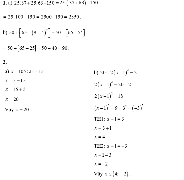
1. Thực hiện phép tính:
(a) \(25\,\,.\,\,37\, + \,25\,\,.\,\,63\, - \,150\)
(b) \(50 + \left[ {65 - {{\left( {9 - 4} \right)}^2}} \right]\).
2. Tìm \[x\], biết:
(a) \[x--105:21 = 15\]
(b) \(20--2{\left( {x - 1} \right)^2} = 2\).
Câu hỏi trong đề: Bộ 10 đề thi giữa kì 1 Toán 6 Cánh diều có đáp án !!
Quảng cáo
Trả lời:

Hot: 1000+ Đề thi cuối kì 1 file word cấu trúc mới 2025 Toán, Văn, Anh... lớp 1-12 (chỉ từ 60k). Tải ngay
CÂU HỎI HOT CÙNG CHỦ ĐỀ
Lời giải

a) Diện tích mảnh vườn hình chữ nhật là: \[25\,\,.\,\,10 = 250\] (m2).
Vậy mảnh vườn có diện tích 250 m2.
b) Chiều dài bức tường cần xây là: \[\left( {10 + 25} \right)\,\,.\,\,2 - 2 = 68\] (m)
Chi phí xây dựng bức tường là: \[68\,\,.{\rm{ }}840{\rm{ }}000 = 57{\rm{ }}120{\rm{ }}000\] (đồng).
Vậy chi phí để xây dựng bức tường là \[57{\rm{ }}120{\rm{ }}000\] đồng.
Lời giải
Số phần thưởng được chia phải là ước của cả \(70\) và \(105\).
Số phần thưởng được chia phải là nhiều nhất có thể.
Vì vậy, số nhóm được chia là ước chung lớn nhất của \(70\) và \(105\).
Ta có ƯCLN\(\left( {70,\,\,105} \right) = 35\). Do đó cần chia thành \(35\) phần thưởng.
Số quyển vở trong mỗi phần thưởng là:
\(70:35 = 2\) (quyển vở).
Số bút bi trong mỗi phần thưởng là:
\(105:35 = 3\) (bút bi).
Vậy mỗi phần thưởng có \(2\) quyển vở, 3 bút bi.
Lời giải
Bạn cần đăng ký gói VIP ( giá chỉ từ 199K ) để làm bài, xem đáp án và lời giải chi tiết không giới hạn.
Lời giải
Bạn cần đăng ký gói VIP ( giá chỉ từ 199K ) để làm bài, xem đáp án và lời giải chi tiết không giới hạn.
Câu 5
\(\left\{ {0;\,\,12;\,\,24;\,\,36;...} \right\}\)
\(\left\{ {1;\,\,2;\,\,3;\,\,4;\,\,6;\,\,12} \right\}\)
\(\left\{ {12;\,\,24;\,\,36;\,\,...} \right\}\)
\(\left\{ {1;\,\,2;\,\,3;\,\,4;\,\,6} \right\}\).
Lời giải
Bạn cần đăng ký gói VIP ( giá chỉ từ 199K ) để làm bài, xem đáp án và lời giải chi tiết không giới hạn.
Câu 6
\(14\,\,200\)
\(1\,\,420\)
\(100\,\,040\,\,020\)
\(1\,\,402\).
Lời giải
Bạn cần đăng ký gói VIP ( giá chỉ từ 199K ) để làm bài, xem đáp án và lời giải chi tiết không giới hạn.
Câu 7
\[11\]
\[13\]
\[14\]
\[12\].
Lời giải
Bạn cần đăng ký gói VIP ( giá chỉ từ 199K ) để làm bài, xem đáp án và lời giải chi tiết không giới hạn.