Quảng cáo
Trả lời:
Đáp án
1
Giải thích
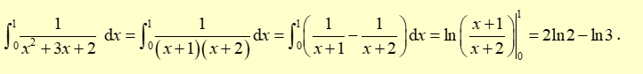
Cách 1. Xét

Vậy \(a = 2,b = - 1 \Rightarrow a + b = 1\).
Cách 2. Casio
Tính

Ta có: \(a{\rm{ln}}2 + b{\rm{ln}}3 = {\rm{ln}}{2^a} + {\rm{ln}}{3^b} = {\rm{ln}}\left( {{2^a}{{.3}^b}} \right)\)

Khi đó, \({2^a}{.3^b} = \frac{4}{3} = {2^2}{.3^{ - 1}} \Rightarrow a = 2;b = - 1 \Rightarrow a + b = 1\).
Hot: 1000+ Đề thi cuối kì 1 file word cấu trúc mới 2025 Toán, Văn, Anh... lớp 1-12 (chỉ từ 60k). Tải ngay
- Tuyển tập 30 đề thi đánh giá năng lực Đại học Quốc gia Hà Nội 2025 (Tập 1) ( 39.000₫ )
- Tuyển tập 30 đề thi đánh giá năng lực Đại học Quốc gia TP Hồ Chí Minh (2 cuốn) ( 140.000₫ )
- Tuyển tập 15 đề thi Đánh giá tư duy Đại học Bách Khoa Hà Nội 2025 (Tập 1) ( 39.000₫ )
- Tuyển tập 30 đề thi đánh giá năng lực Đại học Quốc gia Hà Nội, TP Hồ Chí Minh (2 cuốn) ( 150.000₫ )
CÂU HỎI HOT CÙNG CHỦ ĐỀ
Lời giải
Đáp án
4
Giải thích
Chọn giá trị đại diện cho các nhóm số liệu ta có:
|
Chi phí (triệu đồng/người) |
\(\left[ {5;7,5} \right)\) |
\(\left[ {7,5;10} \right)\) |
\(\left[ {10;12,5} \right)\) |
\(\left[ {12,5;15} \right)\) |
\(\left[ {15;17,5} \right)\) |
\(\left[ {17,5;20} \right)\) |
|
Giá trị đại diện |
6,25 |
8,75 |
11,25 |
13,75 |
16,25 |
18,75 |
|
Số khách hàng |
24 |
20 |
21 |
15 |
11 |
9 |
Chi phí dự kiến trung bình của 100 khách hàng là:
\(\overline x = \frac{1}{{100}}\left( {24.6,25 + 20.8,75 + 21.11,25 + 15.13,75 + 11.16,25 + 9.18,75} \right) = 11,15\) (triệu đồng).
Phương sai và độ lệch chuẩn của mẫu số liệu ghép nhóm về chi phí dự kiến là:
\({s^2} = \frac{1}{{100}}\left[ {24{{(6,25 - 11,15)}^2} + 20{{(8,75 - 11,15)}^2} + \ldots + 9{{(18,75 - 11,15)}^2}} \right] = 15,99\) và \(s \approx 4\).
Câu 2
Lời giải
Đáp án
\(S = 1\).

Lời giải
Bạn cần đăng ký gói VIP ( giá chỉ từ 199K ) để làm bài, xem đáp án và lời giải chi tiết không giới hạn.
Câu 4
Lời giải
Bạn cần đăng ký gói VIP ( giá chỉ từ 199K ) để làm bài, xem đáp án và lời giải chi tiết không giới hạn.
Câu 5
Lời giải
Bạn cần đăng ký gói VIP ( giá chỉ từ 199K ) để làm bài, xem đáp án và lời giải chi tiết không giới hạn.
Câu 6
Lời giải
Bạn cần đăng ký gói VIP ( giá chỉ từ 199K ) để làm bài, xem đáp án và lời giải chi tiết không giới hạn.
Lời giải
Bạn cần đăng ký gói VIP ( giá chỉ từ 199K ) để làm bài, xem đáp án và lời giải chi tiết không giới hạn.


