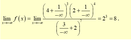
Cho hàm số \(f\left( x \right) = \frac{{{{(4x + 1)}^3}{{(2x + 1)}^4}}}{{{{(3 + 2x)}^7}}}\). Tính 
Quảng cáo
Trả lời:
Đáp án B

Hot: 1000+ Đề thi giữa kì 2 file word cấu trúc mới 2026 Toán, Văn, Anh... lớp 1-12 (chỉ từ 60k). Tải ngay
- Tuyển tập 30 đề thi đánh giá năng lực Đại học Quốc gia Hà Nội 2025 (Tập 1) ( 39.000₫ )
- Tuyển tập 15 đề thi Đánh giá tư duy Đại học Bách Khoa Hà Nội 2025 (Tập 1) ( 39.000₫ )
- Tuyển tập 30 đề thi đánh giá năng lực Đại học Quốc gia TP Hồ Chí Minh (2 cuốn) ( 140.000₫ )
- Tuyển tập 30 đề thi đánh giá năng lực Đại học Quốc gia Hà Nội, TP Hồ Chí Minh (2 cuốn) ( 150.000₫ )
CÂU HỎI HOT CÙNG CHỦ ĐỀ
Câu 1
Lời giải
Đáp án B
Hướng dẫn giải
Đoạn văn thảo luận về tác động của thương mại điện tử đến ngành bán lẻ.
Bản dịch đoạn văn: Sự trỗi dậy của thương mại điện tử đã cách mạng hóa bối cảnh bán lẻ, mang đến cho người tiêu dùng sự tiện lợi chưa từng có và khả năng tiếp cận một loạt các sản phẩm. Mua sắm trực tuyến cho phép khách hàng duyệt và mua hàng từ bất kỳ đâu trên thế giới vào bất kỳ thời điểm nào trong ngày, loại bỏ nhu cầu đến các cửa hàng thực. Sự thay đổi trong hành vi của người tiêu dùng này đã có tác động sâu sắc đến các nhà bán lẻ truyền thống, buộc họ phải thích ứng và đổi mới để duy trì khả năng cạnh tranh. Nhiều nhà bán lẻ hiện đang tích hợp trải nghiệm trực tuyến và ngoại tuyến, cung cấp các dịch vụ như nhấp chuột và nhận hàng và trả lại hàng mua trực tuyến tại cửa hàng. Tương lai của bán lẻ có thể nằm ở sự kết hợp liền mạch giữa các kênh trực tuyến và ngoại tuyến, mang đến cho khách hàng trải nghiệm mua sắm được cá nhân hóa và tích hợp.
Câu 2
B. The challenges of the sharing economy.
Lời giải
Đáp án C
Hướng dẫn giải
Đoạn văn định nghĩa và đưa ra các hình thức của nền kinh tế chia sẻ.
Bản dịch đoạn văn: Nền kinh tế chia sẻ, thường được gọi là nền kinh tế hợp tác, là một hệ thống kinh tế-xã hội được xây dựng dựa trên việc chia sẻ nguồn nhân lực và vật chất. Nó bao gồm việc cùng nhau tạo ra, sản xuất, phân phối, trao đổi và tiêu thụ hàng hóa và dịch vụ của những người và tổ chức khác nhau. Điều này có thể diễn ra dưới nhiều hình thức khác nhau, bao gồm sử dụng nền tảng trực tuyến để cho thuê phòng trống, ô tô hoặc dụng cụ; tham gia dịch vụ đi chung xe hoặc chia sẻ xe; hoặc trao đổi hàng hóa và dịch vụ trong cộng đồng. Những người ủng hộ nền kinh tế chia sẻ nhấn mạnh tiềm năng của nó trong việc thúc đẩy tính bền vững, giảm thiểu chất thải và thúc đẩy các cộng đồng mạnh mẽ hơn. Tuy nhiên, các nhà phê bình lại bày tỏ lo ngại về những thách thức pháp lý, bóc lột lao động và khả năng gián đoạn các ngành công nghiệp truyền thống. Khi nền kinh tế chia sẻ tiếp tục phát triển, việc điều hướng những phức tạp này sẽ rất quan trọng để đảm bảo thành công lâu dài và tác động xã hội tích cực của nó.
Câu 3
Lời giải
Bạn cần đăng ký gói VIP ( giá chỉ từ 199K ) để làm bài, xem đáp án và lời giải chi tiết không giới hạn.
Câu 4
Lời giải
Bạn cần đăng ký gói VIP ( giá chỉ từ 199K ) để làm bài, xem đáp án và lời giải chi tiết không giới hạn.
Câu 5
C. Số chiếc lá còn lại trên cây thường xuân.
Lời giải
Bạn cần đăng ký gói VIP ( giá chỉ từ 199K ) để làm bài, xem đáp án và lời giải chi tiết không giới hạn.
Câu 6
Lời giải
Bạn cần đăng ký gói VIP ( giá chỉ từ 199K ) để làm bài, xem đáp án và lời giải chi tiết không giới hạn.
Câu 7
Lời giải
Bạn cần đăng ký gói VIP ( giá chỉ từ 199K ) để làm bài, xem đáp án và lời giải chi tiết không giới hạn.