, countries are investing in Smart Grid technology. This system aims to provide the electricity industry with a better understanding of power generation and demand, and to use this information to create a more efficient power network.
Smart meters can be integrated with the internet or telephone networks. This connectivity enables customers to control their appliances from a distance. For instance, individuals can turn devices on or off remotely, providing added convenience. Overall, the system offers significant benefits in managing energy usage. By analyzing real-time data, it allows for better decision-making. This technology not only improves efficiency but also supports cost savings. Ultimately, the integration of smart technology will enhance user experience and system management.
The coming decades will bring significant shifts in energy supply and usage. A problem is the fact that many renewable power generation sources are located in remote areas, such as windy uplands and coastal regions, where there is currently a lack of electrical infrastructure. New infrastructures therefore must be built. Thankfully, with improved smart technology, this can be done more efficiently by reducing the reinforcement or construction costs.
Although Smart Technology is still in its infancy, pilot schemes to promote and test it are already underway. Consumers are currently testing the new smart meters which can be used in their homes to manage electricity use. There are also a number of demonstrations being planned to show how the smart technology could practically work, and trials are in place to test the new electrical infrastructure. It is here where Smart Technology is likely to be promoted first, utilising a range of sustainable power sources, transport solutions and an infrastructure for charging electrically powered vehicles. The infrastructure is already changing fast.
Câu 231
Lời giải
Bạn cần đăng ký gói VIP ( giá chỉ từ 250K ) để làm bài, xem đáp án và lời giải chi tiết không giới hạn.
Câu 232
Lời giải
Bạn cần đăng ký gói VIP ( giá chỉ từ 250K ) để làm bài, xem đáp án và lời giải chi tiết không giới hạn.
Câu 233
Lời giải
Bạn cần đăng ký gói VIP ( giá chỉ từ 250K ) để làm bài, xem đáp án và lời giải chi tiết không giới hạn.
Câu 234
Lời giải
Bạn cần đăng ký gói VIP ( giá chỉ từ 250K ) để làm bài, xem đáp án và lời giải chi tiết không giới hạn.
Câu 235
Lời giải
Bạn cần đăng ký gói VIP ( giá chỉ từ 250K ) để làm bài, xem đáp án và lời giải chi tiết không giới hạn.


















