Cho ba số thực dương thỏa mãn \(\frac{1}{{1 + a}} + \frac{{25}}{{25 + 2b}} \le \frac{{4c}}{{4c + 81}}\).
Tìm giá trị nhỏ nhất của biểu thức \(P = a \cdot b \cdot c.\)
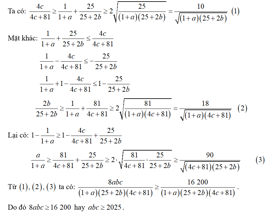
Cho ba số thực dương thỏa mãn \(\frac{1}{{1 + a}} + \frac{{25}}{{25 + 2b}} \le \frac{{4c}}{{4c + 81}}\).
Tìm giá trị nhỏ nhất của biểu thức \(P = a \cdot b \cdot c.\)
Quảng cáo
Trả lời:

Hot: 1000+ Đề thi cuối kì 1 file word cấu trúc mới 2025 Toán, Văn, Anh... lớp 1-12 (chỉ từ 60k). Tải ngay
- Trọng tâm Toán, Văn, Anh 10 cho cả 3 bộ KNTT, CTST, CD VietJack - Sách 2025 ( 13.600₫ )
- Trọng tâm Lí, Hóa, Sinh 10 cho cả 3 bộ KNTT, CTST và CD VietJack - Sách 2025 ( 40.000₫ )
- Sách lớp 10 - Combo Trọng tâm Toán, Văn, Anh và Lí, Hóa, Sinh cho cả 3 bộ KNTT, CD, CTST VietJack ( 75.000₫ )
- