Gọi F(x) là số lượng vi khuẩn phát triển sau t giờ. Biết F(t) thỏa mãn với và ban đầu có 1000 con vi khuẩn. Hỏi sau 2h số lượng vi khuẩn là bao nhiêu? (Nhập đáp án vào ô trống, kết quả làm tròn đến hàng đơn vị)
Đáp án: _____
Quảng cáo
Trả lời:
Đáp án đúng là "9047"
Phương pháp giải
Áp dụng tính chất nguyên hàm-tích phân.
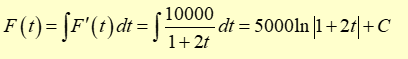
Lời giải

\(F\left( 0 \right) = 1000 \Leftrightarrow 5000{\rm{ln}}\left| {1 + 2.0} \right| + C = 1000 \Leftrightarrow C = 1000\)
Số lượng vi khuẩn sau 2 giờ là:
\(F\left( 2 \right) = 5000{\rm{ln}}\left| {1 + 2.2} \right| + 1000 = 5000{\rm{ln}}\left( 5 \right) + 1000 \approx 9047\)
Hot: 1000+ Đề thi cuối kì 2 file word cấu trúc mới 2026 Toán, Văn, Anh... lớp 1-12 (chỉ từ 60k). Tải ngay
CÂU HỎI HOT CÙNG CHỦ ĐỀ
Câu 1
Lời giải
Đáp án đúng là B
Phương pháp giải
Xác định các thông số trạng thái của chất và quá trình biến đổi
Áp dụng phương trình trạng thái khí lí tưởng
Lời giải
Ở trạng thái 1: T1 = 273K; p1 = 760mmHg
Ở trạng thái 2: T2 = 297K; p2 = 765mmHg; V2 = 8l
Áp dụng phương trình trạng thái khí lí tưởng:
\[\frac{{{p_1}{V_1}}}{{{T_1}}} = \frac{{{p_2}{V_2}}}{{{T_2}}} \to {V_1} = \frac{{{T_1}{p_2}{V_2}}}{{{T_2}{p_1}}} = 7,4l\]
Ta có: m = D.V = 1,43.7,4 = 10,582g
Khối lượng khí bơm vào sau mỗi giây là: \[n = \frac{m}{t} = \frac{{10,582}}{{2.60}} \approx 0,09{\rm{g/s}}\]
Câu 2
Lời giải
Đáp án đúng là C
Phương pháp giải
Dựa vào lí thuyết về Vị trí địa lí, điều kiện tự nhiên, dân cư và xã hội Hoa Kỳ.
Lời giải
Quy mô dân số lớn mang lại lực lượng lao động dồi dào, thị trường tiêu thụ rộng lớn.
A, B, D sai vì quy mô dân số lớn (số dân lớn) không quy định tới chất lượng/trình độ lao động => trình độ cao, ít phải đào tạo, giá lao động thấp là sai.
Câu 3
Lời giải
Bạn cần đăng ký gói VIP ( giá chỉ từ 250K ) để làm bài, xem đáp án và lời giải chi tiết không giới hạn.
Câu 4
Lời giải
Bạn cần đăng ký gói VIP ( giá chỉ từ 250K ) để làm bài, xem đáp án và lời giải chi tiết không giới hạn.
Lời giải
Bạn cần đăng ký gói VIP ( giá chỉ từ 250K ) để làm bài, xem đáp án và lời giải chi tiết không giới hạn.
Câu 6
Lời giải
Bạn cần đăng ký gói VIP ( giá chỉ từ 250K ) để làm bài, xem đáp án và lời giải chi tiết không giới hạn.
Câu 7
Lời giải
Bạn cần đăng ký gói VIP ( giá chỉ từ 250K ) để làm bài, xem đáp án và lời giải chi tiết không giới hạn.

