Người Huế luôn quan niệm rằng: “Y phục xứng kỳ đức”. Áo dài Huế được nhiều đối tượng sử dụng, trước nhất là học sinh, sinh viên, viên chức, thanh niên, rồi cả đến những lớp người trung niên, các bà già, chị em làm nghề buôn bán nhỏ ở các cửa hiệu, ở ngoài chợ... Sự khác biệt lớn nhất của áo dài Huế so với các vùng miền khác trong cả nước là được nuôi dưỡng trên nền của một vùng văn hóa từng là Kinh đô cuối cùng của triều đại quân chủ cuối cùng của Việt Nam, nơi mà thẩm mỹ trang phục cung đình nhà Nguyễn với những điển chế nghiêm ngặt đã lan tỏa - giao thoa với thẩm mỹ dân gian để tạo nên những dấu ấn riêng biệt trên chiếc áo dài mà không dễ tìm thấy ở những vùng đất khác. Ngày nay, chiếc áo dài đã trở thành hình ảnh quen thuộc, thân thương, đi vào cuộc sống, gắn liền với nếp văn hóa, tập quán, xuất hiện trong mọi hoạt động lễ nghi, hội hè và cả trong đời thường ở Cố đô Huế. Áo dài còn là nguồn cảm hứng bất tận đi vào thơ, ca, nhạc, họa, trở thành biểu tượng của người phụ nữ Huế. Các hiệu may đo áo dài Huế chủ yếu phân bố tập trung tại các vùng Gia Hội - Chợ Dinh, Kim Long, Vĩ Dạ, Phủ Cam... Đây là những vùng đất có truyền thống lịch sử, văn hóa lâu đời, dân cư tập trung đông đúc và nơi sinh sống của các gia đình, dòng họ có truyền thống may đo áo dài Huế nổi tiếng như: Tân Nghiệp, Minh Tân, Mỹ Lệ, Thẩm, Hùng, Đoan Trang, Phúc, Thảo Trang, Viết Bảo, Quang Hòa, Thanh Châu, Xuân Thi.... Các khâu kỹ thuật cắt, may, luôn tà, làm nút đều được các nghệ nhân, người thợ may áo dài chăm chút thận trọng. Vì vậy, chiếc áo dài không đơn thuần là sản phẩm may mặc mà là cả một tác phẩm nghệ thuật, chứa đựng giá trị bản sắc văn hóa Huế.
(Minh Thông, Tri thức may, mặc áo dài Huế trở thành Di sản văn hóa phi vật thể quốc gia, vov.vn, ngày 13/08/2024)
Người Huế luôn quan niệm rằng: “Y phục xứng kỳ đức”. Áo dài Huế được nhiều đối tượng sử dụng, trước nhất là học sinh, sinh viên, viên chức, thanh niên, rồi cả đến những lớp người trung niên, các bà già, chị em làm nghề buôn bán nhỏ ở các cửa hiệu, ở ngoài chợ... Sự khác biệt lớn nhất của áo dài Huế so với các vùng miền khác trong cả nước là được nuôi dưỡng trên nền của một vùng văn hóa từng là Kinh đô cuối cùng của triều đại quân chủ cuối cùng của Việt Nam, nơi mà thẩm mỹ trang phục cung đình nhà Nguyễn với những điển chế nghiêm ngặt đã lan tỏa - giao thoa với thẩm mỹ dân gian để tạo nên những dấu ấn riêng biệt trên chiếc áo dài mà không dễ tìm thấy ở những vùng đất khác. Ngày nay, chiếc áo dài đã trở thành hình ảnh quen thuộc, thân thương, đi vào cuộc sống, gắn liền với nếp văn hóa, tập quán, xuất hiện trong mọi hoạt động lễ nghi, hội hè và cả trong đời thường ở Cố đô Huế. Áo dài còn là nguồn cảm hứng bất tận đi vào thơ, ca, nhạc, họa, trở thành biểu tượng của người phụ nữ Huế. Các hiệu may đo áo dài Huế chủ yếu phân bố tập trung tại các vùng Gia Hội - Chợ Dinh, Kim Long, Vĩ Dạ, Phủ Cam... Đây là những vùng đất có truyền thống lịch sử, văn hóa lâu đời, dân cư tập trung đông đúc và nơi sinh sống của các gia đình, dòng họ có truyền thống may đo áo dài Huế nổi tiếng như: Tân Nghiệp, Minh Tân, Mỹ Lệ, Thẩm, Hùng, Đoan Trang, Phúc, Thảo Trang, Viết Bảo, Quang Hòa, Thanh Châu, Xuân Thi.... Các khâu kỹ thuật cắt, may, luôn tà, làm nút đều được các nghệ nhân, người thợ may áo dài chăm chút thận trọng. Vì vậy, chiếc áo dài không đơn thuần là sản phẩm may mặc mà là cả một tác phẩm nghệ thuật, chứa đựng giá trị bản sắc văn hóa Huế.
(Minh Thông, Tri thức may, mặc áo dài Huế trở thành Di sản văn hóa phi vật thể quốc gia, vov.vn, ngày 13/08/2024)
Theo nội dung đoạn trích, từ nào KHÔNG cùng nhóm với các từ còn lại?
