Một chiếc đồng hồ cát được thiết kế bằng cách quay phần hình phẳng bị giới hạn bởi đường lemniscate có phương trình \({x^4} - {x^2} + {y^2} = 0\) quanh trục hoành (xem hình minh họa).

Thể tích của chiếc đồng hồ cát là
Quảng cáo
Trả lời:
Đáp án đúng là C
Phương pháp giải
Sử dụng tích phân tính thể tích khối tròn xoay.
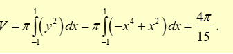
Lời giải
Xét phương trình hoành độ giao điểm của đường lemniscate với trục hoành \(y = 0\), ta có:
\({x^4} - {x^2} = 0 \Leftrightarrow x = \pm 1\)
Ta có 
Hot: 1000+ Đề thi giữa kì 2 file word cấu trúc mới 2026 Toán, Văn, Anh... lớp 1-12 (chỉ từ 60k). Tải ngay
- Tuyển tập 30 đề thi đánh giá năng lực Đại học Quốc gia Hà Nội 2025 (Tập 1) ( 39.000₫ )
- Tuyển tập 15 đề thi Đánh giá tư duy Đại học Bách Khoa Hà Nội 2025 (Tập 1) ( 39.000₫ )
- Tuyển tập 30 đề thi đánh giá năng lực Đại học Quốc gia TP Hồ Chí Minh (2 cuốn) ( 140.000₫ )
- Tuyển tập 30 đề thi đánh giá năng lực Đại học Quốc gia Hà Nội, TP Hồ Chí Minh (2 cuốn) ( 150.000₫ )
CÂU HỎI HOT CÙNG CHỦ ĐỀ
Lời giải
Đáp án đúng là C
Phương pháp giải
Tìm giá trị lớn nhất của hàm số.
Lời giải

Ta thấy \({v_A}\left( 0 \right) = 0,{v_A}\left( {20} \right) = \frac{{40}}{9},{v_A}\left( {10} \right) = 6\). Vậy 
Câu 2
Lời giải
Đáp án đúng là A
Phương pháp giải
Tìm đại từ thay thế
Lời giải
Câu hỏi: Từ “they” ở đoạn văn số 3 thay thế cho:
A. Những vị phụ huynh
B. Những cô con gái
C. Gia đình nhà trai
D. Các cộng đồng
Câu chứa “they” là: “Parents marry their daughters as soon as possible because the money they have to pay to the groom’s family is higher if their daughter is older.” Chủ ngữ chính của câu là “Parents”, động từ chính là “marry” (kết hôn, gả con). Cụm “the money they have to pay to the groom’s family” có đại từ “they”, chỉ người phải trả tiền.
=> “They” thay thế cho “parents”.
Tạm dịch: Cha mẹ gả con gái càng sớm càng tốt vì số tiền họ phải trả cho gia đình nhà trai sẽ cao hơn nếu con gái họ lớn tuổi hơn.
Câu 3
Lời giải
Bạn cần đăng ký gói VIP ( giá chỉ từ 199K ) để làm bài, xem đáp án và lời giải chi tiết không giới hạn.
Câu 4
Lời giải
Bạn cần đăng ký gói VIP ( giá chỉ từ 199K ) để làm bài, xem đáp án và lời giải chi tiết không giới hạn.
Câu 5
Lời giải
Bạn cần đăng ký gói VIP ( giá chỉ từ 199K ) để làm bài, xem đáp án và lời giải chi tiết không giới hạn.
Câu 6
Lời giải
Bạn cần đăng ký gói VIP ( giá chỉ từ 199K ) để làm bài, xem đáp án và lời giải chi tiết không giới hạn.
Câu 7
Lời giải
Bạn cần đăng ký gói VIP ( giá chỉ từ 199K ) để làm bài, xem đáp án và lời giải chi tiết không giới hạn.