Bài tập ôn tập Hóa 12 Chân trời sáng tạo Chương 2 có đáp án
39 người thi tuần này 4.6 260 lượt thi 50 câu hỏi
Bạn cần đăng ký gói VIP ( giá chỉ từ 199K ) để làm bài, xem đáp án và lời giải chi tiết không giới hạn.
🔥 Học sinh cũng đã học
Bộ 3 đề thi cuối kì 2 Hóa 12 Chân trời sáng tạo cấu trúc mới có đáp án - Đề 3
Bộ 3 đề thi cuối kì 2 Hóa 12 Chân trời sáng tạo cấu trúc mới có đáp án - Đề 2
Bộ 3 đề thi cuối kì 2 Hóa 12 Chân trời sáng tạo cấu trúc mới có đáp án - Đề 1
Bộ 3 đề thi cuối kì 2 Hóa 12 Cánh diều cấu trúc mới có đáp án - Đề 3
Bộ 3 đề thi cuối kì 2 Hóa 12 Cánh diều cấu trúc mới có đáp án - Đề 2
Bộ 3 đề thi cuối kì 2 Hóa 12 Cánh diều cấu trúc mới có đáp án - Đề 1
Bộ 3 đề thi cuối kì 2 Hóa 12 Kết nối tri thức cấu trúc mới có đáp án - Đề 3
Bộ 3 đề thi cuối kì 2 Hóa 12 Kết nối tri thức cấu trúc mới có đáp án - Đề 2
Danh sách câu hỏi:
Lời giải
Đáp án đúng là: A
Carbohydrate là những hợp chất hữu cơ tạp chức có công thức chung là Cn(H2O)m, và trong phân tử bắt buộc chứa nhóm alcohol, ngoài ra có thể chứa nhóm chức aldehyde hoặc ketone tùy chất.
Câu 2
C6H12O6.
(C6H10O5)n
C12H22O11.
C2H4O2.
Lời giải
Đáp án đúng là: C
Saccharose có công thức phân tử C12H22O11.
Câu 3
(C6H10O5)n.
C12H22O11.
C6H12O6.
C2H4O2.
Lời giải
Đáp án đúng là: A
Công thức của cellulose là (C6H10O5)n.
Câu 4
Glucose.
Maltose.
Saccharose.
Fructose.
Lời giải
Đáp án đúng là: D
Fructose chiếm hàm lượng cao nhất trong mật ong.
Câu 5
Glucose.
Saccharose.
Fructose.
Maltose.
Lời giải
Đáp án đúng là: A
Glucose là chất có trong máu người, có vai trò cung cấp năng lượng cho cơ thể vì vậy glucose được dùng làm dịch truyền để bổ sung nhanh năng lượng cho người bệnh.
Câu 6
glucose.
fructose.
ethanol.
acetic acid.
Lời giải
Bạn cần đăng ký gói VIP ( giá chỉ từ 199K ) để làm bài, xem đáp án và lời giải chi tiết không giới hạn.
Câu 7
C6H10O5.
C6H12O6.
C5H10O5.
C12H22O11.
Lời giải
Bạn cần đăng ký gói VIP ( giá chỉ từ 199K ) để làm bài, xem đáp án và lời giải chi tiết không giới hạn.
Câu 8
Trong môi trường kiềm, glucose và fructose có thể chuyển hoá lẫn nhau. Điều
đó chứng tỏ hai chất này
đều phản ứng với thuốc thử Tollens.
đều là những disaccharide.
đều làm mất màu nước bromine.
đều không có nhóm hydroxy.
Lời giải
Bạn cần đăng ký gói VIP ( giá chỉ từ 199K ) để làm bài, xem đáp án và lời giải chi tiết không giới hạn.
Câu 9
Sản phẩm hữu cơ thu được sau bước 3 là ammonium gluconate.
Thí nghiệm trên chứng minh glucose có tính chất của polyalcohol.
