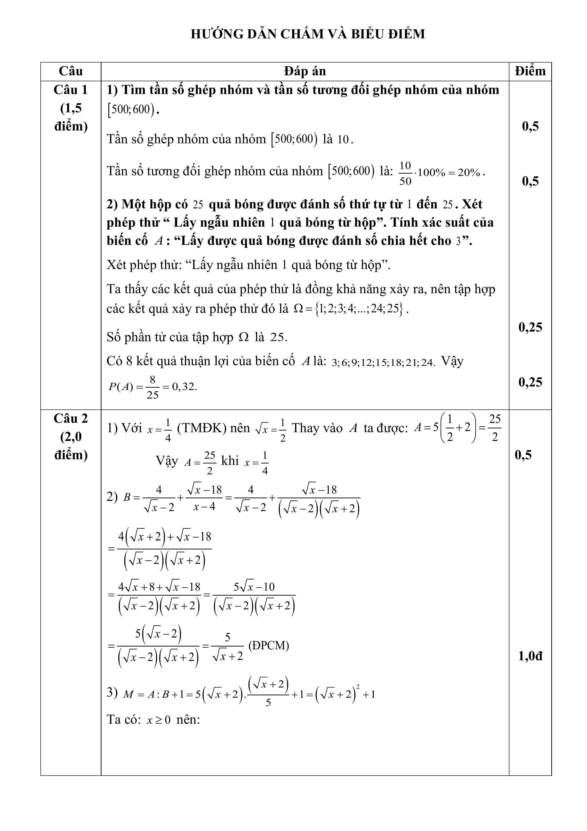
Đề thi Giữa kì 2 Toán 9 trường THCS Thanh Mỹ (Hà Nội) năm 2024–2025
Khoahoc.vietjack.com cập nhật Đề thi Giữa kì 2 Toán 9 trường THCS Thanh Mỹ, thành phố Hà Nội năm 2024 – 2025 sẽ giúp học sinh lớp 9 có thêm tài liệu ôn thi Toán 9 Giữa học kì 2. Mời các bạn đón đọc:
Xem thử Đề thi GK2 Toán 9 KNTTXem thử Đề thi GK2 Toán 9 CTST Xem thử Đề thi GK2 Toán 9 CD
Chỉ từ 150k mua trọn bộ đề thi Toán 9 Giữa kì 2 bản word có lời giải chi tiết, dễ dàng chỉnh sửa:
B1: gửi phí vào tk: 1133836868 - CT TNHH DAU TU VA DV GD VIETJACK - Ngân hàng MB (QR)
B2: Nhắn tin tới Zalo VietJack Official - nhấn vào đây để thông báo và nhận giáo án
A. Tóm tắt nội dung một số câu trong Đề thi Giữa kì 2 Toán 9
...........................................................................................
...........................................................................................
Câu 3: (2,0 điểm)
Bác An chia số tiền 800 triệu đồng của mình cho hai khoản đầu tư. Sau một năm, tổng số tiền lãi thu được là 54 triệu đồng. Lãi suất cho khoản đầu tư thứ nhất là 6%/năm và khoản đầu tư thứ hai là 8%/năm. Tính số tiền bác An đầu tư cho mỗi khoản?
...........................................................................................
...........................................................................................
Câu 5: (0,5 điểm)
Một bể bơi mini có dạng hình hộp chữ nhật có mặt đáy MNPQ là hình vuông (hình vẽ). Hãy tìm độ dài cạnh MN của mặt đáy và chiều cao AM của bể bơi sao cho tổng diện tích các mặt làm bể bơi (bao gồm 4 mặt xung quanh và một mặt đáy) là nhỏ nhất, biết rằng thể tích của bể bơi là 4m^3.
...........................................................................................
B. Nội dung Đề thi giữa học kì 2 Toán 9 trường THCS Thanh Mỹ (Hà Nội) năm 2024–2025










C. Chiến lược ôn thi Giữa kì 2 Toán 9 hiệu quả
Qua đề thi Giữa kì 2 Toán 9 trường THCS Thanh Mỹ (Hà Nội) năm 2024–2025 trên, các em đã nắm được cấu trúc cũng như các dạng bài tập có trong đề thi. Cùng tham gia ôn luyện các Đề thi Giữa kì 2 Toán 9 theo cấu trúc mới nhất trên khoahoc.vietjack.com để ôn thi Toán 9 Giữa kì 2 đạt kết quả cao.