Cho hàm số f(x). Biết f(0) = 4 và , khi đó bằng bao nhiêu? (điền đáp án vào ô trống, kết quả làm tròn đến hàng đơn vị)
Đáp án: __
Quảng cáo
Trả lời:
Đáp án đúng là "4"
Phương pháp giải
Sử dụng công thức hạ bậc lượng giác.
Tính tích phân của hàm số sơ cấp.
Lời giải
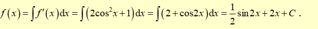
Ta có: 
Vì \(f\left( 0 \right) = 4 \Rightarrow C = 4 \Rightarrow f\left( x \right) = \frac{1}{2}{\rm{sin}}2x + 2x + 4\).
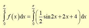
Vậy 
\( = \left. {\left( { - \frac{1}{4}{\rm{cos}}2x + {x^2} + 4x} \right)} \right|_0^{\frac{\pi }{4}} = \frac{{{\pi ^2} + 16\pi + 4}}{{16}} \approx 4\).
Hot: 1000+ Đề thi giữa kì 2 file word cấu trúc mới 2026 Toán, Văn, Anh... lớp 1-12 (chỉ từ 60k). Tải ngay
- Tuyển tập 30 đề thi đánh giá năng lực Đại học Quốc gia TP Hồ Chí Minh (2 cuốn) ( 140.000₫ )
- Tuyển tập 30 đề thi đánh giá năng lực Đại học Quốc gia Hà Nội 2025 (Tập 1) ( 39.000₫ )
- Tuyển tập 15 đề thi Đánh giá tư duy Đại học Bách Khoa Hà Nội 2025 (Tập 1) ( 39.000₫ )
- Tuyển tập 30 đề thi đánh giá năng lực Đại học Quốc gia Hà Nội, TP Hồ Chí Minh (2 cuốn) ( 150.000₫ )
CÂU HỎI HOT CÙNG CHỦ ĐỀ
Câu 1
Lời giải
Đáp án đúng là A
Phương pháp giải
Phản ứng phân hủy đá vôi: .
Lời giải
Khối lượng đá vôi cần sử dụng để tạo ra 420 tấn vôi sống là:
\({m_{{\rm{CaC}}{{\rm{O}}_3}}} = {n_{{\rm{CaC}}{{\rm{O}}_3}}}.100 = {n_{{\rm{CaO}}}}.100 = \frac{{420}}{{56}}.100 = 750\) tấn.
Để phân hủy 1 kg đá vôi cần cung cấp 1 lượng nhiệt là 1 800 kJ. Vậy để phân hủy 750 tấn đá vôi cần cung cấp lượng nhiệt là: \[{750.10^3}.1800 = {135.10^7}kJ\].
Vì lượng nhiệt mà đá vôi hấp thụ chỉ bằng 50% lượng nhiệt đốt cháy than đá nên lượng nhiệt do than đá đốt cháy và tỏa ra là: 270.107kJ.
Đốt cháy 1 kg than đá tỏa ta 27000 kJ. Khối lượng than đá cần đốt cháy để tỏa ra 270.107 kJ cho phản ứng phân hủy đá vôi là: \[\frac{{{{270.10}^7}}}{{27000}} = 100000kg = 100\] tấn.
Vậy tổng khối lượng đá vôi và than đá mà lò nung vôi trên sử dụng mỗi ngày là: 750 + 100 = 850 tấn.
Chọn đáp án A.
Câu 2
Lời giải
Đáp án đúng là D
Phương pháp giải
Quan sát bảng ta thấy để đạt được tỉ lệ ra hoa 99% cần chiếu sáng liên tục 5 giờ vào ban đêm.
Lời giải
Trong tự nhiên để điều khiển cây thanh long ra hoa đồng loạt vào thời điểm ngày ngắn, cần phải chiếu đèn sáng liên tục 5 tiếng từ 0 giờ và tắt đèn vào thời điểm 5 giờ 10 phút.
Câu 3
A. Thế hệ chúng tôi.
Lời giải
Bạn cần đăng ký gói VIP ( giá chỉ từ 199K ) để làm bài, xem đáp án và lời giải chi tiết không giới hạn.
Câu 4
Lời giải
Bạn cần đăng ký gói VIP ( giá chỉ từ 199K ) để làm bài, xem đáp án và lời giải chi tiết không giới hạn.
Câu 5
Lời giải
Bạn cần đăng ký gói VIP ( giá chỉ từ 199K ) để làm bài, xem đáp án và lời giải chi tiết không giới hạn.
Lời giải
Bạn cần đăng ký gói VIP ( giá chỉ từ 199K ) để làm bài, xem đáp án và lời giải chi tiết không giới hạn.
Lời giải
Bạn cần đăng ký gói VIP ( giá chỉ từ 199K ) để làm bài, xem đáp án và lời giải chi tiết không giới hạn.
