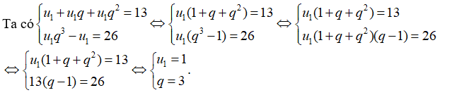
a) Tìm số hạng đầu \[{u_1}\]và công bội q của cấp số nhân (un) biết \[\left\{ \begin{array}{l}{u_1} + {u_2} + {u_3} = 13\\{u_4} - {u_1} = 26\end{array} \right.\]
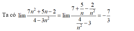
b) Tính giới hạn: \[\lim \frac{{7{n^2} + 5n - 2}}{{4 - 3{n^2}}}\].
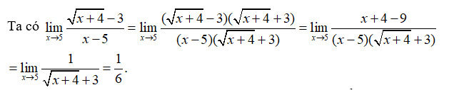
c) Tính giới hạn: \[\mathop {\lim }\limits_{x \to 5} \frac{{\sqrt {x + 4} - 3}}{{x - 5}}\].
a) Tìm số hạng đầu \[{u_1}\]và công bội q của cấp số nhân (un) biết \[\left\{ \begin{array}{l}{u_1} + {u_2} + {u_3} = 13\\{u_4} - {u_1} = 26\end{array} \right.\]
b) Tính giới hạn: \[\lim \frac{{7{n^2} + 5n - 2}}{{4 - 3{n^2}}}\].
c) Tính giới hạn: \[\mathop {\lim }\limits_{x \to 5} \frac{{\sqrt {x + 4} - 3}}{{x - 5}}\].
Quảng cáo
Trả lời:
a)
b)

Hot: 1000+ Đề thi cuối kì 1 file word cấu trúc mới 2025 Toán, Văn, Anh... lớp 1-12 (chỉ từ 60k). Tải ngay
- Trọng tâm Sử, Địa, GD KTPL 11 cho cả 3 bộ Kết nối, Chân trời, Cánh diều VietJack - Sách 2025 ( 38.000₫ )
- Trọng tâm Hóa học 11 dùng cho cả 3 bộ sách Kết nối, Cánh diều, Chân trời sáng tạo VietJack - Sách 2025 ( 58.000₫ )
- Sách lớp 11 - Trọng tâm Toán, Lý, Hóa, Sử, Địa lớp 11 3 bộ sách KNTT, CTST, CD VietJack ( 52.000₫ )
- Sách lớp 10 - Combo Trọng tâm Toán, Văn, Anh và Lí, Hóa, Sinh cho cả 3 bộ KNTT, CD, CTST VietJack ( 75.000₫ )
CÂU HỎI HOT CÙNG CHỦ ĐỀ
Lời giải

Gọi \(K\) là giao điểm của \(B'C\) và \(BC'\), \(I\) là trung điểm của \(AB\).
Do \(HB' = AI;HB'{\rm{//}}AI\) nên tứ giác \(AHB'I\) là hình bình hành hay\(AH{\rm{//}}B'I\)(1).
Mặt khác KI là đường trung bình trong tam giác ABC’ nên \(KI{\rm{//}}AC'\)(2)
Ta có AH và AC’ cắt nhau trong (AHC’); B’I và KI cắt nhau trong (B’CI) (3). Từ (1), (2), (3)\( \Rightarrow \left( {AHC'} \right){\rm{//}}\left( {B'CI} \right)\)
Mà\(B'C \subset \left( {B'CI} \right)\) nên\(B'C{\rm{//}}\left( {AHC'} \right)\).
Cách 2:

Trong mặt phẳng (ACC’A’), gọi O là giao điểm của AC’ và A’C. Vì tứ giác ACC’A’ là hình bình hành nên O là trung điểm của CA’.
Trong tam giác A’B’C ta có HO là đường trung bình nên HO // B’C
Ta có \(\left\{ \begin{array}{l}B'C//HO\\HO \subset (AHC')\\B'C \not\subset (AHC')\end{array} \right. \Rightarrow B'C//(AHC')\).
Câu 2
Lời giải
Chọn A

Câu 3
Lời giải
Bạn cần đăng ký gói VIP ( giá chỉ từ 199K ) để làm bài, xem đáp án và lời giải chi tiết không giới hạn.
Lời giải
Bạn cần đăng ký gói VIP ( giá chỉ từ 199K ) để làm bài, xem đáp án và lời giải chi tiết không giới hạn.
Câu 5
Lời giải
Bạn cần đăng ký gói VIP ( giá chỉ từ 199K ) để làm bài, xem đáp án và lời giải chi tiết không giới hạn.
Câu 6
Lời giải
Bạn cần đăng ký gói VIP ( giá chỉ từ 199K ) để làm bài, xem đáp án và lời giải chi tiết không giới hạn.
Câu 7
Lời giải
Bạn cần đăng ký gói VIP ( giá chỉ từ 199K ) để làm bài, xem đáp án và lời giải chi tiết không giới hạn.