Quảng cáo
Trả lời:
Đáp án đúng là C
Phương pháp giải
Căn cứ vào nội dung bài đọc
Dạng bài đọc hiểu văn bản văn học - Câu hỏi kết hợp
Lời giải
- Trong văn bản, tác giả có đề cập các đối tượng “học sinh, sinh viên, viên chức, thanh niên” chung một nhóm. Đây là các đối tượng tri thức, sử dụng áo dài phổ biến.
- Sau đó, tác giả có đề cập đến lớp người khác cũng sử dụng áo dài như “trung niên, các bà già, chị em làm nghề buôn bán”. Đây là các đối tượng thuộc lớp người lớn tuổi hơn, làm các ngành nghề khác trong xã hội.
=> Từ “trung niên” không cùng nhóm với các từ còn lại.
Câu hỏi cùng đoạn
Câu 2:
Theo đoạn trích, áo dài Huế có gì khác so với áo dài của các nơi khác?
Đáp án đúng là B
Phương pháp giải
Căn cứ vào nội dung bài đọc
Dạng bài đọc hiểu văn bản văn học - Câu hỏi kết hợp
Lời giải
- Trong văn bản, tác giả có đề cập: áo dài Huế “được nuôi dưỡng trên nền của một vùng văn hóa từng là Kinh đô cuối cùng của triều đại quân chủ cuối cùng của Việt Nam, nơi mà thẩm mỹ trang phục cung đình nhà Nguyễn với những điển chế nghiêm ngặt đã lan tỏa - giao thoa với thẩm mỹ dân gian”. Có thể thấy, áo dài Huế có sự khác biệt so với các nơi khác vì 2 yếu tố: nó được nuôi dưỡng tại nền văn hóa cung đình, đồng thời có sự giao thoa với thẩm mĩ dân gian.
=> Đáp án đúng và đầy đủ nhất là B: Áo dài Huế là sự kết hợp giữa phong cách cung đình và dân gian.
- Phân tích, loại trừ:
+ Đáp án A, C sai vì liệt kê chưa đủ đặc điểm của áo dài Huế.
+ Đáp án D sai vì bài đọc không đề cập việc áo dài Huế phát triển theo nhu cầu xã hội.
Câu 3:
Tác giả dẫn ra đề tài về áo dài trong những sáng tác nghệ thuật để làm gì?
Tác giả dẫn ra đề tài về áo dài trong những sáng tác nghệ thuật để làm gì?
Đáp án đúng là C
Phương pháp giải
Căn cứ vào nội dung bài đọc
Dạng bài đọc hiểu văn bản văn học - Câu hỏi kết hợp
Lời giải
- Theo đoạn trích, ngày nay áo dài đã trở nên phổ biến và có ý nghĩa quan trọng đối với đời sống tinh thần của người dân Cố đô Huế.
- Căn cứ vào nội dung đoạn trích: “Áo dài còn là nguồn cảm hứng bất tận đi vào thơ, ca, nhạc, họa, trở thành biểu tượng của người phụ nữ Huế.”
=> Tác giả dẫn ra đề tài về áo dài trong những sáng tác nghệ thuật để chứng minh cho ý nghĩa quan trọng của áo dài trong đời sống, cụ thể là đời sống tinh thần của người dân xứ Huế.
- Phân tích, loại trừ:
+ Đáp án A sai vì bài đọc không có đề cập đến các trang phục khác.
+ Đáp án B sai vì câu văn cũng không giải thích lí do gì mà áo dài được đi vào các sáng tác nghệ thuật.
+ Đáp án D sai vì câu văn không đề cập đến việc áo dài được sử dụng trong những dịp nào, phổ biến ra sao mà chỉ trình bày việc áo dài trở thành đề tài cho sáng tác nghệ thuật.
Câu 4:
Theo đoạn trích, các hiệu may áo dài Huế phân bố chủ yếu ở đâu?
Theo đoạn trích, các hiệu may áo dài Huế phân bố chủ yếu ở đâu?
Đáp án đúng là A
Phương pháp giải
Căn cứ vào nội dung bài đọc
Dạng bài đọc hiểu văn bản văn học - Câu hỏi kết hợp
Lời giải
- Theo đoạn trích, “Các hiệu may đo áo dài Huế chủ yếu phân bố tập trung tại các vùng Gia Hội - Chợ Dinh, Kim Long, Vĩ Dạ, Phủ Cam... Đây là những vùng đất có truyền thống lịch sử, văn hóa lâu đời, dân cư tập trung đông đúc và nơi sinh sống của các gia đình, dòng họ có truyền thống may đo áo dài Huế”. Câu văn này cho thấy các hiệu may áo dài Huế sẽ tập trung chủ yếu ở những nơi có bề dày lịch sử, truyền thống văn hóa, nơi tập trung đông dân cư và nơi sinh sống của các gia đình có truyền thống may đo áo dài.
