Cho hình phẳng \(\left( H \right)\) giới hạn bởi đồ thị \(y = 2x - {x^2}\) và trục hoành. Tính thể tích \(V\) vật thể tròn xoay sinh ra khi cho \(\left( H \right)\) quay quanh \(Ox\).
Quảng cáo
Trả lời:
Đáp án đúng là B
Phương pháp giải
Sử dụng ứng dụng tích phân tính thể tích khối tròn xoay.
Lời giải
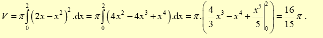
Phương trình hoành độ giao điểm của \(\left( H \right)\) với trục hoành: \(2x - {x^2} = 0 \Leftrightarrow \left[ {\begin{array}{*{20}{c}}{{x_1} = 2}\\{{x_2} = 0}\end{array}} \right.\).
Vậy thể tích khối tròn xoay sinh ra do \(\left( H \right)\) quay quanh \(Ox\) là:

Hot: 1000+ Đề thi cuối kì 2 file word cấu trúc mới 2026 Toán, Văn, Anh... lớp 1-12 (chỉ từ 60k). Tải ngay
CÂU HỎI HOT CÙNG CHỦ ĐỀ
Lời giải
Đáp án đúng là B
Phương pháp giải
Sử dụng kiến thức về xác suất có điều kiện.
Lời giải
Gọi \({A_1}\) là biến cố "Thí sinh qua vòng 1"
\({A_2}\) là biến cố "Thí sinh qua vòng 2"
\({A_3}\) là biến cố "Thí sinh qua vòng 3"
\(B\) là biến cố "Thí sinh vượt qua 3 vòng thi"
Ta có \(P\left( B \right) = P\left( {{A_1}{A_2}{A_3}} \right) = P\left( {{A_1}} \right)P\left( {{A_2}\mid {A_1}} \right)P\left( {{A_3}\mid {A_1}{A_2}} \right)\)
\( = \frac{9}{{10}}.\frac{8}{{10}}.\frac{9}{{10}} = 64,8{\rm{\% }} = 0,648\)
Câu 2
Lời giải
Đáp án đúng là C
Phương pháp giải
Đọc hiểu tìm thông tin đoạn 1
Lời giải
Theo đoạn 1, điều gì đã xảy ra ở một số nước sản xuất dầu?
A. Nguồn cung dầu không thể đoán trước.
B. Họ không muốn bán dầu nữa.
C. Họ không sản xuất nhiều dầu như trước nữa.
D. Hiện tượng nóng lên toàn cầu ở đây nghiêm trọng hơn ở các nước khác.
Thông tin: The upcoming decades will bring significant changes in energy supply and consumption. As some major oil-producing countries have already reached 'peak oil' and concerns about global warming rise, many nations are prioritizing the transition to a low-carbon economy, which will transform electricity supply and usage.
Tạm dịch: Những thập kỷ sắp tới sẽ mang lại những thay đổi đáng kể về nguồn cung và tiêu thụ năng lượng. Khi một số quốc gia sản xuất dầu lớn đã đạt đến 'đỉnh dầu' và mối lo ngại về tình trạng nóng lên toàn cầu gia tăng, nhiều quốc gia đang ưu tiên chuyển đổi sang nền kinh tế ít carbon, điều này sẽ chuyển đổi nguồn cung và sử dụng điện.
Câu 3
Lời giải
Bạn cần đăng ký gói VIP ( giá chỉ từ 250K ) để làm bài, xem đáp án và lời giải chi tiết không giới hạn.
Câu 4
Lời giải
Bạn cần đăng ký gói VIP ( giá chỉ từ 250K ) để làm bài, xem đáp án và lời giải chi tiết không giới hạn.
Câu 5
Lời giải
Bạn cần đăng ký gói VIP ( giá chỉ từ 250K ) để làm bài, xem đáp án và lời giải chi tiết không giới hạn.
Câu 6
Lời giải
Bạn cần đăng ký gói VIP ( giá chỉ từ 250K ) để làm bài, xem đáp án và lời giải chi tiết không giới hạn.
Câu 7
Lời giải
Bạn cần đăng ký gói VIP ( giá chỉ từ 250K ) để làm bài, xem đáp án và lời giải chi tiết không giới hạn.