Đề thi Giữa kì 2 Toán 12 trường THPT Nguyễn Quốc Trinh (Hà Nội) năm 2024–2025
Khoahoc.vietjack.com cập nhật Đề thi Giữa kì 2 Toán 12 trường THPT Nguyễn Quốc Trinh, thành phố Hà Nội năm 2024 – 2025 sẽ giúp học sinh lớp 12 có thêm tài liệu ôn thi Toán 12 Giữa học kì 2. Mời các bạn đón đọc:
Xem thử Đề thi GK2 Toán 12 KNTTXem thử Đề thi GK2 Toán 12 CTSTXem thử Đề thi GK2 Toán 12 CD
Chỉ từ 150k mua trọn bộ đề thi Toán 12 Giữa kì 2 theo cấu trúc mới bản word có lời giải chi tiết, dễ dàng chỉnh sửa:
A. Tóm tắt nội dung một số câu trong Đề thi Giữa kì 2 Toán 12
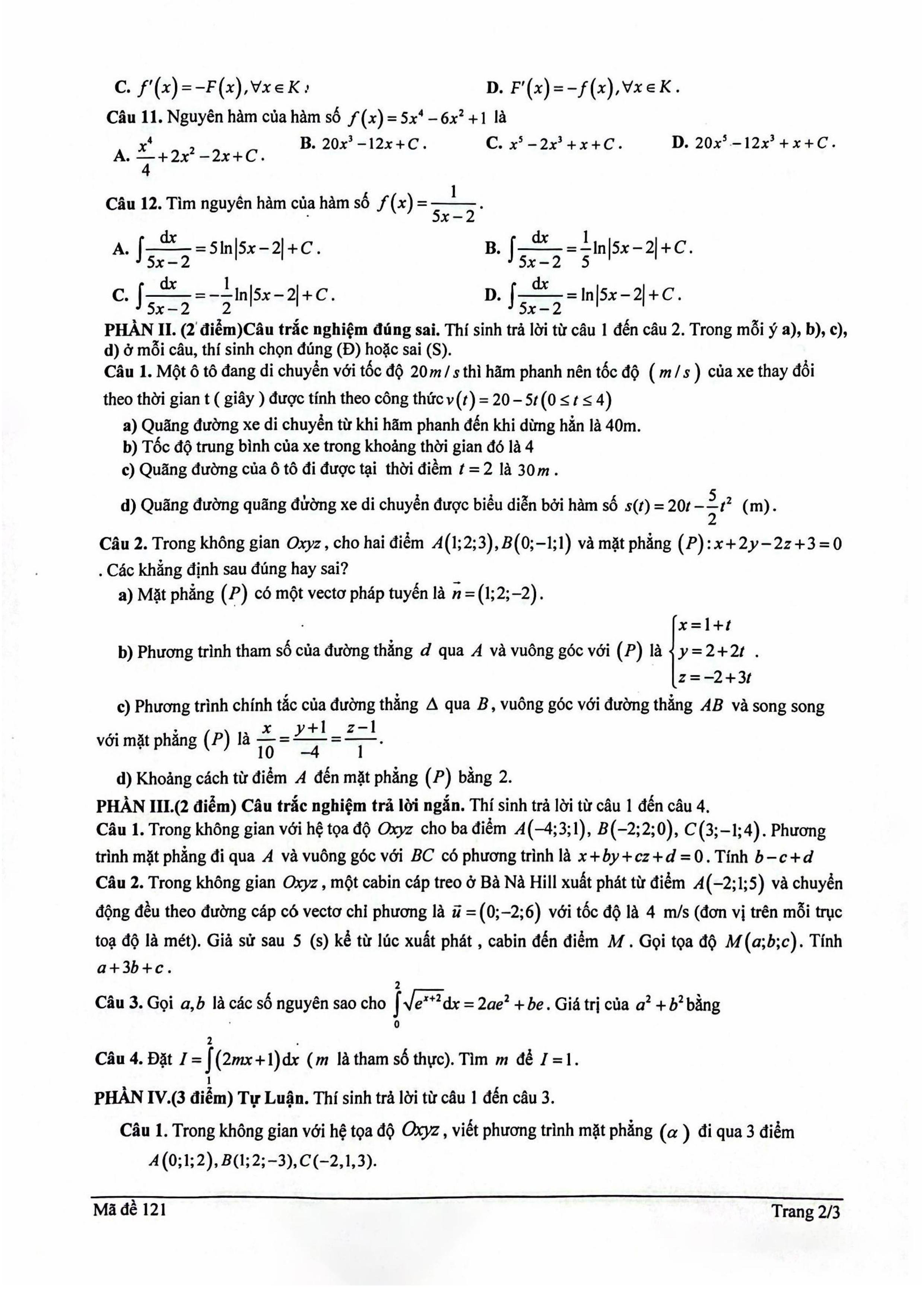
PHẦN I. (3 điểm) TRẮC NGHIỆM. Thí sinh trả lời từ câu 1 đến câu 12. Trong mỗi câu hỏi thí sinh chỉ chọn một phương án.
Câu 1. Trong không gian với hệ tọa độ Oxyz, phương trình nào dưới đây là phương trình của đường thẳng đi qua A (2;3;0) và vuông góc với mặt phẳng (P): x + 3y − z + 5 = 0?
...........................................................................................
PHẦN II. (2 điểm) Câu trắc nghiệm đúng sai. Thí sinh trả lời từ câu 1 đến câu 2. Trong mỗi ý a), b), c), d) ở mỗi câu, thí sinh chọn đúng (Đ) hoặc sai (S).
Câu 1. Một ô tô đang di chuyển với tốc độ 20 m/s thì hãm phanh nên tốc độ (m/s) của xe thay đổi theo thời gian (giây) được tính theo công thức .
a) Quãng đường xe di chuyển từ khi hãm phanh đến khi dừng hẳn là 40 m.
b) Tốc độ trung bình của xe trong khoảng thời gian đó là 4 m/s.
c) Quãng đường của ô tô đi được tại thời điểm là 30 m.
d) Quãng đường xe di chuyển được biểu diễn bởi hàm số (m).
...........................................................................................
PHẦN III. (2 điểm) Câu trắc nghiệm trả lời ngắn. Thí sinh trả lời từ câu 1 đến câu 4.
Câu 1. Trong không gian với hệ tọa độ Oxyz cho ba điểm . Phương trình mặt phẳng đi qua và vuông góc với có phương trình là . Tính .
...........................................................................................
Phần IV. Tự luận. Thí sinh trả lời từ câu 1 đến câu 3.
...........................................................................................
B. Nội dung Đề thi giữa học kì 2 Toán 12 trường THPT Nguyễn Quốc Trinh (Hà Nội) năm 2024–2025







C. Chiến lược ôn thi Giữa kì 2 Toán 12 hiệu quả
Qua đề thi Giữa kì 2 Toán 12 trường THPT Nguyễn Quốc Trinh (Hà Nội) năm 2024–2025 trên, các em đã nắm được cấu trúc cũng như các dạng bài tập có trong đề thi. Cùng tham gia ôn luyện các Đề thi Giữa kì 2 Toán 12 theo cấu trúc mới nhất trên khoahoc.vietjack.com để ôn thi Toán 12 Giữa kì 2 đạt kết quả cao.