Quảng cáo
Trả lời:
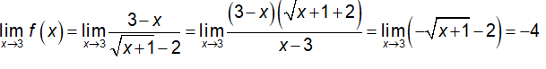
Ta có \[f\left( 3 \right) = 2m - 1\]; 
Để hàm số liên tục tại x = 3 thì \(\mathop {\lim }\limits_{x \to 3} f\left( x \right) = f\left( 3 \right)\).
Suy ra \(2m - 1 = - 4 \Leftrightarrow m = - \frac{3}{2}\). Vậy \(m = - \frac{3}{2}\).
Hot: 1000+ Đề thi giữa kì 2 file word cấu trúc mới 2026 Toán, Văn, Anh... lớp 1-12 (chỉ từ 60k). Tải ngay
- Trọng tâm Hóa học 11 dùng cho cả 3 bộ sách Kết nối, Cánh diều, Chân trời sáng tạo VietJack - Sách 2025 ( 58.000₫ )
- Sách - Sổ tay kiến thức trọng tâm Vật lí 11 VietJack - Sách 2025 theo chương trình mới cho 2k8 ( 45.000₫ )
- Sách lớp 11 - Trọng tâm Toán, Lý, Hóa, Sử, Địa lớp 11 3 bộ sách KNTT, CTST, CD VietJack ( 52.000₫ )
- Sách lớp 10 - Combo Trọng tâm Toán, Văn, Anh và Lí, Hóa, Sinh cho cả 3 bộ KNTT, CD, CTST VietJack ( 75.000₫ )
CÂU HỎI HOT CÙNG CHỦ ĐỀ
Câu 1
Lời giải
Chọn D
Ta có \[\mathop {\lim }\limits_{x \to {x_{_0}}} {\rm{ }}\left[ {{\rm{f}}\left( x \right) - g\left( x \right)} \right] = \mathop {\lim }\limits_{x \to {x_{_0}}} {\rm{ f}}\left( x \right) - \mathop {\lim }\limits_{x \to {x_{_0}}} {\rm{ }}g\left( x \right) = L - M\].
Lời giải

a. Ta có \[\frac{{SM}}{{SA}} = \frac{2}{3}\], \[\frac{{SN}}{{SB}} = \frac{2}{3}.\]\[ \Rightarrow \]\[MN\]//\[AB\]\[ \Rightarrow MN//\left( {ABCD} \right).\]
b. Ta có \[\left( \alpha \right)\parallel AB\] và \[BC\] suy ra \[\left( \alpha \right)\parallel \left( {ABCD} \right).\]
Giả sử \[\left( \alpha \right)\] cắt các mặt bên \[\left( {SAB} \right),\,\,\left( {SBC} \right),\,\,\left( {SCD} \right),\,\,\left( {SDA} \right)\] lần lượt tại các điểm M, \[N,\,\,P,\,\,Q\] với \[N \in SB,\,\,P \in SC,\,\,Q \in SD\,\]suy ra \[\left( \alpha \right) \equiv \left( {MNPQ} \right)\,.\]
Khi đó \[MN\]//\[AB\]\[ \Rightarrow \,\,\,\frac{{SM}}{{SA}} = \frac{{MN}}{{AB}} = \frac{2}{3}\,.\]
Tương tự, ta có được \[\frac{{NP}}{{BC}} = \frac{{PQ}}{{CD}} = \frac{{QM}}{{DA}} = \frac{2}{3}\] và \[MNPQ\] là hình vuông.
Suy ra \[{S_{MNPQ}} = {\left( {\frac{2}{3}} \right)^2}{S_{ABCD}} = \frac{4}{9}{S_{ABCD}} = \frac{4}{9}.6.6 = 16.\]
Câu 3
Lời giải
Bạn cần đăng ký gói VIP ( giá chỉ từ 199K ) để làm bài, xem đáp án và lời giải chi tiết không giới hạn.
Câu 4
Lời giải
Bạn cần đăng ký gói VIP ( giá chỉ từ 199K ) để làm bài, xem đáp án và lời giải chi tiết không giới hạn.
Câu 5
Lời giải
Bạn cần đăng ký gói VIP ( giá chỉ từ 199K ) để làm bài, xem đáp án và lời giải chi tiết không giới hạn.
Câu 6
Lời giải
Bạn cần đăng ký gói VIP ( giá chỉ từ 199K ) để làm bài, xem đáp án và lời giải chi tiết không giới hạn.
Câu 7
Lời giải
Bạn cần đăng ký gói VIP ( giá chỉ từ 199K ) để làm bài, xem đáp án và lời giải chi tiết không giới hạn.