- Phân tích, suy luận:
+ Đáp án A đúng vì đáp án này nêu đầy đủ các yếu tố mà các hiệu may áo dài phân bố (lịch sử, văn hóa, đời sống).
+ Đáp án B, C, D sai vì các đáp án này chỉ nêu ra một khía cạnh, chưa nêu đầy đủ đặc điểm của nơi phân bố các hiệu áo dài.
=> Các hiệu may áo dài Huế phân bố chủ yếu ở nơi có bề dày lịch sử, gắn liền với văn hóa và cuộc sống của người dân cố đô.
Câu 5:
Đâu là cách hiểu đúng về thành ngữ “Y phục xứng kỳ đức”?
Đâu là cách hiểu đúng về thành ngữ “Y phục xứng kỳ đức”?
Đáp án đúng là D
Phương pháp giải
Căn cứ vào nội dung bài đọc
Dạng bài đọc hiểu văn bản văn học - Câu hỏi kết hợp
Lời giải
- Câu thành ngữ nhắc nhở mỗi người về việc lựa chọn trang phục sao cho phù hợp với vị trí xã hội, tính cách và đạo đức của mình ngoài ra cần ăn mặc phù hợp với hoàn cảnh. Ví dụ như trong những hoàn cảnh mang tính chất trang trọng, cần lựa chọn trang phục chỉnh tề; trong giao tiếp thường ngày với bạn bè, người thân thì chọn trang phục đơn giản; trong các bữa tiệc tùng cần chọn trang phục phù hợp với bữa tiệc. Ngoài ra cũng cần chú ý đến tuổi tác, bản thân con người mình để chọn trang phục phù hợp.
- Phân tích, loại trừ:
+ Đáp án A sai vì trang phục không phải là thứ nói lên phẩm chất đạo đức của con người. Ví dụ, các nghệ sĩ, ca sĩ có thể ăn mặc thoải mái nhưng chưa chắc họ đã là người có phẩm chất đạo đức không tốt.
+ Đáp án B, C sai vì không phải đi đâu cũng phải mặc đồ sang trọng, việc chọn lựa trang phục phụ thuộc vào hoàn cảnh.
+ Đáp án D đúng vì đáp án này trình bày đầy đủ và hợp lý thành ngữ “y phục xứng kì đức”.
Hot: 1000+ Đề thi cuối kì 1 file word cấu trúc mới 2025 Toán, Văn, Anh... lớp 1-12 (chỉ từ 60k). Tải ngay
- Tuyển tập 15 đề thi Đánh giá tư duy Đại học Bách Khoa Hà Nội 2025 (Tập 1) ( 39.000₫ )
- Tuyển tập 30 đề thi đánh giá năng lực Đại học Quốc gia Hà Nội 2025 (Tập 1) ( 39.000₫ )
- Tuyển tập 30 đề thi đánh giá năng lực Đại học Quốc gia TP Hồ Chí Minh (2 cuốn) ( 140.000₫ )
- Tuyển tập 30 đề thi đánh giá năng lực Đại học Quốc gia Hà Nội, TP Hồ Chí Minh (2 cuốn) ( 150.000₫ )
CÂU HỎI HOT CÙNG CHỦ ĐỀ
Lời giải
Đáp án đúng là B
Phương pháp giải
Vận dụng kiến thức đã học về phong cách ngôn ngữ
Dạng bài đọc hiểu văn bản văn học - Câu hỏi kết hợp
Lời giải
Đoạn trích trên được trình bày theo phong cách ngôn ngữ khoa học. Vì đoạn trích trình bày những nghiên cứu của tác giả xoay quanh vấn đề ngôn ngữ với những biểu hiện minh chứng cho nghiên cứu của mình và các thuật ngữ chuyên ngành như “hình thái”, “ngôn từ”, “hữu hình”.
Câu 2
Lời giải
Đáp án đúng là A
Phương pháp giải
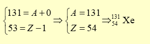
Vận dụng lí thuyết về phóng xạ và các tia phóng xạ
Lời giải
\(_{53}^{131}I\) phóng xạ \({\beta ^ - }\)nên ta có phương trình phóng xạ là: \(_{53}^{131}I \to _Z^AX\, + _{ - 1}^0e\, + _0^0\bar v\)
Theo bảo toàn số khối và điện tích nên ta có:

\( \Rightarrow _{53}^{131}I \to _{54}^{131}{\rm{Xe}} + \,_{ - 1}^0e\, + _0^0\bar v\)
Câu 3
Lời giải
Bạn cần đăng ký gói VIP ( giá chỉ từ 199K ) để làm bài, xem đáp án và lời giải chi tiết không giới hạn.
Lời giải
Bạn cần đăng ký gói VIP ( giá chỉ từ 199K ) để làm bài, xem đáp án và lời giải chi tiết không giới hạn.
Lời giải
Bạn cần đăng ký gói VIP ( giá chỉ từ 199K ) để làm bài, xem đáp án và lời giải chi tiết không giới hạn.
Câu 6
Lời giải
Bạn cần đăng ký gói VIP ( giá chỉ từ 199K ) để làm bài, xem đáp án và lời giải chi tiết không giới hạn.
