Dãy gồmcác chất được dùng để tổng hợp cao su Buna-S là
CH2=C(CH3)−CH=CH2,C6H5CH=CH2.
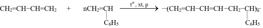
CH2=CH−CH=CH2,C6H5CH=CH2.
CH2=CH−CH=CH2, lưuhuỳnh.
Câu hỏi trong đề: Bài tập ôn tập Hóa 12 Cánh diều Chủ đề 4 có đáp án !!
Quảng cáo
Trả lời:
Đáp án đúng là: B
Khi trùng hợp buta-1,3-diene (CH2=CH−CH=CH2) với styrene (C6H5CH=CH2) thu được cao suBuna-S:

Hot: 1000+ Đề thi cuối kì 1 file word cấu trúc mới 2025 Toán, Văn, Anh... lớp 1-12 (chỉ từ 60k). Tải ngay
- Sổ tay Hóa học 12 (chương trình mới) ( 18.000₫ )
- 20 đề thi tốt nghiệp môn Hóa học (có đáp án chi tiết) ( 45.000₫ )
- Sổ tay lớp 12 các môn Toán, Lí, Hóa, Văn, Sử, Địa, KTPL (chương trình mới) ( 36.000₫ )
- Bộ đề thi tốt nghiệp 2025 các môn Toán, Lí, Hóa, Văn, Anh, Sinh, Sử, Địa, KTPL (có đáp án chi tiết) ( 36.000₫ )
CÂU HỎI HOT CÙNG CHỦ ĐỀ
Lời giải
Đáp án đúng là: 1
Chỉ có nylon – 6,6 được điều chế bằng phản ứng trùng ngưng.
Lời giải
a. Đúng, PPF là nhựa nhiệt rắn, khi đun nóng không nóng chảy mà bị phân hủy.
b. Sai, phản ứng trùng hợp giữa phenol (lấy dư) và fomaldehyde trong môi trường acid sẽ tạo nhựa novolac.
c. Đúng, nhóm -OH phenol định hướng ortho và para nên sản phẩm là hydroxymetyl phenol.
d. Đúng, 240 mắt xích như hình có phân tử khối = 240.106 = 25440
Câu 3
Poly(vinyl chloride) và nylon-6,6.
Poly(methyl metacrylate) và poly(phenol-formaldehyde).
Capron và nylon-6,6.
Polyethylene và poly(phenol-formaldehyde).
Lời giải
Bạn cần đăng ký gói VIP ( giá chỉ từ 199K ) để làm bài, xem đáp án và lời giải chi tiết không giới hạn.
Lời giải
Bạn cần đăng ký gói VIP ( giá chỉ từ 199K ) để làm bài, xem đáp án và lời giải chi tiết không giới hạn.
Lời giải
Bạn cần đăng ký gói VIP ( giá chỉ từ 199K ) để làm bài, xem đáp án và lời giải chi tiết không giới hạn.
Câu 6
Phản ứng cắt mạch polymer.
Phản ứng tăng mạch polymer.
Phản ứng giữ nguyên mạch polymer.
Phản ứng biến đổi mạch polymer.
Lời giải
Bạn cần đăng ký gói VIP ( giá chỉ từ 199K ) để làm bài, xem đáp án và lời giải chi tiết không giới hạn.
Lời giải
Bạn cần đăng ký gói VIP ( giá chỉ từ 199K ) để làm bài, xem đáp án và lời giải chi tiết không giới hạn.

