Đồ thị hàm số \(y = \frac{{5x + 1 - \sqrt {x + 1} }}{{{x^2} - 2x}}\) có tất cả bao nhiêu đường tiệm cận?
B. 1.
Quảng cáo
Trả lời:
Đáp án đúng là C
Phương pháp giải
Tìm các giới hạn
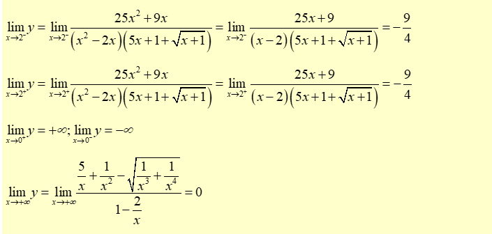
Lời giải
TXĐ: \(D = \left[ { - 1; + \infty } \right)/\left\{ {0;2} \right\}\)
Ta có

Vậy đồ thị của hàm số có hai đường tiệm cận có phương trình \(x = 2\) và \(y = 0\).
Hot: 1000+ Đề thi cuối kì 2 file word cấu trúc mới 2026 Toán, Văn, Anh... lớp 1-12 (chỉ từ 60k). Tải ngay
CÂU HỎI HOT CÙNG CHỦ ĐỀ
Câu 1
Lời giải
Đáp án đúng là A
Phương pháp giải
Trong mỗi câu đó có 4 ý. Mỗi ý có 2 khả năng Đúng hoặc Sai nên xác suất chọn đúng mỗi ý là \(\frac{1}{2}\) và xác suất chọn sai mỗi ý là \(\frac{1}{2}\). Từ đó ta xác định số ý đúng để được 4 điểm, 3 điểm, 2 điểm và tính xác suất.
Lời giải
Quy ước 2 câu hỏi còn lại là X, Y
Trong mỗi câu đó có 4 ý. Mỗi ý có 2 khả năng Đúng hoặc Sai nên xác suất chọn đúng mỗi ý là \(\frac{1}{2}\) và xác suất chọn sai mỗi ý là \(\frac{1}{2}\).
Để được 4 điểm thì An cần làm đúng tất cả 8 ý trong 2 câu X, Y
Do đó xác suất bạn An được 4 điểm phần trắc nghiệm đúng sai là \({\left( {\frac{1}{2}} \right)^8} = \frac{1}{{256}}\)
Câu 2
Lời giải
Đáp án đúng là A
Phương pháp giải
Trong mỗi câu đó có 4 ý. Mỗi ý có 2 khả năng Đúng hoặc Sai nên xác suất chọn đúng mỗi ý là \(\frac{1}{2}\) và xác suất chọn sai mỗi ý là \(\frac{1}{2}\). Từ đó ta xác định số ý đúng để được 4 điểm, 3 điểm, 2 điểm và tính xác suất.
Lời giải
Để bạn An được 3,5 điểm tức là An làm đúng hoàn toàn 1 trong 2 câu X, Y và sai 1 ý trong 1 câu còn lại
Xác suất để An đúng 1 trong 2 câu \({\rm{X}},{\rm{Y}}\) là \(C_2^1.{\left( {\frac{1}{2}} \right)^4} = \frac{1}{8}\)
Xác suất để An sai 1 ý trong câu còn lại là \(C_4^1.\frac{1}{2}.{\left( {\frac{1}{2}} \right)^3} = \frac{1}{2}\)
Vậy xác suất để An được 3,5 điểm phần trắc nghiệm là \(\frac{1}{8}.\frac{1}{2} = \frac{1}{{16}}\)
Câu 3
Lời giải
Bạn cần đăng ký gói VIP ( giá chỉ từ 250K ) để làm bài, xem đáp án và lời giải chi tiết không giới hạn.
Câu 4
Lời giải
Bạn cần đăng ký gói VIP ( giá chỉ từ 250K ) để làm bài, xem đáp án và lời giải chi tiết không giới hạn.
Lời giải
Bạn cần đăng ký gói VIP ( giá chỉ từ 250K ) để làm bài, xem đáp án và lời giải chi tiết không giới hạn.
Câu 6
Lời giải
Bạn cần đăng ký gói VIP ( giá chỉ từ 250K ) để làm bài, xem đáp án và lời giải chi tiết không giới hạn.
Câu 7
C. Đi săn bắn và vẽ tranh
Lời giải
Bạn cần đăng ký gói VIP ( giá chỉ từ 250K ) để làm bài, xem đáp án và lời giải chi tiết không giới hạn.