Đề thi tuyển sinh Toán vào lớp 10 năm 2025-2026 sở GD&ĐT Hải Dương
Khoahoc.vietjack.com cập nhật Đề thi tuyển sinh Toán vào lớp 10 năm 2025-2026 sở GD&ĐT Hải Dương sẽ giúp học sinh nắm được cấu trúc đề thi và có thêm tài liệu ôn thi vào lớp 10 môn Toán. Mời các bạn đón đọc:
- Bộ đề thi Toán vào 10 năm 2025 có đầy đủ lời giải chi tiết:
Xem thử Bộ đề thi thử vào 10 Toán 2025Xem thử Bộ đề thi vào 10 Toán 2025 Xem thử Chuyên đề Toán ôn vào 10
- Bộ đề thi vào 10 môn Toán Hà Nội, Tp.HCM, Đà Nẵng gồm 8 đề thi CHÍNH THỨC từ năm 2015 → 2024 có lời giải chi tiết giúp Giáo viên có thêm tài liệu ôn thi Toán vào 10 Hà Nội, Tp.HCM, Đà Nẵng:
Xem thử Đề vào 10 Hà NộiXem thử Đề vào 10 TP.HCMXem thử Đề vào 10 Đà Nẵng
Chỉ từ 150k mua trọn bộ Đề ôn thi vào 10 môn Toán năm 2026 theo cấu trúc mới bản word có lời giải chi tiết:
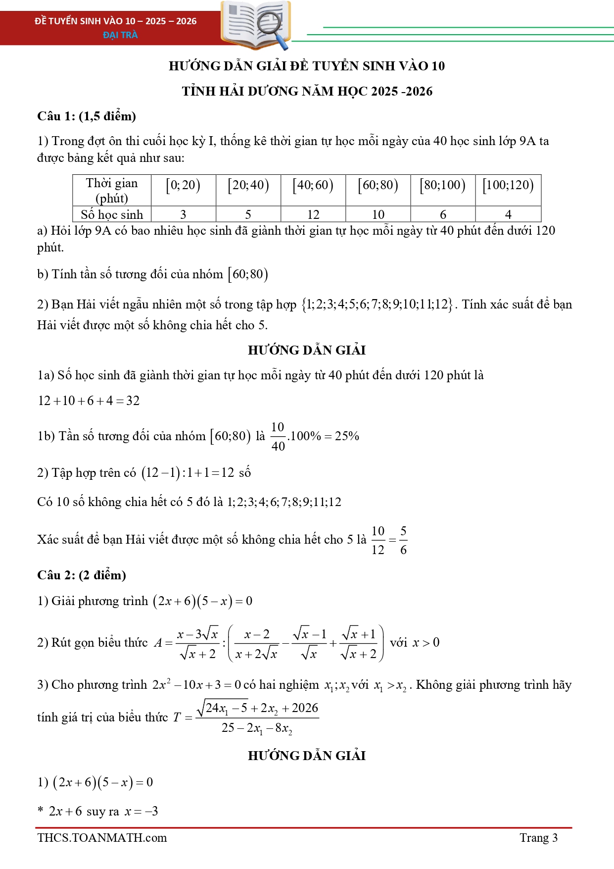
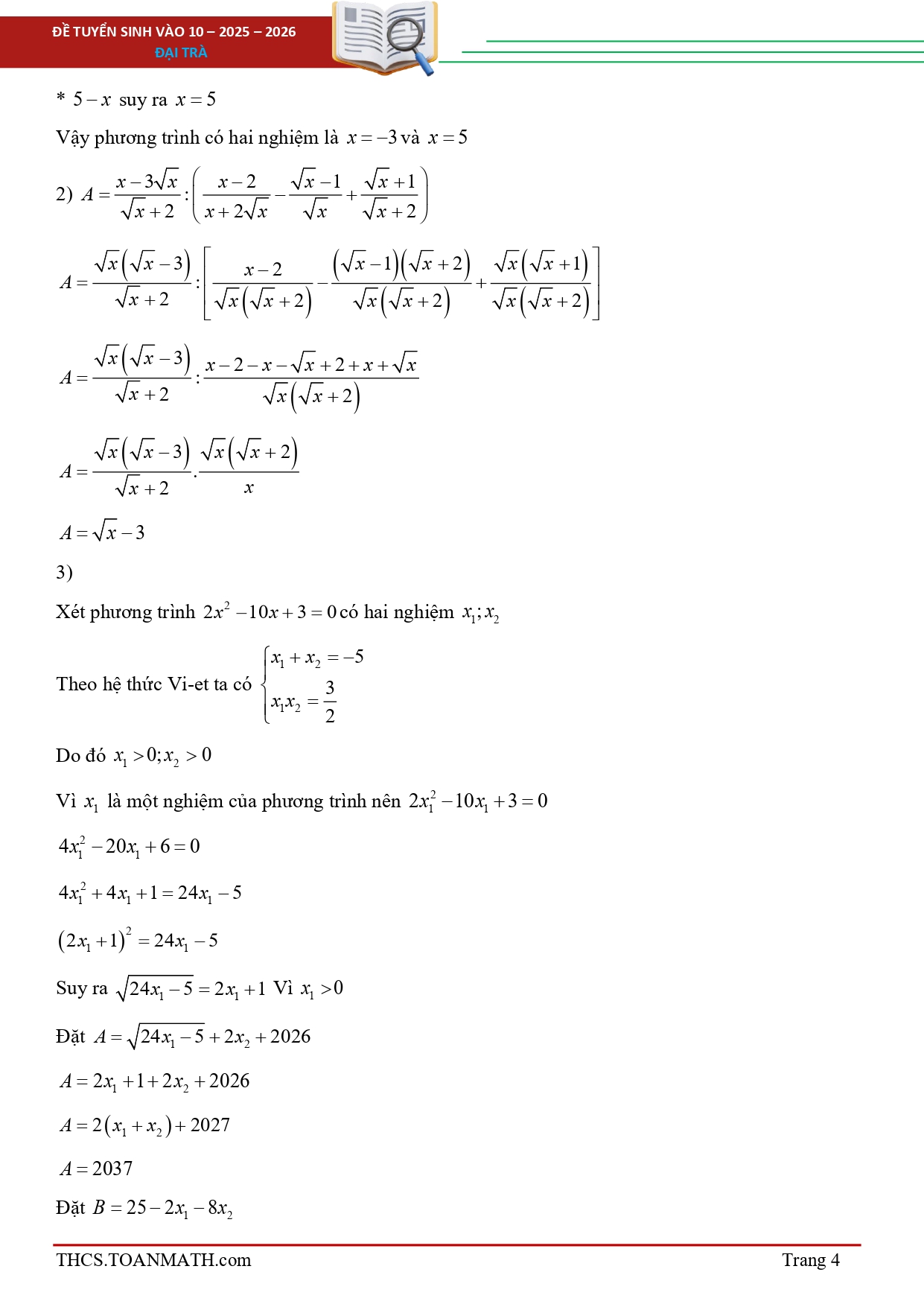
A. Tóm tắt nội dung một số câu trong Đề thi Toán vào lớp 10
Câu 3. (2,0 điểm)
1) Tháng thứ nhất, hai tổ công nhân A và B của một xưởng may sản xuất được 900 áo sơ mi. Tháng thứ hai, tổ A sản xuất vượt mức 25% và tổ B sản xuất vượt mức 20% so với tháng thứ nhất do đó cả hai tổ sản xuất được 1100 áo sơ mi. Hỏi tháng thứ nhất, mỗi tổ công nhân sản xuất được bao nhiêu áo sơ mi ?
