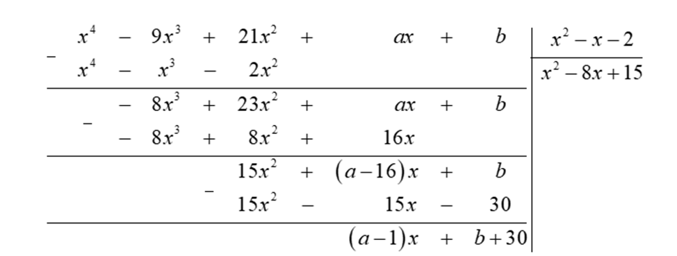
(0,5 điểm) Tìm \(a,b\) để đa thức \(A\left( x \right) = {x^4} - 9{x^3} + 21{x^2} + ax + b\) chia hết cho đa thức \(B\left( x \right) = {x^2} - x - 2\).
Câu hỏi trong đề: Bộ 10 đề thi cuối kì 2 Toán 7 Kết nối tri thức có đáp án !!
Quảng cáo
Trả lời:
Ta thực hiện đặt tính chia đa thức như sau:

Do đó số dư của phép chia \(A\left( x \right)\) cho \(B\left( x \right)\) là \(\left( {a - 1} \right)x + b + 30\).
Để phép chia trên là phép chia hết thì \(\left( {a - 1} \right)x + b + 30 = 0\) với mọi \(x\)
Điều này xảy ra khi và chỉ khi \(\left\{ \begin{array}{l}a - 1 = 0\\b + 30 = 0\end{array} \right.\), suy ra \(\left\{ \begin{array}{l}a = 1\\b = - 30\end{array} \right.\).
Vậy \(a = 1\) và \(b = - 30\).
Hot: 1000+ Đề thi giữa kì 2 file word cấu trúc mới 2026 Toán, Văn, Anh... lớp 1-12 (chỉ từ 60k). Tải ngay
CÂU HỎI HOT CÙNG CHỦ ĐỀ
Lời giải

a) Xét \(\Delta ABC\) có \(AB < AC\) nên \(\widehat C < \widehat B\).
Mà \(\widehat C = 90^\circ - \widehat {HAC}\) và \(\widehat B = 90^\circ - \widehat {BAH}\).
Do đó \[90^\circ - \widehat {HAC} < 90^\circ - \widehat {BAH}\] hay \(\widehat {HAC} > \widehat {BAH}\).
b) Xét \(\Delta ABH\) và \(\Delta ADH\) có:
\(\widehat {AHB} = \widehat {AHD} = 90^\circ \);
\(AH\) là cạnh chung;
\(HB = HD\) (giả thiết).
Do đó \(\Delta ABH = \Delta ADH\) (hai cạnh góc vuông).
Suy ra \(AB = AD\) (hai cạnh tương ứng).
Tam giác \(ABD\) có \(AB = AD\) nên là tam giác cân tại \(A\).
c) Kéo dài \(AH\) và \(CF\) cắt nhau tại \(K\).
Xét \(\Delta AKC\) có \(CH \bot AK,AF \bot CK\), \(CH\) cắt \[AF\] tại \(D\) nên \(D\) là trực tâm của \(\Delta AKC\).
Suy ra \(KD \bot AC\)
Mà \(DE \bot AC\) nên ba điểm \(K,D,E\) thẳng hàng.
Vậy ba đường thẳng \(AH,DE,CF\) đồng quy.
Câu 2
\(\frac{{ - 1}}{3}\) và \(\frac{{ - 21}}{{63}}\);
\(\frac{4}{3}\) và \(\frac{3}{2}\);
\(\frac{4}{6}\) và \(\frac{3}{2}\);
\(\frac{1}{3}\) và \(\frac{{ - 1}}{3}\).
Lời giải
Đáp án đúng là: A
Áp dụng tính chất của tỉ lệ thức \(\frac{a}{b} = \frac{c}{d}\) nếu \(ad = bc\) \(\left( {b,d \ne 0} \right)\).
Xét hai tỉ số \(\frac{{ - 1}}{3}\) và \(\frac{{ - 21}}{{63}}\) có \[--1.63 = --21.3 = - 63\] nên \(\frac{{ - 1}}{3}\) = \(\frac{{ - 21}}{{63}}\). Phương án A đúng.
Xét hai tỉ số \(\frac{4}{3}\) và \(\frac{3}{2}\) có \[4.2 \ne 3.3\] nên hai tỉ số này không lập được tỉ lệ thức.
Xét hai tỉ số \(\frac{4}{6}\) và \(\frac{3}{2}\) có \[4.2 \ne 3.6\] nên hai tỉ số này không lập được tỉ lệ thức.
Xét hai tỉ số \(\frac{1}{3}\) và \(\frac{{ - 1}}{3}\) có \[1.3 \ne --1.3\] nên hai tỉ số này không lập được tỉ lệ thức.
Lời giải
Bạn cần đăng ký gói VIP ( giá chỉ từ 199K ) để làm bài, xem đáp án và lời giải chi tiết không giới hạn.
Câu 4
Màu đen;
Màu đỏ;
Màu xanh;
Như nhau.
Lời giải
Bạn cần đăng ký gói VIP ( giá chỉ từ 199K ) để làm bài, xem đáp án và lời giải chi tiết không giới hạn.
Lời giải
Bạn cần đăng ký gói VIP ( giá chỉ từ 199K ) để làm bài, xem đáp án và lời giải chi tiết không giới hạn.
Lời giải
Bạn cần đăng ký gói VIP ( giá chỉ từ 199K ) để làm bài, xem đáp án và lời giải chi tiết không giới hạn.