Đề thi Giữa kì 2 Toán 12 trường THPT Thị xã Quảng Trị (Quảng Trị) năm 2024–2025
Khoahoc.vietjack.com cập nhật Đề thi Giữa kì 2 Toán 12 trường THPT Thị xã Quảng Trị, tỉnh Quảng Trị năm 2024 – 2025 sẽ giúp học sinh lớp 12 có thêm tài liệu ôn thi Toán 12 Giữa học kì 2. Mời các bạn đón đọc:
Xem thử Đề thi GK2 Toán 12 KNTTXem thử Đề thi GK2 Toán 12 CTSTXem thử Đề thi GK2 Toán 12 CD
Chỉ từ 150k mua trọn bộ đề thi Toán 12 Giữa kì 2 theo cấu trúc mới bản word có lời giải chi tiết, dễ dàng chỉnh sửa:
A. Tóm tắt nội dung một số câu trong Đề thi Giữa kì 2 Toán 12
Phần I (4 điểm). Câu hỏi trắc nghiệm nhiều phương án lựa chọn. Thí sinh trả lời từ câu 1 đến câu 16. Mỗi câu hỏi thí sinh chỉ chọn một phương án.
Câu 2. Trong không gian tọa độ Oxyz, phương trình nào sau đây là phương trình tổng quát của mặt phẳng?
Câu 3. Cho hình phẳng (H) giới hạn bởi đồ thị hai hàm số y = x^3 − x, y = 3x và hai đường thẳng x = 1, x = 3. Diện tích của (H) được tính bằng công thức
...........................................................................................
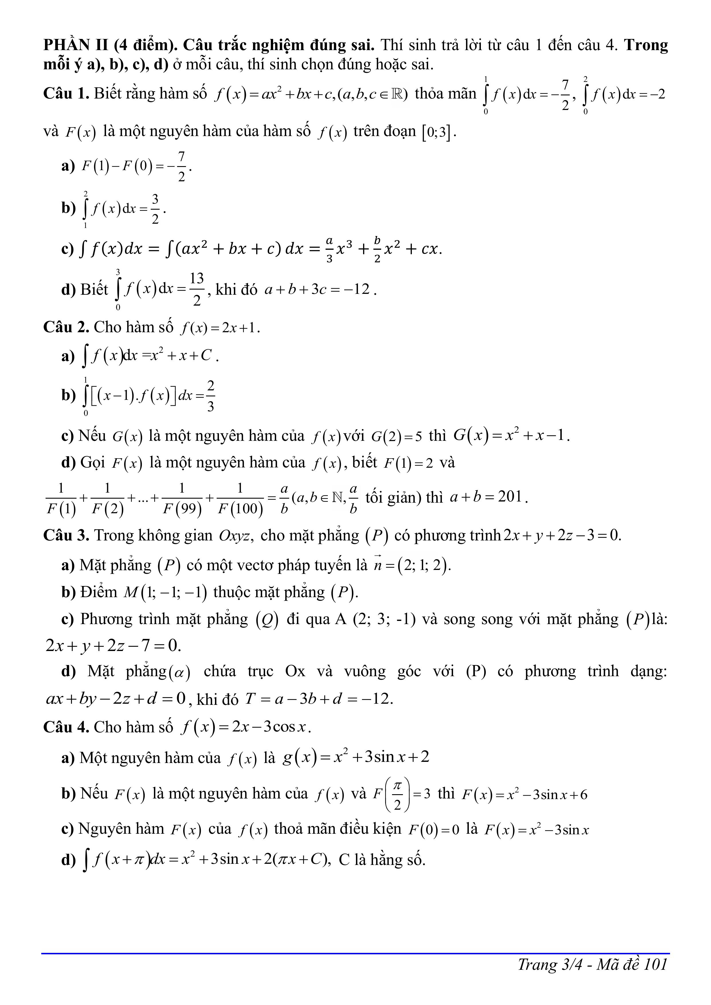
Phần II (4 điểm). Câu trắc nghiệm đúng sai. Thí sinh trả lời từ câu 1 đến câu 4. Trong mỗi ý a), b), c), d) ở mỗi câu, thí sinh chọn đúng hoặc sai.
Câu 3. Trong không gian Oxyz, cho mặt phẳng (P) có phương trình 2x + y + 2z − 3 = 0.
a) Mặt phẳng (P) có một vectơ pháp tuyến là n⃗ = (2; 1; 2).
b) Điểm M(1; −1; 1) thuộc mặt phẳng (P).
c) Phương trình mặt phẳng (Q) đi qua A(2; 3; −1) và song song với mặt phẳng (P) là: 2x + y + 2z − 7 = 0.
d) Mặt phẳng (α) chứa trục Ox và vuông góc với (P) có phương trình dạng: ax + by − 2z + d = 0, khi đó 7a − 3b + d = −12.
...........................................................................................
Phần III (2 điểm). Câu trắc nghiệm trả lời ngắn. Thí sinh trả lời từ câu 1 đến câu 4.
Câu 1 (0,5 điểm). Tính diện tích hình phẳng giới hạn bởi đồ thị các hàm số: y = −x^2 + 2x + 1, y = 2x^2 − 4x + 1.
...........................................................................................
B. Nội dung Đề thi giữa học kì 2 Toán 12 trường THPT Thị xã Quảng Trị (Quảng Trị) năm 2024–2025





C. Chiến lược ôn thi Giữa kì 2 Toán 12 hiệu quả
Qua đề thi Giữa kì 2 Toán 12 trường THPT Thị xã Quảng Trị (Quảng Trị) năm 2024–2025 trên, các em đã nắm được cấu trúc cũng như các dạng bài tập có trong đề thi. Cùng tham gia ôn luyện các Đề thi Giữa kì 2 Toán 12 theo cấu trúc mới nhất trên khoahoc.vietjack.com để ôn thi Toán 12 Giữa kì 2 đạt kết quả cao.