Có bao nhiêu cặp số nguyên x ;y thỏa mãn 0≤x≤2025 và ? (nhập đáp án vào ô trống).
Đáp án: __
Quảng cáo
Trả lời:
Đáp án đúng là "3"
Phương pháp giải
Sử dụng phương pháp hàm số đặc trưng.
Lời giải
Ta có \({\rm{lo}}{{\rm{g}}_3}\left( {162x + 243} \right) + 2x - 1 = 2y + {9^y} \Leftrightarrow {\rm{lo}}{{\rm{g}}_3}\left[ {81.\left( {2x + 3} \right)} \right] + 2x - 1 = 2y + {3^{2y}}\)
\( \Leftrightarrow {\rm{lo}}{{\rm{g}}_3}\left( {2x + 3} \right) + \left( {2x + 3} \right) = 2y + {3^{2y}}\).
Xét hàm số \(f\left( t \right) = t + {3^t}\) trên \(\mathbb{R}\).
\(f'\left( t \right) = 1 + {3^t}.{\rm{ln}}3 > 0,\forall t \in \mathbb{R}\) nên hàm số \(f\left( t \right)\) đồng biến trên \(\mathbb{R}\).
Do đó từ phương trình \({\rm{lo}}{{\rm{g}}_3}\left( {2x + 3} \right) + \left( {2x + 3} \right) = 2y + {3^{2y}}\) ta suy ra:
\({\rm{lo}}{{\rm{g}}_3}\left( {2x + 3} \right) = 2y \Leftrightarrow 2x + 3 = {3^{2y}} \Leftrightarrow x = \frac{{{9^y} - 3}}{2}\).
Vì \(0 \le x \le 2025\) nên \(0 \le \frac{{{9^y} - 3}}{2} \le 2025 \Leftrightarrow {\rm{lo}}{{\rm{g}}_9}3 \le y \le {\rm{lo}}{{\rm{g}}_9}4053\).
Mà \(y \in \mathbb{Z}\) nên \(y \in \left\{ {1;2;3} \right\}\)
Với \(y = 1 \Rightarrow x = \frac{{{9^1} - 3}}{2} = 3\left( n \right)\)
Với \(y = 2 \Rightarrow x = \frac{{{9^2} - 3}}{2} = 39\left( n \right)\)
Với \(y = 3 \Rightarrow x = \frac{{{9^3} - 3}}{2} = 363\left( n \right)\)
Hot: 1000+ Đề thi giữa kì 2 file word cấu trúc mới 2026 Toán, Văn, Anh... lớp 1-12 (chỉ từ 60k). Tải ngay
- Tuyển tập 15 đề thi Đánh giá tư duy Đại học Bách Khoa Hà Nội 2025 (Tập 1) ( 39.000₫ )
- Tuyển tập 30 đề thi đánh giá năng lực Đại học Quốc gia TP Hồ Chí Minh (2 cuốn) ( 140.000₫ )
- Tuyển tập 30 đề thi đánh giá năng lực Đại học Quốc gia Hà Nội 2025 (Tập 1) ( 39.000₫ )
- Tuyển tập 30 đề thi đánh giá năng lực Đại học Quốc gia Hà Nội, TP Hồ Chí Minh (2 cuốn) ( 150.000₫ )
CÂU HỎI HOT CÙNG CHỦ ĐỀ
Câu 1
Lời giải
Đáp án đúng là C
Phương pháp giải
Sử dụng định lý quan hệ giữa tính đơn điệu của hàm số và dấu của đạo hàm: Cho hàm số \(y = f\left( x \right)\) có đạo hàm trên \(K\). Nếu \(f'\left( x \right) > 0,\forall x \in K\) thì hàm số \(y = f\left( x \right)\) đồng biến trên \(K\). Nếu \(f'\left( x \right) < 0,\forall x \in K\) thì hàm số \(y = f\left( x \right)\) nghịch biến trên \(K\).
Lời giải
\(f'\left( x \right) = \left( {{x^2} - 4x + 3} \right)\left( {x - 3} \right)\left( {2 - x} \right) \Leftrightarrow f'\left( x \right) = \left( {x - 1} \right){(x - 3)^2}\left( {2 - x} \right)\)
\(f'\left( x \right) = 0 \Leftrightarrow x = 1\left( n \right) \vee x = 3\left( l \right) \vee x = 2\left( n \right)\)
BBT

Dựa vào BBT, hàm số đã cho nghịch biến trên các khoảng \(\left( { - \infty ;1} \right)\) và \(\left( {2; + \infty } \right)\).
Lời giải
Đáp án đúng là "14"
Phương pháp giải
Sử dụng công thức đạo hàm hàm hợp: Cho \(y = f\left( u \right);u = u\left( x \right)\). Khi đó \({y_x}\;' = f'\left( u \right).u'\left( x \right)\).
