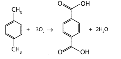
Terephthalic acid là chất rắn màu trắng, tiền thân của polyester PET, được sử dụng để sản xuất quần áo và chai nhựa. Quá trình tổng hợp terephthalic từ p-xylene theo sơ đồ sau:

Có bao nhiêu phân tử oxygen đã phản ứng với 1 phân tử p-xylene trong phản ứng trên?
Câu hỏi trong đề: Đề kiểm tra Hóa 12 Cánh diều Chủ đề 4 có đáp án !!
Quảng cáo
Trả lời:
Đáp án đúng là: 3.
Có 3 phân tử oxygen đã phản ứng với 1 phân tử p-xylene.

Hot: 1000+ Đề thi giữa kì 1 file word cấu trúc mới 2025 Toán, Văn, Anh... lớp 1-12 (chỉ từ 60k). Tải ngay
CÂU HỎI HOT CÙNG CHỦ ĐỀ
Lời giải
Đáp án đúng là: A
Công thức của poly(methyl metacrylate) là:

Khối lượng của 1 mắt xích là 100.
Số mắt xích trong phân tử là:
.
Câu 2
PVC.
PET.
Cao su buna.
Teflon.
Lời giải
Đáp án đúng là: B
PET (Polyethylene Terephthalate) được điều chế bằng phản ứng trùng ngưng.
Lời giải
Bạn cần đăng ký gói VIP ( giá chỉ từ 199K ) để làm bài, xem đáp án và lời giải chi tiết không giới hạn.
Câu 4
mắt xích.
monomer.
hệ số polymer hóa.
hệ số trùng hợp.
Lời giải
Bạn cần đăng ký gói VIP ( giá chỉ từ 199K ) để làm bài, xem đáp án và lời giải chi tiết không giới hạn.
Lời giải
Bạn cần đăng ký gói VIP ( giá chỉ từ 199K ) để làm bài, xem đáp án và lời giải chi tiết không giới hạn.
Câu 6
A. polymethylene.
B. polyethylene.
Lời giải
Bạn cần đăng ký gói VIP ( giá chỉ từ 199K ) để làm bài, xem đáp án và lời giải chi tiết không giới hạn.
Lời giải
Bạn cần đăng ký gói VIP ( giá chỉ từ 199K ) để làm bài, xem đáp án và lời giải chi tiết không giới hạn.