Đề thi Học kì 2 Toán 12 trường THPT Thanh Khê (Đà Nẵng) năm 2024–2025
Khoahoc.vietjack.com cập nhật Đề thi Học kì 2 Toán 12 trường THPT Thanh Khê, tỉnh/thành phố Đà Nẵng năm 2024 – 2025 sẽ giúp học sinh lớp 12 có thêm tài liệu ôn thi Toán 12 Cuối kì 2. Mời các bạn đón đọc:
Xem thử Đề thi CK2 Toán 12 KNTTXem thử Đề thi CK2 Toán 12 CTST Xem thử Đề thi CK2 Toán 12 CD
Chỉ từ 150k mua trọn bộ đề thi Toán 12 Học kì 2 theo cấu trúc mới bản word có lời giải chi tiết, dễ dàng chỉnh sửa:
A. Tóm tắt nội dung một số câu trong Đề thi Học kì 2 Toán 12
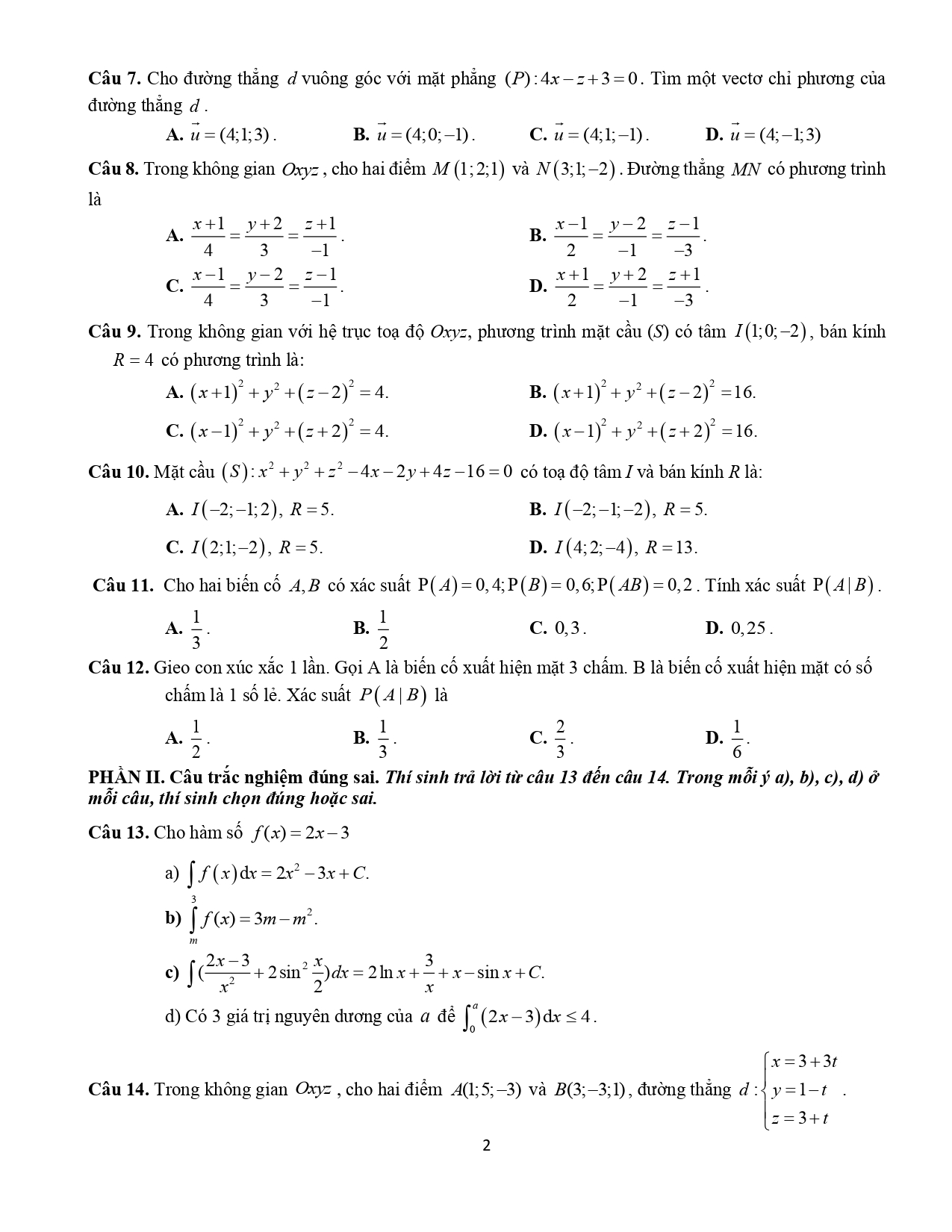
(Thí sinh trả lời từ câu 1 đến câu 12. Mỗi câu hỏi thí sinh chỉ chọn một phương án đúng nhất)
Câu 1. Nguyên hàm của hàm số y x x = + sin 2cos là
A. cosx - 2sinx + C.
B. -cosx - 2sinx + C.
C. cosx + 2sinx + C.
D. -cosx - 2sinx - C.
...........................................................................................
...........................................................................................
Câu 18. Trong một công viên cây xanh có 70% cây có hoa, số cây phượng vĩ chiếm 6,3% trong tổng số cây của công viên. Trong giờ thực hành ngoài trời, nhóm học sinh của lớp 12/1 chọn một cây trong công viên để đo chiều cao. Tính xác suất để cây được chọn là cây phượng vĩ, biết rằng cây được chọn là loài cây có hoa.
...........................................................................................
Câu 20. Cổng trường Đại học Bách Khoa Hà Nội có hình dạng parabol, chiều rộng 8 m , chiều cao 12,5 m. Diện tích của cổng bằng bao nhiêu?
...........................................................................................
B. Nội dung Đề thi học kì 2 Toán 12 trường THPT Thanh Khê (Đà Nẵng) năm 2024–2025











