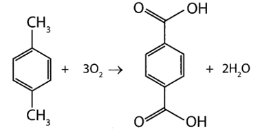
Terephthalic acid là chất rắn màu trắng, tiền thân của polyester PET, được sử dụng để sản xuất quần áo và chai nhựa. Quá trình tổng hợp terephthalic từ p-xylene theo sơ đồ sau:

Có bao nhiêu phân tử oxygen đã phản ứng với 1 phân tử p-xylene trong phản ứng trên?
Quảng cáo
Trả lời:
Đáp án đúng là: 3.
Có 3 phân tử oxygen đã phản ứng với 1 phân tử p-xylene.

Hot: 1000+ Đề thi giữa kì 1 file word cấu trúc mới 2025 Toán, Văn, Anh... lớp 1-12 (chỉ từ 60k). Tải ngay
CÂU HỎI HOT CÙNG CHỦ ĐỀ
Lời giải
a. Đúng. Sự khác biệt cơ bản giữa hai phản ứng điều chế polymer là: phản ứng trùng ngưng có tạo ra các phân tử nhỏ, còn trùng hợp thì không tạo ra các phân tử nhỏ.
b. Đúng. Poly(vinyl acetate) được dùng để chế tạo sơn, keo dán. Để thu được 8,6 kg keo dán chứa 80% poly(vinyl acetate) hiệu suất quá trình trùng hợp là 80% cần khối lượng vinyl acetate là: 
c. Đúng. Nylon-6,6 được sử dụng phổ biến trong ngành dệt may và được điều chế từ phản ứng trùng ngưng.
d. Sai. Do cao su tự nhiên là polyisoprene.
Lời giải
a. Đúng. Công thức cấu tạo của methyl methacrylate là CH2 = C(CH3)COOCH3.
b. Sai. Phản ứng tổng hợp PMMA từ methyl methacrylate thuộc loại phản ứng trùng hợp.
c. Sai. %C = 
d. Đúng.
Lời giải
Bạn cần đăng ký gói VIP ( giá chỉ từ 199K ) để làm bài, xem đáp án và lời giải chi tiết không giới hạn.
Lời giải
Bạn cần đăng ký gói VIP ( giá chỉ từ 199K ) để làm bài, xem đáp án và lời giải chi tiết không giới hạn.
Lời giải
Bạn cần đăng ký gói VIP ( giá chỉ từ 199K ) để làm bài, xem đáp án và lời giải chi tiết không giới hạn.
Lời giải
Bạn cần đăng ký gói VIP ( giá chỉ từ 199K ) để làm bài, xem đáp án và lời giải chi tiết không giới hạn.
) và methanol có thể điều chế được methyl methacrylate.