Sau bước 3, có lớp bạc kim loại bám trên thành ống nghiệm.
Trong phản ứng ở bước 3, glucose đóng vai trò là chất khử.
Lời giải
Bạn cần đăng ký gói VIP ( giá chỉ từ 199K ) để làm bài, xem đáp án và lời giải chi tiết không giới hạn.
Câu 10
có nhóm −CH=O trong phân tử.
có công thức phân tử C6H10O5.
thuộc loại disaccharide.
có phản ứng tráng bạc.
Lời giải
Bạn cần đăng ký gói VIP ( giá chỉ từ 199K ) để làm bài, xem đáp án và lời giải chi tiết không giới hạn.
Câu 11
C2H5OH.
CH3COOH.
HCOOH.
CH3CHO.
Lời giải
Bạn cần đăng ký gói VIP ( giá chỉ từ 199K ) để làm bài, xem đáp án và lời giải chi tiết không giới hạn.
Câu 12
hai đơn vị glucose qua liên kết α-1,4-glycoside.
một đơn vị glucose và một đơn vị fructose qua liên kết α-1,2-glycoside.
hai đơn vị fructose qua liên kết β-1,4-glycoside.
một đơn vị glucose và một đơn vị galactose qua liên kết α-1,4-glycoside.
Lời giải
Bạn cần đăng ký gói VIP ( giá chỉ từ 199K ) để làm bài, xem đáp án và lời giải chi tiết không giới hạn.
Câu 13
Thuỷ phân saccharose.
Thuỷ phân tinh bột.
Kết hợp glucose và fructose.
Lên men ethanol.
Lời giải
Bạn cần đăng ký gói VIP ( giá chỉ từ 199K ) để làm bài, xem đáp án và lời giải chi tiết không giới hạn.
Câu 14
Phản ứng với thuốc thử Tollens.
Phản ứng thuỷ phân trong môi trường acid.
Phản ứng với dung dịch nước bromine.
Phản ứng với Cu(OH)2, tạo kết tủa đỏ gạch.
Lời giải
Bạn cần đăng ký gói VIP ( giá chỉ từ 199K ) để làm bài, xem đáp án và lời giải chi tiết không giới hạn.
Câu 15
Glucose.
Fructose.
Saccharose.
Maltose
Lời giải
Bạn cần đăng ký gói VIP ( giá chỉ từ 199K ) để làm bài, xem đáp án và lời giải chi tiết không giới hạn.
Câu 16
Saccharose.
Glucose.
Maltose.
Fructose.
Lời giải
Bạn cần đăng ký gói VIP ( giá chỉ từ 199K ) để làm bài, xem đáp án và lời giải chi tiết không giới hạn.
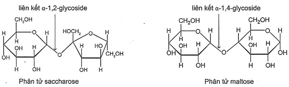
Câu 17
Maltose không có nhóm −OH hemiacetal.
Một phân tử saccharose gồm hai đơn vị α-glucose.
Hai đơn vị α-glucose trong maltose liên kết với nhau bằng liên kết α-1,2-glycoside.
Saccharose và maltose có cùng công thức phân tử.
Lời giải
Bạn cần đăng ký gói VIP ( giá chỉ từ 199K ) để làm bài, xem đáp án và lời giải chi tiết không giới hạn.
Lời giải
Bạn cần đăng ký gói VIP ( giá chỉ từ 199K ) để làm bài, xem đáp án và lời giải chi tiết không giới hạn.
Câu 19
Maltose, glucose.
Saccharose, fructose.
Saccharose, glucose.
Maltose, fructose.
Lời giải
Bạn cần đăng ký gói VIP ( giá chỉ từ 199K ) để làm bài, xem đáp án và lời giải chi tiết không giới hạn.
Câu 20
Saccharose không bị thuỷ phân trong môi trường acid.
Thuỷ phân saccharose chỉ thu được glucose.
