Quảng cáo
Trả lời:
Đáp án đúng là "65/48"
Phương pháp giải
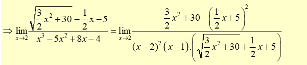
Giới hạn của hàm không xác định \(\frac{0}{0}\)
Lời giải
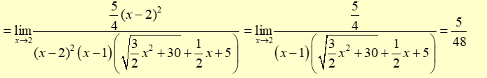
Ta có: \({x^3} - 5{x^2} + 8x - 4 = {(x - 2)^2}\left( {x - 1} \right)\)
Để khử được dạng \(\frac{0}{0}\), chúng ta cần triệt tiêu được \({(x - 2)^2}\) ở mẫu
\( \Rightarrow 2a{x^2} + 30 - {(bx + 5)^2} = 0\) có nghiệm kép \(x = 2\)
\( \Leftrightarrow \left( {2a - {b^2}} \right){x^2} - 10bx + 5 = 0\) có nghiệm kép \(x = 2\)
\( \Leftrightarrow \left\{ {\begin{array}{*{20}{l}}{2a - {b^2} \ne 0}\\{{\rm{\Delta '}} = 0}\\{4\left( {2a - {b^2}} \right) - 20b + 5 = 0}\end{array} \Leftrightarrow \left\{ {\begin{array}{*{20}{l}}{2a \ne {b^2}}\\{25{b^2} - 5\left( {2a - {b^2}} \right) = 0}\\{4\left( {2a - {b^2}} \right) - 20b + 5 = 0}\end{array}} \right.} \right.\)
\( \Leftrightarrow \left\{ {\begin{array}{*{20}{l}}{2a \ne {b^2}}\\{2a - {b^2} = 5{b^2}}\\{4.5{b^2} - 20b + 5 = 0}\end{array} \Leftrightarrow \left\{ {\begin{array}{*{20}{l}}{2a \ne {b^2}}\\{b = \frac{1}{2}}\\{a = \frac{3}{4}}\end{array}} \right.} \right.\)


Vậy \(a + b + c = \frac{1}{2} + \frac{3}{4} + \frac{5}{{48}} = \frac{{65}}{{48}}\)
Hot: 1000+ Đề thi cuối kì 2 file word cấu trúc mới 2026 Toán, Văn, Anh... lớp 1-12 (chỉ từ 60k). Tải ngay
CÂU HỎI HOT CÙNG CHỦ ĐỀ
Câu 1
Lời giải
Đáp án đúng là B
Phương pháp giải
Xác định các thông số trạng thái của chất và quá trình biến đổi
Áp dụng phương trình trạng thái khí lí tưởng
Lời giải
Ở trạng thái 1: T1 = 273K; p1 = 760mmHg
Ở trạng thái 2: T2 = 297K; p2 = 765mmHg; V2 = 8l
Áp dụng phương trình trạng thái khí lí tưởng:
\[\frac{{{p_1}{V_1}}}{{{T_1}}} = \frac{{{p_2}{V_2}}}{{{T_2}}} \to {V_1} = \frac{{{T_1}{p_2}{V_2}}}{{{T_2}{p_1}}} = 7,4l\]
Ta có: m = D.V = 1,43.7,4 = 10,582g
Khối lượng khí bơm vào sau mỗi giây là: \[n = \frac{m}{t} = \frac{{10,582}}{{2.60}} \approx 0,09{\rm{g/s}}\]
Câu 2
Lời giải
Đáp án đúng là C
Phương pháp giải
Dựa vào lí thuyết về Vị trí địa lí, điều kiện tự nhiên, dân cư và xã hội Hoa Kỳ.
Lời giải
Quy mô dân số lớn mang lại lực lượng lao động dồi dào, thị trường tiêu thụ rộng lớn.
A, B, D sai vì quy mô dân số lớn (số dân lớn) không quy định tới chất lượng/trình độ lao động => trình độ cao, ít phải đào tạo, giá lao động thấp là sai.
Câu 3
Lời giải
Bạn cần đăng ký gói VIP ( giá chỉ từ 250K ) để làm bài, xem đáp án và lời giải chi tiết không giới hạn.
Câu 4
Lời giải
Bạn cần đăng ký gói VIP ( giá chỉ từ 250K ) để làm bài, xem đáp án và lời giải chi tiết không giới hạn.
Câu 5
Lời giải
Bạn cần đăng ký gói VIP ( giá chỉ từ 250K ) để làm bài, xem đáp án và lời giải chi tiết không giới hạn.
Lời giải
Bạn cần đăng ký gói VIP ( giá chỉ từ 250K ) để làm bài, xem đáp án và lời giải chi tiết không giới hạn.
Câu 7
Lời giải
Bạn cần đăng ký gói VIP ( giá chỉ từ 250K ) để làm bài, xem đáp án và lời giải chi tiết không giới hạn.