Sử dụng định lý mở rộng về quan hệ giữa tính đơn điệu của hàm số và dấu của đạo hàm: Hàm số \(y = f\left( x \right)\) đồng biến trên \(K\) khi và chỉ khi \(f'\left( x \right) \ge 0,\forall x \in K\) và \(f'\left( x \right) = 0\) chỉ tại một số hữu hạn điểm thuộc \(K\). Hàm số \(y = f\left( x \right)\) nghịch biến trên \(K\) khi và chỉ khi \(f'\left( x \right) \le 0,\forall x \in K\) và \(f'\left( x \right) = 0\) chỉ tại một số hữu hạn điểm thuộc \(K\).
Lời giải
\(y = f\left( {{x^2} - 2mx + {m^2} + 1} \right)\)
\(y' = \left( {2x - 2m} \right)f'\left( {{x^2} - 2mx + {m^2} + 1} \right)\)
Để hàm số \(y = f\left( {{x^2} - 2mx + {m^2} + 1} \right)\) nghịch biến trên khoảng \(\left( {0;\frac{1}{2}} \right)\) thì
\(y' \le 0,\forall x \in \left( {0;\frac{1}{2}} \right) \Leftrightarrow \left( {2x - 2m} \right)f'\left( {{x^2} - 2mx + {m^2} + 1} \right) \le 0,\forall x \in \left( {0;\frac{1}{2}} \right)\) (*).
Xét hai trường hợp:
Trường hợp 1: \(2x - 2m \ge 0 \Leftrightarrow x \ge m\).
Khi đó từ (*)
\( \Leftrightarrow \left\{ {\begin{array}{*{20}{l}}{m \le 0}\\{{x^2} - 2mx + {m^2} + 1 \le 2,\forall x \in \left( {0;\frac{1}{2}} \right)}\end{array}} \right.\)
\( \Leftrightarrow \left\{ {\begin{array}{*{20}{l}}{m \le 0}\\{{x^2} - 2mx + {m^2} - 1 \le 0,\forall x \in \left( {0;\frac{1}{2}} \right)\,\,\,(1)}\end{array}} \right.\)
Giải (1):
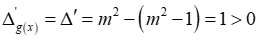
Đặt \(g\left( x \right) = {x^2} - 2mx + {m^2} - 1\).
Ta có
nên \(g\left( x \right)\) có hai nghiệm phân biệt là \(m - 1\) và \(m + 1\).
Để \(g\left( x \right) \le 0,\forall x \in \left( {0;\frac{1}{2}} \right)\) thì: 
Kết hợp với \(m \le 0\), ta được \( - \frac{1}{2} \le m \le 0\).
Trường hợp 2: \(2x - 2m \le 0 \Leftrightarrow x \le m\).
Khi đó từ (*)
\( \Leftrightarrow \left\{ {\begin{array}{*{20}{l}}{m \ge \frac{1}{2}}\\{{x^2} - 2mx + {m^2} + 1 \ge 2,\forall x \in \left( {0;\frac{1}{2}} \right)}\end{array}} \right.\)
\( \Leftrightarrow \left\{ {\begin{array}{*{20}{l}}{m \ge \frac{1}{2}}\\{{x^2} - 2mx + {m^2} - 1 \ge 0,\forall x \in \left( {0;\frac{1}{2}} \right)\,\,\,(2)}\end{array}} \right.\)
Giải (2):
Đặt \(g\left( x \right) = {x^2} - 2mx + {m^2} - 1\).
Ta có
nên \(g\left( x \right)\) có hai nghiệm phân biệt là \(m - 1\) và \(m + 1\).
Để \(g\left( x \right) \ge 0,\forall x \in \left( {0;\frac{1}{2}} \right)\) thì: \(\left[ {\begin{array}{*{20}{l}}{m - 1 \ge \frac{1}{2}}\\{m + 1 \le 0}\end{array} \Leftrightarrow \left\{ {\begin{array}{*{20}{l}}{m \ge \frac{3}{2}}\\{m \le - 1}\end{array}} \right.} \right.\).
Kết hợp với \(m \ge \frac{1}{2}\), ta được \(m \ge \frac{3}{2}\).
Tóm lại, \( - \frac{1}{2} \le m \le 0\) hoặc \(m \ge \frac{3}{2}\). Mà \(m\) là số nguyên thuộc đoạn \(\left[ { - 5;5} \right]\) nên \(m \in S = \left\{ {0;2;3;4;5} \right\}\).
Vậy tổng giá trị các phần tử của \(S\) là \(0 + 2 + 3 + 4 + 5 = 14\).
Lời giải
Bạn cần đăng ký gói VIP ( giá chỉ từ 199K ) để làm bài, xem đáp án và lời giải chi tiết không giới hạn.
Lời giải
Bạn cần đăng ký gói VIP ( giá chỉ từ 199K ) để làm bài, xem đáp án và lời giải chi tiết không giới hạn.
Lời giải
Bạn cần đăng ký gói VIP ( giá chỉ từ 199K ) để làm bài, xem đáp án và lời giải chi tiết không giới hạn.
Lời giải
Bạn cần đăng ký gói VIP ( giá chỉ từ 199K ) để làm bài, xem đáp án và lời giải chi tiết không giới hạn.
Lời giải
Bạn cần đăng ký gói VIP ( giá chỉ từ 199K ) để làm bài, xem đáp án và lời giải chi tiết không giới hạn.