Thuỷ phân saccharose thu được cả glucose và fructose.
Thuỷ phân saccharose chỉ thu được fructose.
Lời giải
Bạn cần đăng ký gói VIP ( giá chỉ từ 199K ) để làm bài, xem đáp án và lời giải chi tiết không giới hạn.
Câu 21
Kim loại màu vàng sáng bám trên bề mặt ống nghiệm.
Kết tủa màu đỏ gạch xuất hiện trong ống nghiệm.
Dung dịch trở nên đồng nhất và có màu xanh lam.
Chất lỏng trong ống nghiệm tách thành hai lớp và xuất hiện kết tủa màu xanh nhạt lắng xuống đáy ống nghiệm.
Lời giải
Bạn cần đăng ký gói VIP ( giá chỉ từ 199K ) để làm bài, xem đáp án và lời giải chi tiết không giới hạn.
Câu 22
(2), (3), (4) và (5).
(3), (4), (5) và (6).
(1), (2), (3) và (4).
(1), (3), (4) và (6).
Lời giải
Bạn cần đăng ký gói VIP ( giá chỉ từ 199K ) để làm bài, xem đáp án và lời giải chi tiết không giới hạn.
Câu 23
cellulose.
glucose.
glycerol.
ethyl acetate.
Lời giải
Bạn cần đăng ký gói VIP ( giá chỉ từ 199K ) để làm bài, xem đáp án và lời giải chi tiết không giới hạn.
Câu 24
tinh bột và glucose.
tinh bột và saccharose.
cellulose và saccharose.
saccharose và glucose.
Lời giải
Bạn cần đăng ký gói VIP ( giá chỉ từ 199K ) để làm bài, xem đáp án và lời giải chi tiết không giới hạn.
Câu 25
Y có tính chất của alcohol đa chức.
X có phản ứng tráng bạc.
Phân tử khối của Y bằng 342.
X dễ tan trong nước.
Lời giải
Bạn cần đăng ký gói VIP ( giá chỉ từ 199K ) để làm bài, xem đáp án và lời giải chi tiết không giới hạn.
Câu 26
Dung dịch NaOH.
Dung dịch ethanol.
Nước Schweizer.
Nước bromine.
Lời giải
Bạn cần đăng ký gói VIP ( giá chỉ từ 199K ) để làm bài, xem đáp án và lời giải chi tiết không giới hạn.
Lời giải
Bạn cần đăng ký gói VIP ( giá chỉ từ 199K ) để làm bài, xem đáp án và lời giải chi tiết không giới hạn.
Câu 28
Do cấu tạo mạch ở dạng xoắn có lỗ rỗng, tinh bột hấp thụ I2 cho màu đặc trưng.
Phản ứng này dùng để nhận biết tinh bột bằng I2 và ngược lại.
Thí nghiệm trên chứng minh tinh bột có nhiều nhóm -OH.
Hiện tượng xảy ra là ống nghiệm chứa hồ tinh bột và mặt cắt của củ khoai lang chuyển sang màu tím.
Lời giải
Bạn cần đăng ký gói VIP ( giá chỉ từ 199K ) để làm bài, xem đáp án và lời giải chi tiết không giới hạn.
Câu 29
Glucose.
Dextrin.
Maltose.
Cellulose trinitrate.
Lời giải
Bạn cần đăng ký gói VIP ( giá chỉ từ 199K ) để làm bài, xem đáp án và lời giải chi tiết không giới hạn.
Câu 30
Tinh bột và cellulose đều là polysaccharide.
Cellulose có cấu trúc mạch phân nhánh.
Cellulose bị thủy phân trong dung dịch kiềm đun nóng.
Thủy phân hoàn toàn tinh bột trong dung dịch H2SO4, đun nóng tạo ra fructose.
Lời giải
Bạn cần đăng ký gói VIP ( giá chỉ từ 199K ) để làm bài, xem đáp án và lời giải chi tiết không giới hạn.
