Cho hàm số \(f\left( x \right)\) thỏa mãn \(f'\left( x \right) = a{x^2} + \frac{b}{{{x^3}}},f'\left( 1 \right) = 3,f\left( 1 \right) = 2,f\left( {\frac{1}{2}} \right) = - \frac{1}{{12}}\). Khi đó \(2a + b\) bằng
Quảng cáo
Trả lời:
Đáp án
5.
Giải thích
Ta có \(f'\left( 1 \right) = 3 \Rightarrow a + b = 3\) (1).
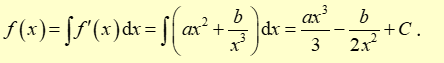
Hàm số có đạo hàm liên tục trên khoảng \(\left( {0; + \infty } \right)\), các điểm \(x = 1,x = \frac{1}{2}\) đều thuộc \(\left( {0; + \infty } \right)\) nên

+ \(f\left( 1 \right) = 2 \Rightarrow \frac{a}{3} - \frac{b}{2} + C = 2\) (2).
+ \(f\left( {\frac{1}{2}} \right) = - \frac{1}{{12}} \Rightarrow \frac{a}{{24}} - 2b + C = - \frac{1}{{12}}\) (3).
Từ (1), (2) và (3) ta được hệ phương trình \(\left\{ {\begin{array}{*{20}{l}}{a + b = 3}\\{\frac{a}{3} - \frac{b}{2} + C = 2}\\{\frac{a}{{24}} - 2b + C = - \frac{1}{{12}}}\end{array} \Leftrightarrow \left\{ {\begin{array}{*{20}{l}}{a = 2}\\{b = 1}\\{C = \frac{{11}}{6}}\end{array}} \right.} \right.\)
\( \Rightarrow 2a + b = 2.2 + 1 = 5\).
Hot: 1000+ Đề thi cuối kì 2 file word cấu trúc mới 2026 Toán, Văn, Anh... lớp 1-12 (chỉ từ 60k). Tải ngay
CÂU HỎI HOT CÙNG CHỦ ĐỀ
Câu 1
C. V3 < V2 < V1.
Lời giải
Đáp án
V3 < V2 < V1.
Giải thích

Ứng với nhiệt độ T1 ta có: p1 < p2 < p3
Do nhiệt độ không đổi, áp dụng định luật Boyle, ta có:
\({p_1}{V_1} = {p_2}{V_2} = {p_3}{V_3} \to {V_1} > {V_2} > {V_3}\).
Lời giải
Đáp án
80.
Giải thích
Ta có: \(\left( {{3^{2x + 1}} + {{2.3}^x} - 1} \right)\left( {{3^x} - y} \right) \le 0 \Leftrightarrow \left[ {3.{{\left( {{3^x}} \right)}^2} + {{2.3}^x} - 1} \right]\left( {{3^x} - y} \right) \le 0\)
\( \Leftrightarrow \left( {{3^x} + 1} \right)\left( {{{3.3}^x} - 1} \right)\left( {{3^x} - y} \right) \le 0 \Leftrightarrow \left( {{3^{x + 1}} - 1} \right)\left( {{3^x} - y} \right) \le 0\) (do \({3^x} + 1 > 0,\forall x\)).
TH1. \({3^{x + 1}} - 1 \le 0 \Rightarrow x + 1 \le 0 \Leftrightarrow x \le - 1\) ta có \({3^x} - y \ge 0 \Rightarrow y \le {3^x} \le {3^{ - 1}} = \frac{1}{3}\) (vô lý vì \(y\) là số nguyên dương).
TH2. \({3^{x + 1}} - 1 \ge 0 \Rightarrow x + 1 \ge 0 \Leftrightarrow x \ge - 1\) ta có \({3^x} - y \le 0 \Rightarrow y \ge {3^x} \ge {3^{ - 1}} = \frac{1}{3}\) (luôn đúng vì \(y\) là số nguyên dương).
Để ứng với mỗi số \(y\) có không quá 5 số nguyên \(x\) thỏa mãn bất phương trình nên nghiệm \(x\) chỉ nằm trong khoảng \(\left\{ { - 1;0;1;2;3} \right\} \Rightarrow y < {3^4} = 81\).
Vậy có 80 số nguyên dương \(y\) thỏa mãn yêu cầu đề bài.
Câu 3
Lời giải
Bạn cần đăng ký gói VIP ( giá chỉ từ 250K ) để làm bài, xem đáp án và lời giải chi tiết không giới hạn.
Câu 4
Lời giải
Bạn cần đăng ký gói VIP ( giá chỉ từ 250K ) để làm bài, xem đáp án và lời giải chi tiết không giới hạn.
Lời giải
Bạn cần đăng ký gói VIP ( giá chỉ từ 250K ) để làm bài, xem đáp án và lời giải chi tiết không giới hạn.
Lời giải
Bạn cần đăng ký gói VIP ( giá chỉ từ 250K ) để làm bài, xem đáp án và lời giải chi tiết không giới hạn.
Lời giải
Bạn cần đăng ký gói VIP ( giá chỉ từ 250K ) để làm bài, xem đáp án và lời giải chi tiết không giới hạn.


