Terephthalic acid là chất rắn màu trắng, tiền thân của polyester PET, được sử dụng để sản xuất quần áo và chai nhựa. Quá trình tổng hợp terephthalic từ p-xylene theo sơ đồ sau:

Có bao nhiêu phân tử oxygen đã phản ứng với 1 phân tử p-xylene trong phản ứng trên?
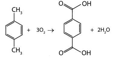
Terephthalic acid là chất rắn màu trắng, tiền thân của polyester PET, được sử dụng để sản xuất quần áo và chai nhựa. Quá trình tổng hợp terephthalic từ p-xylene theo sơ đồ sau:

Có bao nhiêu phân tử oxygen đã phản ứng với 1 phân tử p-xylene trong phản ứng trên?
Quảng cáo
Trả lời:
Hướng dẫn giải
Đáp án đúng là: 3.
Có 3 phân tử oxygen đã phản ứng với 1 phân tử p-xylene.

Hot: 1000+ Đề thi giữa kì 1 file word cấu trúc mới 2025 Toán, Văn, Anh... lớp 1-12 (chỉ từ 60k). Tải ngay
- 20 Bộ đề, Tổng ôn, sổ tay, 1200 câu lý thuyết môn Hóa học (có đáp án chi tiết) ( 60.000₫ )
- 20 đề thi tốt nghiệp môn Hóa học (có đáp án chi tiết) ( 45.000₫ )
- Sổ tay lớp 12 các môn Toán, Lí, Hóa, Văn, Sử, Địa, KTPL (chương trình mới) ( 36.000₫ )
- Bộ đề thi tốt nghiệp 2025 các môn Toán, Lí, Hóa, Văn, Anh, Sinh, Sử, Địa, KTPL (có đáp án chi tiết) ( 36.000₫ )
CÂU HỎI HOT CÙNG CHỦ ĐỀ
Lời giải
Hướng dẫn giải
Đáp án đúng là: A
Công thức của poly(methyl metacrylate) là:

Khối lượng của 1 mắt xích là 100.
Số mắt xích trong phân tử là: \(\frac{{42500}}{{100}} = 425\).
Lời giải
Hướng dẫn giải
Đáp án đúng là: 1,1.
Sơ đồ: x styrene (\({C_6}{H_5} - CH = C{H_2}\)) + y ethylene (\(C{H_2} = C{H_2}\)) → copolymer
% C = \(\frac{{(8x + 2y).12}}{{104x + 28y}}.100\% = 91,0\% \) ⇒ 136x = 148y → \(\frac{x}{y} \approx 1,1\)
Câu 3
Lời giải
Bạn cần đăng ký gói VIP ( giá chỉ từ 199K ) để làm bài, xem đáp án và lời giải chi tiết không giới hạn.
Câu 4
Lời giải
Bạn cần đăng ký gói VIP ( giá chỉ từ 199K ) để làm bài, xem đáp án và lời giải chi tiết không giới hạn.
Lời giải
Bạn cần đăng ký gói VIP ( giá chỉ từ 199K ) để làm bài, xem đáp án và lời giải chi tiết không giới hạn.
Lời giải
Bạn cần đăng ký gói VIP ( giá chỉ từ 199K ) để làm bài, xem đáp án và lời giải chi tiết không giới hạn.
Câu 7
Lời giải
Bạn cần đăng ký gói VIP ( giá chỉ từ 199K ) để làm bài, xem đáp án và lời giải chi tiết không giới hạn.