PHẦN IV. Câu hỏi tự luận.Thí sinh trình bày lời giải vào giấy làm bài.
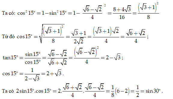
Biết rằng \(\sin {15^ \circ } = \frac{{\sqrt 6 - \sqrt 2 }}{4}\). Tính các giá trị lượng giác còn lại của góc \({15^ \circ }\). Chứng minh\(2\sin {15^ \circ }.\cos {15^ \circ } = \sin {30^ \circ }\)
PHẦN IV. Câu hỏi tự luận.Thí sinh trình bày lời giải vào giấy làm bài.
Biết rằng \(\sin {15^ \circ } = \frac{{\sqrt 6 - \sqrt 2 }}{4}\). Tính các giá trị lượng giác còn lại của góc \({15^ \circ }\). Chứng minh\(2\sin {15^ \circ }.\cos {15^ \circ } = \sin {30^ \circ }\)
Câu hỏi trong đề: Bộ 10 đề thi giữa kì 1 Toán 10 có đáp án !!
Quảng cáo
Trả lời:

Hot: 1000+ Đề thi giữa kì 1 file word cấu trúc mới 2025 Toán, Văn, Anh... lớp 1-12 (chỉ từ 60k). Tải ngay
- Trọng tâm Toán, Văn, Anh 10 cho cả 3 bộ KNTT, CTST, CD VietJack - Sách 2025 ( 13.600₫ )
- Sách - Sổ tay kiến thức trọng tâm Vật lí 10 VietJack - Sách 2025 theo chương trình mới cho 2k9 ( 31.000₫ )
- Sách lớp 10 - Combo Trọng tâm Toán, Văn, Anh và Lí, Hóa, Sinh cho cả 3 bộ KNTT, CD, CTST VietJack ( 75.000₫ )
- Sách lớp 11 - Trọng tâm Toán, Lý, Hóa, Sử, Địa lớp 11 3 bộ sách KNTT, CTST, CD VietJack ( 52.000₫ )
CÂU HỎI HOT CÙNG CHỦ ĐỀ
Lời giải
|
Trả lời |
1 |
0 |
|
|
Gọi là số tấn trục sắt và đinh ốc sản xuất trong ngày.
Số tiền lãi mỗi ngày: \(L(x,y) = 2x + y\) (triệu đồng).
Số giờ làm việc mỗi ngày của máy cắt: \[3x + y\] (giờ).
Số giờ làm việc mỗi ngày của máy tiện: \(x + y\) (giờ).
Ta có hệ phương trình: \(\left\{ \begin{array}{l}3x + y \le 6\\x + y \le 4\\x \ge 0\\y \ge 0\end{array} \right.\,\)![]()
Bài toán trở thành: Trong các nghiệm của hệ bất phương trình \(\left( * \right)\), tìm nghiệm \[({x_0};{y_0})\] sao cho \[L\left( {x;y} \right) = 2x + y\] lớn nhất.

Miền nghiệm của \((*)\) là tứ giác \(OABC\)như hình vẽ với \(O(0;0),A(2;0),B(1;3),C(0;4)\).
Ta có: \(L(0;0) = 0,L(2;0) = 4,L(1,3) = 5,L(0,4) = 4\).
Suy ra: GTLN của \(L\left( {x;y} \right)\) bằng \(5\) khi \(\left( {x;y} \right) = \left( {1;3} \right)\)
Vậy một ngày xưởng nên sản xuất 1 tấn trục sắt và 3 tấn đinh ốc để tiền lãi cao nhất.
Khi đó \(a = 1,\;b = 3\;\)nên \(a + 3b = 10\).
Lời giải
Gọi số xe máy loại \(A\) và \(B\) cần đầu tư lần lượt là \(x\) và \(y\) (\(x,y \in \mathbb{N}\)).
Do tổng số vốn ban đầu không vượt quá \(4,8\) tỉ đồng nên ta có \(\)40\cdot 10^6x+60\cdot 10^6y\leq 4{,}8\cdot 10^9\Leftrightarrow 2x+3y\leq 240.\(\)
Vì tổng nhu cầu hàng tháng sẽ không vượt quá \(90\) chiếc cả hai loại nên \(x + y \le 90\).
Lợi nhuận thu được là \(F = 8 \cdot {10^6}x + 10 \cdot {10^6}y = 2 \cdot {10^6} \cdot (4x + 5y)\).
Ta có hệ bất phương trình \(\left\{ {\begin{array}{*{20}{l}}{x + y \le 90}\\{2x + 3y \le 240}\\{x \ge 0}\\{y \ge 0.}\end{array}} \right.\)

Miền nghiệm của hệ bất phương trình là miền tứ giác \(OABC\) kể cả các cạnh của tứ giác.
Tại \(O\) ta có \(F = 2 \cdot {10^6}(4 \cdot 0 + 5 \cdot 0) = 0\).
Tại \(A(90;0)\) ta có \(F = 2 \cdot {10^6}(4 \cdot 90 + 5 \cdot 0) = 720 \cdot {10^6}\).
Tại \(B(30;60)\) ta có \(F = 2 \cdot {10^6}(4 \cdot 30 + 5 \cdot 60) = 840 \cdot {10^6}\).
Tại \(C(0;80)\) ta có \(F = 2 \cdot {10^6}(4 \cdot 0 + 5 \cdot 80) = 800 \cdot {10^6}\).
\(F\)đạt giá trị lớn nhất khi \(x = 30\) và \(y = 60\).
Vậy cần đầu tư kinh doanh loại \(A\) là \(30\) chiếc và loại \(B\) là \(60\) chiếc để thu được lợi nhuận lớn nhất.
Suy ra \(a = 30\) và \(b = 60\), \(a \cdot b = 1800\).
Câu 3
A. \(136m\).
Lời giải
Bạn cần đăng ký gói VIP ( giá chỉ từ 199K ) để làm bài, xem đáp án và lời giải chi tiết không giới hạn.
Câu 4
Lời giải
Bạn cần đăng ký gói VIP ( giá chỉ từ 199K ) để làm bài, xem đáp án và lời giải chi tiết không giới hạn.
Lời giải
Bạn cần đăng ký gói VIP ( giá chỉ từ 199K ) để làm bài, xem đáp án và lời giải chi tiết không giới hạn.
Lời giải
Bạn cần đăng ký gói VIP ( giá chỉ từ 199K ) để làm bài, xem đáp án và lời giải chi tiết không giới hạn.
Câu 7
A. \(\frac{{2a}}{3}\).
Lời giải
Bạn cần đăng ký gói VIP ( giá chỉ từ 199K ) để làm bài, xem đáp án và lời giải chi tiết không giới hạn.



