Cho hàm số \(f\left( x \right) = \left\{ {\begin{array}{*{20}{c}}{\frac{{\sqrt x - 1}}{{x - 1}}\,\,\;khi\,\,\;x > 1}\\{ax - \frac{1}{2}\,\,\;khi\;\,\,x \le 1}\end{array}} \right.\). Hàm số đã cho liên tục tại điểm \(x = 1\) khi và chỉ khi
Quảng cáo
Trả lời:
Đáp án đúng là B
Phương pháp giải
Phương pháp liên hợp
Lời giải
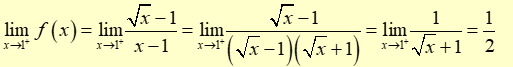
Ta có 
Và 
Hàm số đã cho liên tục tại điểm \(x = 1\) khi và chỉ khi:

Hot: 1000+ Đề thi giữa kì 2 file word cấu trúc mới 2026 Toán, Văn, Anh... lớp 1-12 (chỉ từ 60k). Tải ngay
- Tuyển tập 30 đề thi đánh giá năng lực Đại học Quốc gia Hà Nội 2025 (Tập 1) ( 39.000₫ )
- Tuyển tập 30 đề thi đánh giá năng lực Đại học Quốc gia TP Hồ Chí Minh (2 cuốn) ( 140.000₫ )
- Tuyển tập 15 đề thi Đánh giá tư duy Đại học Bách Khoa Hà Nội 2025 (Tập 1) ( 39.000₫ )
- Tuyển tập 30 đề thi đánh giá năng lực Đại học Quốc gia Hà Nội, TP Hồ Chí Minh (2 cuốn) ( 150.000₫ )
CÂU HỎI HOT CÙNG CHỦ ĐỀ
Lời giải
Đáp án đúng là C
Phương pháp giải
Tìm giá trị lớn nhất của hàm số.
Lời giải

Ta thấy \({v_A}\left( 0 \right) = 0,{v_A}\left( {20} \right) = \frac{{40}}{9},{v_A}\left( {10} \right) = 6\). Vậy 
Câu 2
Lời giải
Đáp án đúng là A
Phương pháp giải
Cụm từ cố định (Collocations)
Lời giải
A. be native to: có nguồn gốc từ, bản địa ở => Trong ngữ cảnh bài đọc, câu đề cập đến việc loài bọ hôi không có nguồn gốc từ Anh, nên "be native to the UK" là phù hợp nhất.
B. relevant to: liên quan đến => không phù hợp vì "liên quan đến" không diễn tả đúng nghĩa cần truyền tải.
C. accustomed to: quen với => không hợp lý vì câu không nói về sự thích nghi hay thói quen.
D. typical of: điển hình của => không phù hợp vì câu không mô tả đặc điểm chung của nước Anh mà chỉ nói về nguồn gốc của loài bọ.
Tạm dịch: Chúng không có nguồn gốc từ Anh.
Câu 3
Lời giải
Bạn cần đăng ký gói VIP ( giá chỉ từ 199K ) để làm bài, xem đáp án và lời giải chi tiết không giới hạn.
Câu 4
Lời giải
Bạn cần đăng ký gói VIP ( giá chỉ từ 199K ) để làm bài, xem đáp án và lời giải chi tiết không giới hạn.
Câu 5
Lời giải
Bạn cần đăng ký gói VIP ( giá chỉ từ 199K ) để làm bài, xem đáp án và lời giải chi tiết không giới hạn.
Câu 6
Lời giải
Bạn cần đăng ký gói VIP ( giá chỉ từ 199K ) để làm bài, xem đáp án và lời giải chi tiết không giới hạn.
Câu 7
Lời giải
Bạn cần đăng ký gói VIP ( giá chỉ từ 199K ) để làm bài, xem đáp án và lời giải chi tiết không giới hạn.