Đề thi Giữa kì 2 Toán 6 trường THCS Mai Dịch (Hà Nội) năm 2024–2025
Khoahoc.vietjack.com cập nhật Đề thi Giữa kì 2 Toán 6 trường THCS Mai Dịch, thành phố Hà Nội năm 2024 – 2025 sẽ giúp học sinh lớp 6 có thêm tài liệu ôn thi Toán 6 Giữa học kì 2. Mời các bạn đón đọc:
Xem thử Đề GK2 Toán 6 KNTTXem thử Đề GK2 Toán 6 CTSTXem thử Đề GK2 Toán 6 CD
Chỉ từ 150k mua trọn bộ Đề thi Giữa kì 2 Toán 6 (mỗi bộ sách) theo cấu trúc mới bản word có lời giải chi tiết:
A. Tóm tắt nội dung một số câu trong Đề thi Giữa kì 2 Toán 6
Bài 3. (1,5 điểm) Nhà bạn Đức bán hết 120 quả trứng trong ba ngày. Ngày thứ nhất bán được 7/15 số trứng.
a) Tính số trứng ngày thứ nhất bán được.
b) Biết rằng số trứng ngày thứ nhất bán được bằng 7/2 số trứng bán được trong ngày thứ hai. Tính số trứng bán được trong ngày thứ hai và ngày thứ ba?
Bài 4. (1,5 điểm) Cho hình vẽ:
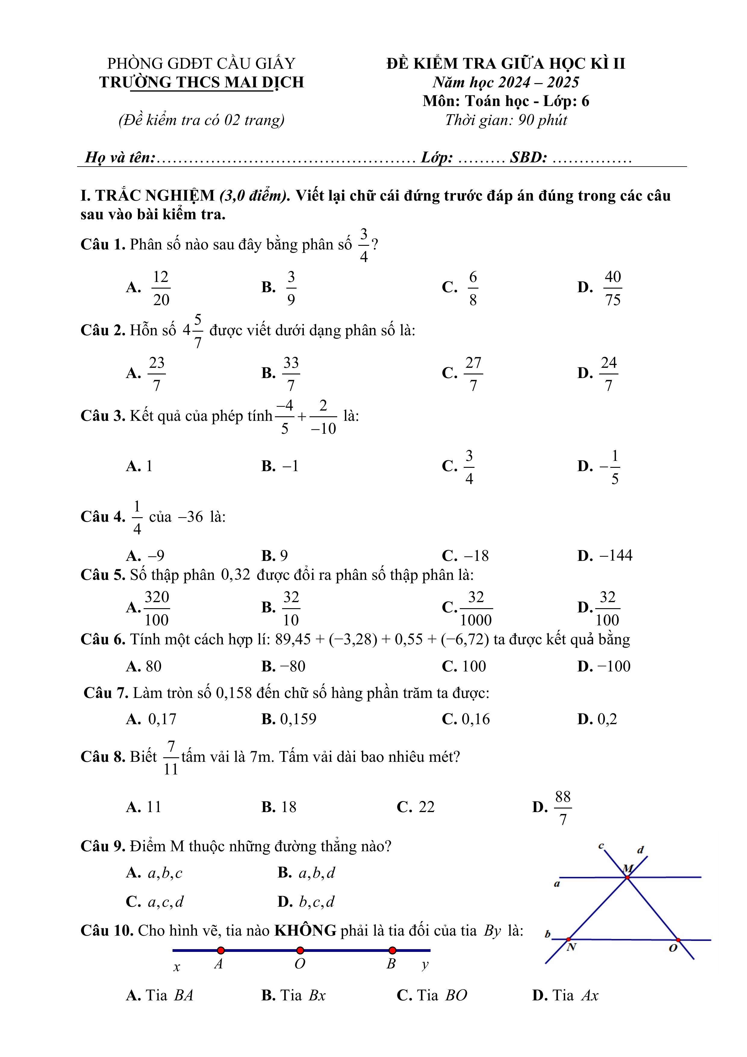
a) Kể tên các đoạn thẳng trong hình.
b) Kể tên hai tia đối gốc D.
c) Tính độ dài đoạn thẳng AD biết AB = 5cm; BD = 2cm.
B. Nội dung Đề thi giữa học kì 2 Toán 6 trường THCS Mai Dịch (Hà Nội) năm 2024–2025




C. Chiến lược ôn thi Giữa kì 2 Toán 6 hiệu quả
Qua đề thi Giữa kì 2 Toán 6 trường THCS Mai Dịch (Hà Nội) năm 2024–2025 trên, các em đã nắm được cấu trúc cũng như các dạng bài tập có trong đề thi. Cùng tham gia ôn luyện các Đề thi Giữa kì 2 Toán 6 theo cấu trúc mới nhất trên khoahoc.vietjack.com để ôn thi Toán 6 Giữa kì 2 đạt kết quả cao.