Đề thi Giữa kì 2 Toán 12 trường THPT chuyên Vị Thanh (Hậu Giang) năm 2024–2025
Khoahoc.vietjack.com cập nhật Đề thi Giữa kì 2 Toán 12 trường THPT chuyên Vị Thanh, tỉnh Hậu Giang năm 2024 – 2025 sẽ giúp học sinh lớp 12 có thêm tài liệu ôn thi Toán 12 Giữa học kì 2. Mời các bạn đón đọc:
Xem thử Đề thi GK2 Toán 12 KNTTXem thử Đề thi GK2 Toán 12 CTSTXem thử Đề thi GK2 Toán 12 CD
Chỉ từ 150k mua trọn bộ đề thi Toán 12 Giữa kì 2 theo cấu trúc mới bản word có lời giải chi tiết, dễ dàng chỉnh sửa:
A. Tóm tắt nội dung một số câu trong Đề thi Giữa kì 2 Toán 12
Phần 1. Câu trắc nghiệm nhiều phương án lựa chọn. Thí sinh trả lời từ câu 1 đến câu 12. Mỗi câu hỏi thí sinh chỉ chọn một phương án.
...........................................................................................
...........................................................................................
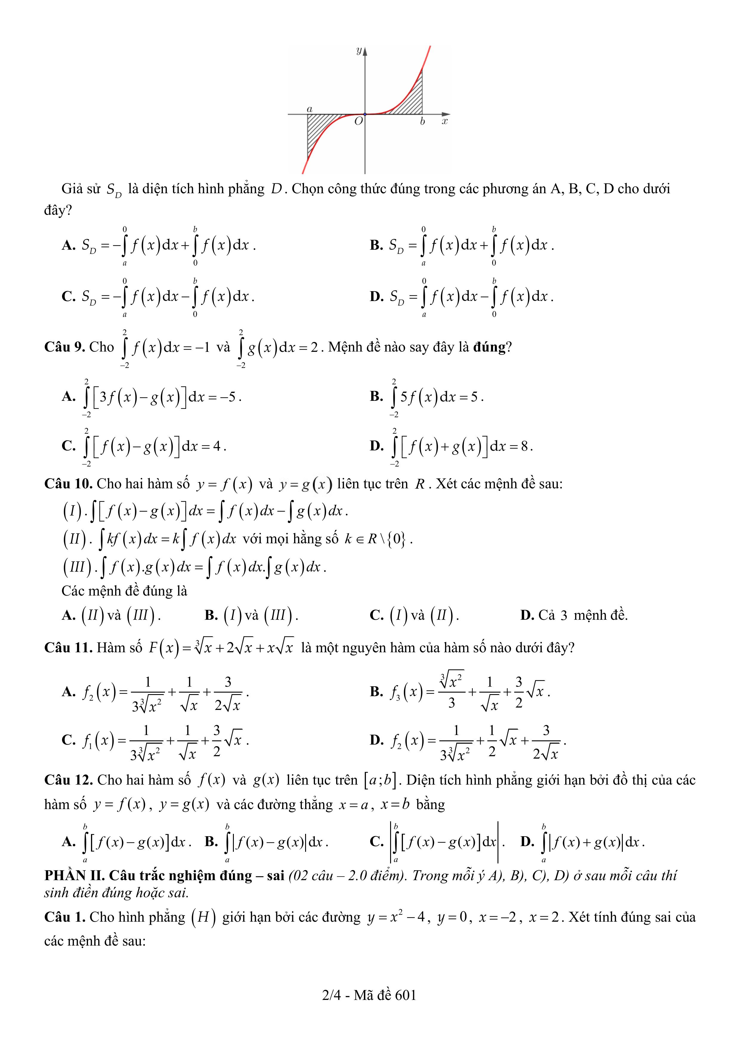
Phần 3. Câu hỏi trắc nghiệm trả lời ngắn. Thí sinh trả lời từ câu 15 đến câu 18.
Câu 15. Một khinh khí cầu bay với độ cao (so với mực nước biển) tại thời điểm t là h(t), trong đó t tính bằng phút, h(t) tính bằng mét. Vận tốc bay của khinh khí cầu được cho bởi hàm số v(t) = -0,12t^2 + 1,2t, với t tính bằng phút, v(t) tính bằng mét/phút. Tại thời điểm xuất phát (t = 0), khinh khí cầu ở độ cao 520 m. Tính độ cao tối đa của khinh khí cầu khi bay.
(Nguồn: A. Bigalke et al., Mathematik, Grundkurs ma – 1, Cornelsen 2016).
...........................................................................................
B. Nội dung Đề thi giữa học kì 2 Toán 12 trường THPT chuyên Vị Thanh (Hậu Giang) năm 2024–2025
















C. Chiến lược ôn thi Giữa kì 2 Toán 12 hiệu quả
Qua đề thi Giữa kì 2 Toán 12 trường THPT chuyên Vị Thanh (Hậu Giang) năm 2024–2025 trên, các em đã nắm được cấu trúc cũng như các dạng bài tập có trong đề thi. Cùng tham gia ôn luyện các Đề thi Giữa kì 2 Toán 12 theo cấu trúc mới nhất trên khoahoc.vietjack.com để ôn thi Toán 12 Giữa kì 2 đạt kết quả cao.