Cho đa thức \(P\left( x \right) = - 2 - 3{x^4} - x - 5{x^3} + 10x - 17{x^2} + \frac{1}{2}{x^3} - 5 + {x^3}\).
(a) Thu gọn đa thức trên tồi sắp xếp chúng theo lũy thừa giảm dần của biến.
(b) Xác định bậc, hệ số cao nhất, hệ số tự do của đa thức \(P\left( x \right)\). Tính \(P\left( { - 2} \right)\).
(c) Tìm đa thức \(Q\left( x \right)\) sao cho \(Q\left( x \right) - P\left( x \right) = 2{x^4} - \frac{1}{2}{x^3} - 19x - 1\).
(d) Tìm đa thức dư trong phép chia \(P\left( x \right):\left( {2 - x} \right).\)
Quảng cáo
Trả lời:
a) Ta có: \(P\left( x \right) = - 2 - 3{x^4} - x - 5{x^3} + 10x - 17{x^2} + \frac{1}{2}{x^3} - 5 + {x^3}\)
\(P\left( x \right) = - 3{x^4} + \left( { - 5{x^3} + \frac{1}{2}{x^3} + {x^3}} \right) - 17{x^2} + \left( {10x - x} \right) - 5 - 2\)
\(P\left( x \right) = - 3{x^4} - \frac{7}{2}{x^3} - 17{x^2} + 9x - 7\).
b) Ta có bậc của đa thức \(P\left( x \right)\) là 4, hệ số cao nhất là \( - 3\) và hệ số tự do là \( - 7\).
Ta có: \(P\left( { - 2} \right) = - 3.{\left( { - 2} \right)^4} - \frac{7}{2}.{\left( { - 2} \right)^3} - 17.{\left( { - 2} \right)^2} + 9.\left( { - 2} \right) - 7\)
\(P\left( { - 2} \right) = - 49\).
c) Ta có: \(Q\left( x \right) - P\left( x \right) = 2{x^4} - \frac{1}{2}{x^3} - 19x - 1\)
Do đó, \(Q\left( x \right) = P\left( x \right) + 2{x^4} - \frac{1}{2}{x^3} - 19x - 1\)
\(Q\left( x \right) = - 3{x^4} - \frac{7}{2}{x^3} - 17{x^2} + 9x - 7 + 2{x^4} - \frac{1}{2}{x^3} - 19x - 1\)
\(Q\left( x \right) = \left( { - 3{x^4} + 2{x^4}} \right) + \left( { - \frac{7}{2}{x^3} - \frac{1}{2}{x^3}} \right) - 17{x^2} + \left( {9x - 19x} \right) - 7 - 1\)
\(Q\left( x \right) = - {x^4} - 4{x^3} - 17{x^2} - 10x - 8\).
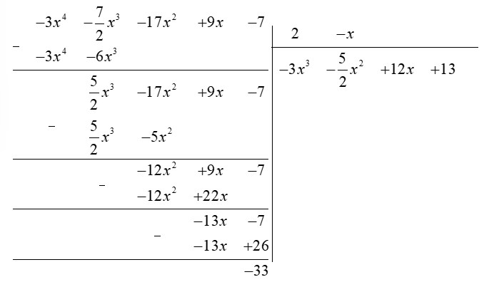
d) Thực hiện phép chia \(P\left( x \right):\left( {2 - x} \right),\) ta có:

Vậy dư của phép chia \(P\left( x \right):\left( {2 - x} \right)\) là \( - 33\).
Hot: 1000+ Đề thi cuối kì 2 file word cấu trúc mới 2026 Toán, Văn, Anh... lớp 1-12 (chỉ từ 60k). Tải ngay
CÂU HỎI HOT CÙNG CHỦ ĐỀ
Lời giải

a) Xét và có:
(do là trung điểm của 0;
(đối đỉnh);
(giả thiết)
Do đó .
b) Do (câu a) nên (hai cạnh tương ứng).
Xét có: (bất đẳng thức tam giác)
Do đó
Mà (do nên là trung điểm của ).
Vậy .
c) Xét có đường trung tuyến và nên là trọng tâm của
Do đó là đường trung tuyến nên là trung điểm của .
Xét có là hai đường trung tuyến và cắt nhau tại nên là trọng tâm của .
Do đó
Mà nên hay .
Lời giải

a) Xét \(\Delta CAB\) và \(\Delta CAD\) có \(\widehat {CAB} = \widehat {CAD} = 90^\circ \)
\(AD = AB\)
Cạnh \(CA\) chung
Do đó \(\Delta CAB = \Delta CAD\,\,{\rm{(c}}{\rm{.g}}{\rm{.c)}}\).
Suy ra \(CB = CD\) (hai cạnh tương ứng)
Mặt khác \(BD = 2AB = 2 \cdot 3 = 6 = CB.\)
Do đó \(CB = CD = BD\).
Vậy tam giác \(BCD\) là tam giác đều.
b) Theo giả thiết \(CA = CM\) nên \(\Delta CAM\) cân tại \(C\).
Suy ra \(\widehat {CAM} = \widehat {CMA} = \frac{{180^\circ - \widehat {ACM}}}{2} = \frac{{180^\circ - 30^\circ }}{2} = 75^\circ \).
• Xét \(\Delta AHM\) vuông ta có
\(\widehat {MAH} = 180^\circ - \widehat {AHM} - \widehat {AMH}\)\( = 180^\circ - 90^\circ - 75^\circ = 15^\circ \).
• Xét \(\Delta AHB\) ta có
\(\widehat {HAB} = 180^\circ - \widehat {AHB} - \widehat {HBA}\)\( = 180^\circ - 90^\circ - 60^\circ = 30^\circ \).
Mặt khác \(\widehat {MAN} = \widehat {MAB} - \widehat {MAH}\)\( = 30^\circ - 15^\circ = 15^\circ \).
Do đó \(\widehat {MAH} = \widehat {MAN} = 15^\circ \).
• Xét \(\Delta MAN\) và \(\Delta MAH\) có:
\(AN = AH\), \(\widehat {MAH} = \widehat {MAN}\) và cạnh \(AM\) chung.
Do đó \(\Delta MAN = \Delta MAH\,\,{\rm{(c}}{\rm{.g}}{\rm{.c)}}\).
Suy ra \(\widehat {ANM} = \widehat {AHM} = 90^\circ \). Vậy \(MN \bot AB\).
Lời giải
Bạn cần đăng ký gói VIP ( giá chỉ từ 250K ) để làm bài, xem đáp án và lời giải chi tiết không giới hạn.
Lời giải
Bạn cần đăng ký gói VIP ( giá chỉ từ 250K ) để làm bài, xem đáp án và lời giải chi tiết không giới hạn.
Lời giải
Bạn cần đăng ký gói VIP ( giá chỉ từ 250K ) để làm bài, xem đáp án và lời giải chi tiết không giới hạn.
Lời giải
Bạn cần đăng ký gói VIP ( giá chỉ từ 250K ) để làm bài, xem đáp án và lời giải chi tiết không giới hạn.
Lời giải
Bạn cần đăng ký gói VIP ( giá chỉ từ 250K ) để làm bài, xem đáp án và lời giải chi tiết không giới hạn.