Đề thi Giữa kì 2 Toán 12 trường THPT Thanh Miện (Hải Dương) năm 2024–2025
Khoahoc.vietjack.com cập nhật Đề thi Giữa kì 2 Toán 12 trường THPT Thanh Miện, tỉnh Hải Dương năm 2024 – 2025 sẽ giúp học sinh lớp 12 có thêm tài liệu ôn thi Toán 12 Giữa học kì 2. Mời các bạn đón đọc:
Xem thử Đề thi GK2 Toán 12 KNTTXem thử Đề thi GK2 Toán 12 CTSTXem thử Đề thi GK2 Toán 12 CD
Chỉ từ 150k mua trọn bộ đề thi Toán 12 Giữa kì 2 theo cấu trúc mới bản word có lời giải chi tiết, dễ dàng chỉnh sửa:
A. Tóm tắt nội dung một số câu trong Đề thi Giữa kì 2 Toán 12
Phần I. Câu trắc nghiệm nhiều phương án lựa chọn. Thí sinh trả lời từ câu 1 đến câu 12. Mỗi câu hỏi thí sinh chỉ chọn một phương án.
Câu 3. Cho hàm số F(x) là một nguyên hàm của hàm số f(x) trên K. Các mệnh đề sau, mệnh đề nào sai.
Câu 12. Trong không gian Oxyz, cho mặt phẳng (P): 3x - y + 2z - 1 = 0. Vectơ nào dưới đây không phải là một vectơ pháp tuyến của (P)?
...........................................................................................
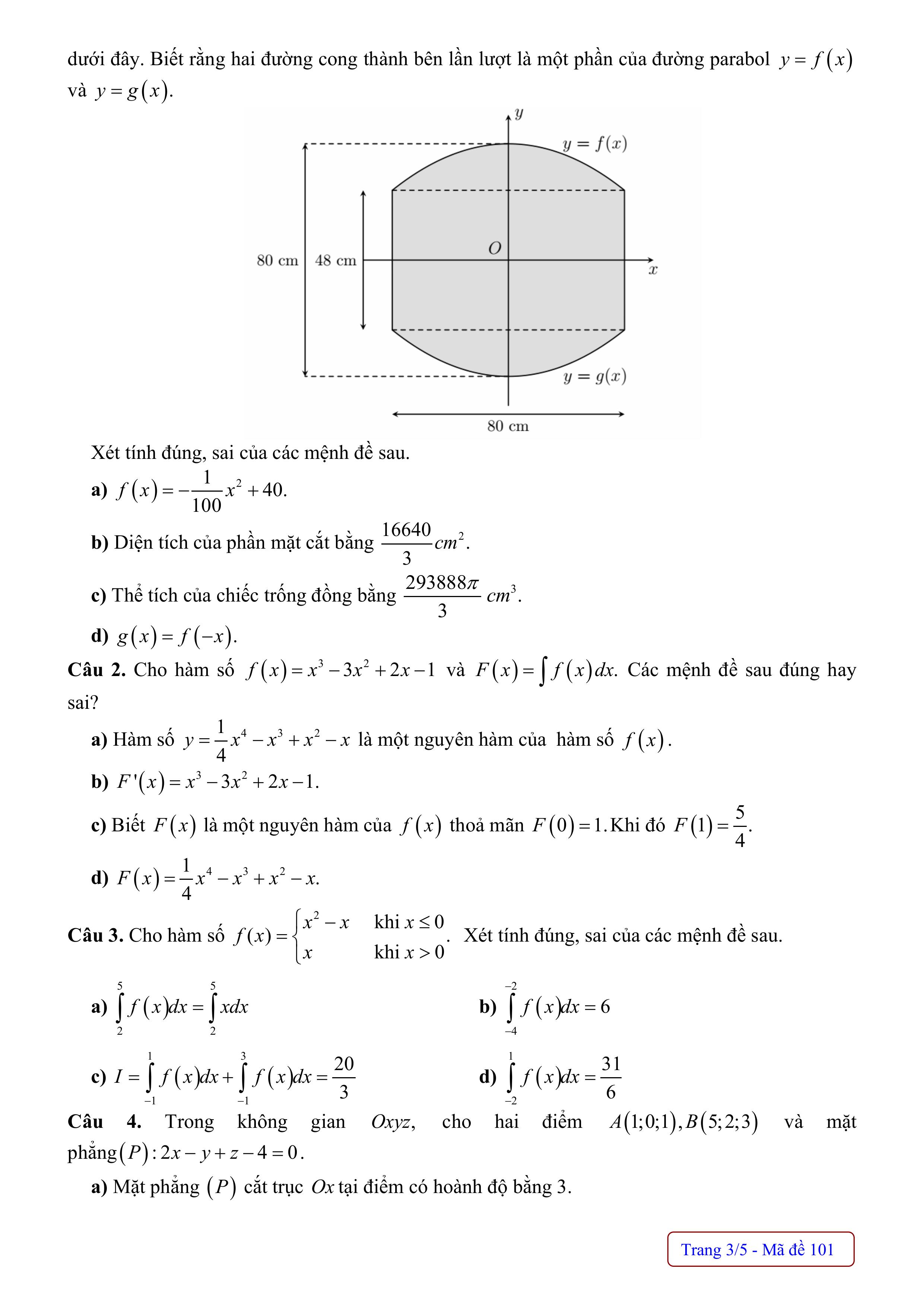
Phần II. Câu trắc nghiệm đúng sai. Thí sinh trả lời từ câu 1 đến câu 4. Trong mỗi ý a), b), c), d) ở mỗi câu, thí sinh chọn đúng hoặc sai.
...........................................................................................
Phần III. Câu trắc nghiệm yêu cầu trả lời ngắn. Thí sinh trả lời từ câu 1 đến câu 6.
Câu 6. Cho một mảnh vườn hình chữ nhật ABCD có chiều rộng là 2 m , chiều dài gấp ba chiều rộng. Người ta chia mảnh vườn bằng cách dùng hai đường parabol, mỗi đường parabol có đỉnh là trung điểm mỗi cạnh dài và đi qua hai mút của canh dài đối diện. Tính tỉ số diện tích phần mảnh vườn nằm ở miền trong hai parabol với diện tích phần còn lại. (kết quả làm tròn đến hàng phần trăm)
...........................................................................................
B. Nội dung Đề thi giữa học kì 2 Toán 12 trường THPT Thanh Miện (Hải Dương) năm 2024–2025












C. Chiến lược ôn thi Giữa kì 2 Toán 12 hiệu quả
Qua đề thi Giữa kì 2 Toán 12 trường THPT Thanh Miện (Hải Dương) năm 2024–2025 trên, các em đã nắm được cấu trúc cũng như các dạng bài tập có trong đề thi. Cùng tham gia ôn luyện các Đề thi Giữa kì 2 Toán 12 theo cấu trúc mới nhất trên khoahoc.vietjack.com để ôn thi Toán 12 Giữa kì 2 đạt kết quả cao.