Dãy gồm các chất được dùng để tổng hợp cao su Buna-S là
Dãy gồm các chất được dùng để tổng hợp cao su Buna-S là
Câu hỏi trong đề: Bài tập ôn tập Hóa 12 Kết nối tri thức Chương 4 có đáp án !!
Quảng cáo
Trả lời:
Hướng dẫn giải:
Đáp án đúng là: B
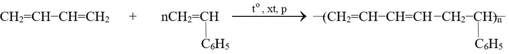
Khi trùng hợp buta-1,3-diene (CH2=CH−CH=CH2) với styrene (C6H5CH=CH2) thu được cao su Buna-S:

Hot: 1000+ Đề thi giữa kì 2 file word cấu trúc mới 2026 Toán, Văn, Anh... lớp 1-12 (chỉ từ 60k). Tải ngay
- 20 Bộ đề, Tổng ôn, sổ tay, 1200 câu lý thuyết môn Hóa học (có đáp án chi tiết) ( 60.000₫ )
- Sổ tay Hóa học 12 (chương trình mới) ( 18.000₫ )
- Sổ tay lớp 12 các môn Toán, Lí, Hóa, Văn, Sử, Địa, KTPL (chương trình mới) ( 36.000₫ )
- Tổng ôn lớp 12 môn Toán, Lí, Hóa, Văn, Anh, Sinh Sử, Địa, KTPL (Form 2025) ( 36.000₫ )
CÂU HỎI HOT CÙNG CHỦ ĐỀ
Câu 1
Lời giải
Hướng dẫn giải:
Đáp án đúng là: C
Khi trùng hợp buta-1,3-diene (CH2=CH−CH=CH2) với acrylonitrile(CN−CH=CH2) thu được cao su Buna-N.

Lời giải
Hướng dẫn giải
a. Đúng, PPF là nhựa nhiệt rắn, khi đun nóng không nóng chảy mà bị phân hủy.
b. Sai, phản ứng trùng hợp giữa phenol (lấy dư) và fomaldehyde trong môi trường acid sẽ tạo nhựa novolac.
c. Đúng, nhóm -OH phenol định hướng ortho và para nên sản phẩm là hydroxymetyl phenol.
d. Đúng, 240 mắt xích như hình có phân tử khối = 240.106 = 25440
Câu 3
Lời giải
Bạn cần đăng ký gói VIP ( giá chỉ từ 199K ) để làm bài, xem đáp án và lời giải chi tiết không giới hạn.
Lời giải
Bạn cần đăng ký gói VIP ( giá chỉ từ 199K ) để làm bài, xem đáp án và lời giải chi tiết không giới hạn.
Lời giải
Bạn cần đăng ký gói VIP ( giá chỉ từ 199K ) để làm bài, xem đáp án và lời giải chi tiết không giới hạn.
Câu 6
Lời giải
Bạn cần đăng ký gói VIP ( giá chỉ từ 199K ) để làm bài, xem đáp án và lời giải chi tiết không giới hạn.
Lời giải
Bạn cần đăng ký gói VIP ( giá chỉ từ 199K ) để làm bài, xem đáp án và lời giải chi tiết không giới hạn.

