Cho đa thức . Biết nhận làm nghiệm và chia hết cho đa thức . Chứng minh và là hai số đối nhau.
Quảng cáo
Trả lời:
Do nhận làm nghiệm nên ta có \(A\left( { - 1} \right) = 0\)
Do đó \(a.{\left( { - 1} \right)^2} + b.\left( { - 1} \right) + c = 0\), suy ra \(a - b + c = 0\,\,\,\,\left( 1 \right)\)
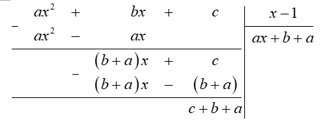
Ta thực hiện đặt tính chia đa thức \(A\left( x \right)\) cho đa thức \(x - 1\) như sau:

Để \(A\left( x \right)\) chia hết cho đa thức \(x - 1\) thì \(c + b + a = 0\,\,\,\,\left( 2 \right)\)
Từ \(\left( 1 \right)\) và \(\left( 2 \right)\) ta có \(a - b + c = c + b + a\)
Suy ra \(2b = 0\), nên \(b = 0\).
Thay \(b = 0\) vào \(\left( 1 \right)\) ta được \(a + c = 0\), do đó \(a = - c\).
Vậy \(a\) và \(c\) là hai số đối nhau.
Lưu ý: Với dữ kiện \(A\left( x \right)\) chia hết cho đa thức \(x - 1\) ta có thể suy ra điều kiện \(\left( 2 \right)\) theo cách sau:
\(A\left( x \right)\) chia hết cho đa thức \(x - 1\) nên ta có:
\(A\left( x \right) = \left( {x - 1} \right).Q\left( x \right)\) với \(Q\left( x \right)\) là thương của phép chia đa thức \(A\left( x \right)\) cho đa thức \(x - 1\).
Khi đó \(A\left( 1 \right) = \left( {1 - 1} \right).Q\left( 1 \right) = 0\) hay \(A\left( 1 \right) = 0\).
Suy ra \(a + b + c = 0\) \(\left( 2 \right)\).
Hot: 1000+ Đề thi cuối kì 2 file word cấu trúc mới 2026 Toán, Văn, Anh... lớp 1-12 (chỉ từ 60k). Tải ngay
CÂU HỎI HOT CÙNG CHỦ ĐỀ
Lời giải
a) Rút gọn và sắp xếp đa thức \(M\left( x \right)\) theo lũy thừa giảm dần của biến, ta được:
\(M\left( x \right) = 3x + {x^4} - 4{x^3} - {x^2} - 2{x^4} + 4{x^3} - x - 5\)
\( = \left( {{x^4} - 2{x^4}} \right) + \left( {4{x^3} - 4{x^3}} \right) - {x^2} + \left( {3x - x} \right) - 5\)
\( = - {x^4} - {x^2} + 2x - 5\).
Vậy \(M\left( x \right) = - {x^4} - {x^2} + 2x - 5\).
b) • \(A\left( x \right) = M\left( x \right) + N\left( x \right) = \left( { - {x^4} - {x^2} + 2x - 5} \right) + \left( {2x + 3} \right)\)
\( = - {x^4} - {x^2} + 2x - 5 + 2x + 3\)
\[ = - {x^4} - {x^2} + \left( {2x + 2x} \right) + \left( {3 - 5} \right)\]
\[ = - {x^4} - {x^2} + 4x - 2\].
• \[B\left( x \right) = N\left( x \right) - M\left( x \right) = \left( {2x + 3} \right) - \left( { - {x^4} - {x^2} + 2x - 5} \right)\]
\[ = 2x + 3 + {x^4} + {x^2} - 2x + 5\]
\[ = {x^4} + {x^2} + \left( {2x - 2x} \right) + \left( {3 + 5} \right) = {x^4} + {x^2} + 8\].
Vậy \[A\left( x \right) = - {x^4} - {x^2} + 4x - 2\]; \[B\left( x \right) = {x^4} + {x^2} + 8\].
c) Nghiệm của đa thức \(N\left( x \right)\) là
\(2x + 3 = 0\)
\(2x = - 3\)
\(x = - \frac{3}{2}\).
Vậy nghiệm của đa thức \(N\left( x \right)\) là \(x = - \frac{3}{2}\).
d) Ta có \(B\left( x \right) = {x^4} + {x^2} + 8 = {x^4} + 2 \cdot \frac{1}{2}{x^2} + \frac{1}{4} + \frac{{31}}{4}\)
\( = {\left( {{x^2} + \frac{1}{2}} \right)^2} + \frac{{31}}{4} > 0{\kern 1pt} \,\,\forall x \in \mathbb{R}\)
Do đó \(B\left( x \right)\) vô nghiệm.
Lời giải

a) Xét và có:
(do là trung điểm của 0;
(đối đỉnh);
(giả thiết)
Do đó .
b) Do (câu a) nên (hai cạnh tương ứng).
Xét có: (bất đẳng thức tam giác)
Do đó
Mà (do nên là trung điểm của ).
Vậy .
c) Xét có đường trung tuyến và nên là trọng tâm của
Do đó là đường trung tuyến nên là trung điểm của .
Xét có là hai đường trung tuyến và cắt nhau tại nên là trọng tâm của .
Do đó
Mà nên hay .
Lời giải
Bạn cần đăng ký gói VIP ( giá chỉ từ 250K ) để làm bài, xem đáp án và lời giải chi tiết không giới hạn.
Lời giải
Bạn cần đăng ký gói VIP ( giá chỉ từ 250K ) để làm bài, xem đáp án và lời giải chi tiết không giới hạn.
Lời giải
Bạn cần đăng ký gói VIP ( giá chỉ từ 250K ) để làm bài, xem đáp án và lời giải chi tiết không giới hạn.
Lời giải
Bạn cần đăng ký gói VIP ( giá chỉ từ 250K ) để làm bài, xem đáp án và lời giải chi tiết không giới hạn.
Lời giải
Bạn cần đăng ký gói VIP ( giá chỉ từ 250K ) để làm bài, xem đáp án và lời giải chi tiết không giới hạn.