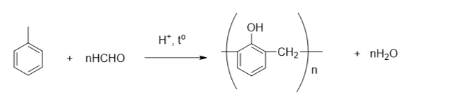
Nhựa phenol formaldehyde được điều chế bằng cách đun nóng phenol (dư) với dung dịch
Câu hỏi trong đề: Bài tập ôn tập Hóa 12 Kết nối tri thức Chương 4 có đáp án !!
Quảng cáo
Trả lời:
Hướng dẫn giải:
Đáp án đúng là: A
Phương trình phản ứng hóa học:

Hot: 1000+ Đề thi giữa kì 2 file word cấu trúc mới 2026 Toán, Văn, Anh... lớp 1-12 (chỉ từ 60k). Tải ngay
- Sổ tay Hóa học 12 (chương trình mới) ( 18.000₫ )
- 20 Bộ đề, Tổng ôn, sổ tay, 1200 câu lý thuyết môn Hóa học (có đáp án chi tiết) ( 60.000₫ )
- Sổ tay lớp 12 các môn Toán, Lí, Hóa, Văn, Sử, Địa, KTPL (chương trình mới) ( 36.000₫ )
- Bộ đề thi tốt nghiệp 2025 các môn Toán, Lí, Hóa, Văn, Anh, Sinh, Sử, Địa, KTPL (có đáp án chi tiết) ( 36.000₫ )
CÂU HỎI HOT CÙNG CHỦ ĐỀ
Câu 1
Lời giải
Hướng dẫn giải:
Đáp án đúng là: C
Khi trùng hợp buta-1,3-diene (CH2=CH−CH=CH2) với acrylonitrile(CN−CH=CH2) thu được cao su Buna-N.

Lời giải
Hướng dẫn giải
a. Đúng. Sự khác biệt cơ bản giữa hai phản ứng điều chế polymer là: phản ứng trùng ngưng có tạo ra các phân tử nhỏ, còn trùng hợp thì không tạo ra các phân tử nhỏ.
b. Đúng. Poly(vinyl acetate) được dùng để chế tạo sơn, keo dán. Để thu được 8,6 kg keo dán chứa 80% poly(vinyl acetate) hiệu suất quá trình trùng hợp là 80% cần khối lượng vinyl acetate là: \({m_{vinylacetate}} = \frac{{8,6.0,8}}{{0,8}} = 8,6kg.\)
c. Đúng. Nylon-6,6 được sử dụng phổ biến trong ngành dệt may và được điều chế từ phản ứng trùng ngưng.
d. Sai. Do cao su tự nhiên là polyisoprene.
Lời giải
Bạn cần đăng ký gói VIP ( giá chỉ từ 199K ) để làm bài, xem đáp án và lời giải chi tiết không giới hạn.
Câu 4
Lời giải
Bạn cần đăng ký gói VIP ( giá chỉ từ 199K ) để làm bài, xem đáp án và lời giải chi tiết không giới hạn.
Câu 5
Lời giải
Bạn cần đăng ký gói VIP ( giá chỉ từ 199K ) để làm bài, xem đáp án và lời giải chi tiết không giới hạn.
Lời giải
Bạn cần đăng ký gói VIP ( giá chỉ từ 199K ) để làm bài, xem đáp án và lời giải chi tiết không giới hạn.
Lời giải
Bạn cần đăng ký gói VIP ( giá chỉ từ 199K ) để làm bài, xem đáp án và lời giải chi tiết không giới hạn.