2) Một đội xe ban đầu dự định dùng một số xe để vận chuyển hết 360 tấn hàng. Tuy nhiên khi thực hiện, có 5 xe được điều đi nơi khác nên mỗi xe còn lại phải chở thêm 6 tấn hàng so với ban đầu. Hỏi ban đầu đội dự định dùng bao nhiêu xe để vận chuyển? Biết rằng mỗi xe đều chở khối lượng hàng như nhau.
Câu 6. (0,5 điểm)
Một trang trại trồng rau sạch, mỗi tháng thu hoạch được 1,5 tấn. Nếu bán 1 kg rau với giá 20 000 đồng thì số rau thu hoạch được bán hết. Khi bán với giá cao hơn 20.000 đồng cho 1 kg thì không bán hết 1,5 tấn rau đã thu hoạch. Biết rằng cứ mỗi lần tăng giá bán thêm 1000 đồng cho 1 kg, số rau thừa lại tăng thêm 30 kg. Số rau thừa này được một cơ sở chăn nuôi gia súc thu mua với giá 6000 đồng cho 1 kg. Hỏi mỗi tháng số tiền bán rau lớn nhất mà trang trại thu được là bao nhiêu nghìn đồng ?
...........................................................................................
B. Nội dung Đề thi Toán vào lớp 10 năm 2025 - 2026 sở GD&ĐT Hải Dương









C. Chiến lược ôn thi vào 10 môn Toán hiệu quả
Qua đề thi tuyển sinh Toán vào lớp 10 năm 2025-2026 sở GD&ĐT Hải Dương trên, các em đã nắm được cấu trúc cũng như các dạng bài tập có trong đề thi. Cùng tham gia ôn luyện các Đề thi Toán vào lớp 10 mới nhất trên khoahoc.vietjack.com để ôn thi Toán đạt kết quả cao.
TÀI LIỆU LIÊN QUAN
Mở khóa kho tài liệu VIP cực lớn!
Không giới hạn lượt tải, xem tài liệu độc quyền từ các giáo viên hàng đầu.
Nâng cấp ngay