Lời giải
Bạn cần đăng ký gói VIP ( giá chỉ từ 199K ) để làm bài, xem đáp án và lời giải chi tiết không giới hạn.
Lời giải
Bạn cần đăng ký gói VIP ( giá chỉ từ 199K ) để làm bài, xem đáp án và lời giải chi tiết không giới hạn.
Lời giải
Bạn cần đăng ký gói VIP ( giá chỉ từ 199K ) để làm bài, xem đáp án và lời giải chi tiết không giới hạn.
Lời giải
Bạn cần đăng ký gói VIP ( giá chỉ từ 199K ) để làm bài, xem đáp án và lời giải chi tiết không giới hạn.
Lời giải
Bạn cần đăng ký gói VIP ( giá chỉ từ 199K ) để làm bài, xem đáp án và lời giải chi tiết không giới hạn.
Lời giải
Bạn cần đăng ký gói VIP ( giá chỉ từ 199K ) để làm bài, xem đáp án và lời giải chi tiết không giới hạn.
Lời giải
Bạn cần đăng ký gói VIP ( giá chỉ từ 199K ) để làm bài, xem đáp án và lời giải chi tiết không giới hạn.
Lời giải
Bạn cần đăng ký gói VIP ( giá chỉ từ 199K ) để làm bài, xem đáp án và lời giải chi tiết không giới hạn.
Lời giải
Bạn cần đăng ký gói VIP ( giá chỉ từ 199K ) để làm bài, xem đáp án và lời giải chi tiết không giới hạn.
Lời giải
Bạn cần đăng ký gói VIP ( giá chỉ từ 199K ) để làm bài, xem đáp án và lời giải chi tiết không giới hạn.
Lời giải
Bạn cần đăng ký gói VIP ( giá chỉ từ 199K ) để làm bài, xem đáp án và lời giải chi tiết không giới hạn.
Lời giải
Bạn cần đăng ký gói VIP ( giá chỉ từ 199K ) để làm bài, xem đáp án và lời giải chi tiết không giới hạn.
Lời giải
Bạn cần đăng ký gói VIP ( giá chỉ từ 199K ) để làm bài, xem đáp án và lời giải chi tiết không giới hạn.
Lời giải
Bạn cần đăng ký gói VIP ( giá chỉ từ 199K ) để làm bài, xem đáp án và lời giải chi tiết không giới hạn.
Lời giải
Bạn cần đăng ký gói VIP ( giá chỉ từ 199K ) để làm bài, xem đáp án và lời giải chi tiết không giới hạn.
Lời giải
Bạn cần đăng ký gói VIP ( giá chỉ từ 199K ) để làm bài, xem đáp án và lời giải chi tiết không giới hạn.
Lời giải
Bạn cần đăng ký gói VIP ( giá chỉ từ 199K ) để làm bài, xem đáp án và lời giải chi tiết không giới hạn.
Lời giải
Bạn cần đăng ký gói VIP ( giá chỉ từ 199K ) để làm bài, xem đáp án và lời giải chi tiết không giới hạn.
Lời giải
Bạn cần đăng ký gói VIP ( giá chỉ từ 199K ) để làm bài, xem đáp án và lời giải chi tiết không giới hạn.
Lời giải
Bạn cần đăng ký gói VIP ( giá chỉ từ 199K ) để làm bài, xem đáp án và lời giải chi tiết không giới hạn.



Y
Z + Ag + NH3 + H2O
T + NH4Cl
dextrin
maltose
glucose
ethanol.
thì cần dùng m gam glucose tác dụng với lượng dư dung dịch AgNO3 trong NH3. Biết hiệu suất phản ứng tráng bạc là 75% và khối lượng riêng của bạc là 10,49 g/cm3. Giá trị của m bằng bao nhiêu? Kết quả làm tròn đến hàng đơn vị.