Đề thi tuyển sinh Toán vào lớp 10 năm 2025-2026 trường THPT chuyên Hà Tĩnh
Khoahoc.vietjack.com cập nhật Đề thi tuyển sinh Toán vào lớp 10 năm 2025-2026 trường THPT chuyên Hà Tĩnh sẽ giúp học sinh nắm được cấu trúc đề thi và có thêm tài liệu ôn thi vào lớp 10 môn Toán. Mời các bạn đón đọc:
- Bộ đề thi Toán vào 10 năm 2025 có đầy đủ lời giải chi tiết:
Xem thử Bộ đề thi thử vào 10 Toán 2025Xem thử Bộ đề thi vào 10 Toán 2025 Xem thử Chuyên đề Toán ôn vào 10
- Bộ đề thi vào 10 môn Toán Hà Nội, Tp.HCM, Đà Nẵng gồm 8 đề thi CHÍNH THỨC từ năm 2015 → 2024 có lời giải chi tiết giúp Giáo viên có thêm tài liệu ôn thi Toán vào 10 Hà Nội, Tp.HCM, Đà Nẵng:
Xem thử Đề vào 10 Hà NộiXem thử Đề vào 10 TP.HCMXem thử Đề vào 10 Đà Nẵng
Chỉ từ 150k mua trọn bộ Đề ôn thi vào 10 môn Toán năm 2026 theo cấu trúc mới bản word có lời giải chi tiết:
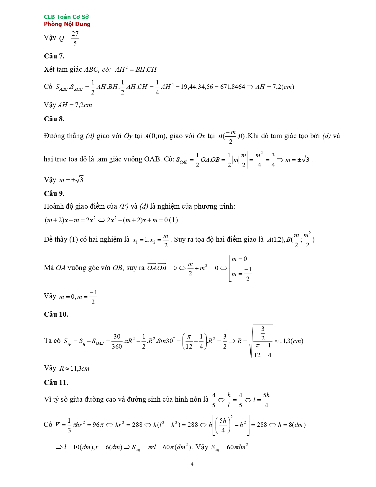
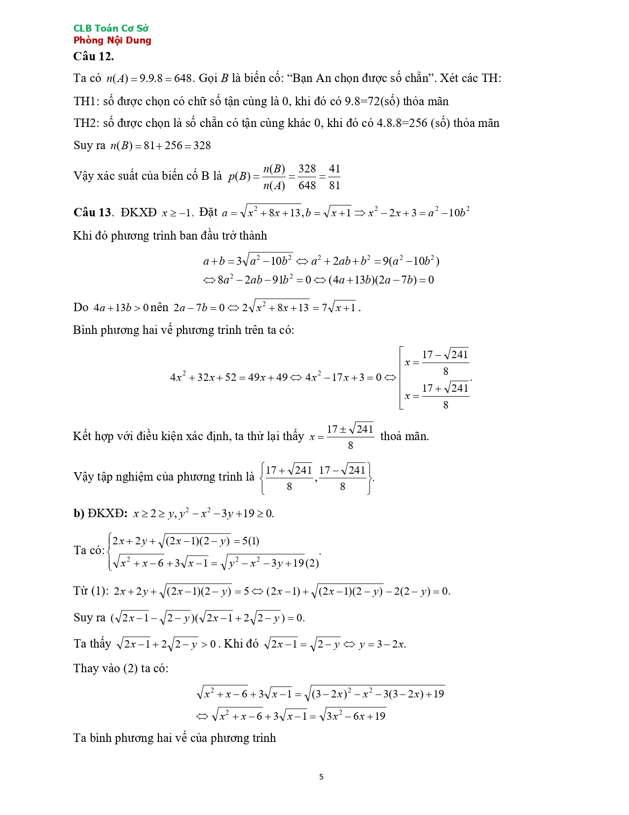
A. Tóm tắt nội dung một số câu trong Đề thi Toán vào lớp 10
I- PHẦN GHI KẾT QUẢ (Thí sinh chỉ cần ghi kết quả vào tờ giấy thị).
Mỗi câu trả lời đúng 0,25 điểm.
Câu 1. Tìm m để phương trình x^2 - 2(m + 1)x - 3 = 0 có hai nghiệm là các số nguyên.
Câu 12. Gọi A là tập hợp các số tự nhiên có 3 chữ số đôi một khác nhau. Bạn An chọn ngẫu nhiên một số trong tập hợp A. Tính xác suất bạn An chọn được số chẫn.
II- PHẦN TỰ LUẬN (Thí sinh trình bày lời giải vào tờ giấy thi).
Câu 15 (2 điểm). Cho tam giác ABC nhọn (AB < AC) nội tiếp đường tròn (O). Gọi I là tâm đường tròn nội tiếp tam giác ABC. Đường thẳng AI cắt đường tròn (O) tại D (khác A), đường thẳng qua 1 vuông góc với AD cắt đường thẳng BC tại S. Gọi J là điểm đối xứng của 1 qua O.
a) Chứng minh D là tâm đường tròn ngoại tiếp tam giác BIC và SDJ là tam giác vuông.
b) Gọi P là hình chiếu vuông góc của S trên đường thẳng OI. Gọi M là trung điểm BC và Q là glao, điểm (khác M) của Mĩ với đường tròn ngoại tiếp tam giác OMS. Chứng minh ba điểm A, P, Q thẳng hàng.
...........................................................................................
B. Nội dung Đề thi Toán vào lớp 10 năm 2025 - 2026 trường THPT chuyên Hà Tĩnh








C. Chiến lược ôn thi vào 10 môn Toán hiệu quả
Qua đề thi tuyển sinh Toán vào lớp 10 năm 2025-2026 trường THPT chuyên Hà Tĩnh trên, các em đã nắm được cấu trúc cũng như các dạng bài tập có trong đề thi. Cùng tham gia ôn luyện các Đề thi Toán vào lớp 10 mới nhất trên khoahoc.vietjack.com để ôn thi Toán đạt kết quả cao.
TÀI LIỆU LIÊN QUAN
Mở khóa kho tài liệu VIP cực lớn!
Không giới hạn lượt tải, xem tài liệu độc quyền từ các giáo viên hàng đầu.
Nâng cấp ngay