Dãy gồmcác chất được dùng để tổng hợp cao su Buna-S là
CH2=C(CH3)−CH=CH2,C6H5CH=CH2.
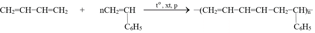
CH2=CH−CH=CH2,C6H5CH=CH2.
CH2=CH−CH=CH2,lưuhuỳnh.
D. CH2=CH−CH=CH2,CH3−CH=CH2.
Quảng cáo
Trả lời:
Đáp án đúng là: B
Khi trùng hợp buta-1,3-diene (CH2=CH−CH=CH2) với styrene (C6H5CH=CH2) thu được cao suBuna-S:

Hot: 1000+ Đề thi giữa kì 1 file word cấu trúc mới 2025 Toán, Văn, Anh... lớp 1-12 (chỉ từ 60k). Tải ngay
CÂU HỎI HOT CÙNG CHỦ ĐỀ
Lời giải
a. Đúng. Sự khác biệt cơ bản giữa hai phản ứng điều chế polymer là: phản ứng trùng ngưng có tạo ra các phân tử nhỏ, còn trùng hợp thì không tạo ra các phân tử nhỏ.
b. Đúng. Poly(vinyl acetate) được dùng để chế tạo sơn, keo dán. Để thu được 8,6 kg keo dán chứa 80% poly(vinyl acetate) hiệu suất quá trình trùng hợp là 80% cần khối lượng vinyl acetate là: 
c. Đúng. Nylon-6,6 được sử dụng phổ biến trong ngành dệt may và được điều chế từ phản ứng trùng ngưng.
d. Sai. Do cao su tự nhiên là polyisoprene.
Lời giải
Đáp án đúng là: 1
Chỉ có nylon – 6,6 được điều chế bằng phản ứng trùng ngưng.
Lời giải
Bạn cần đăng ký gói VIP ( giá chỉ từ 199K ) để làm bài, xem đáp án và lời giải chi tiết không giới hạn.
Lời giải
Bạn cần đăng ký gói VIP ( giá chỉ từ 199K ) để làm bài, xem đáp án và lời giải chi tiết không giới hạn.
Lời giải
Bạn cần đăng ký gói VIP ( giá chỉ từ 199K ) để làm bài, xem đáp án và lời giải chi tiết không giới hạn.
Lời giải
Bạn cần đăng ký gói VIP ( giá chỉ từ 199K ) để làm bài, xem đáp án và lời giải chi tiết không giới hạn.
Lời giải
Bạn cần đăng ký gói VIP ( giá chỉ từ 199K ) để làm bài, xem đáp án và lời giải chi tiết không giới hạn.
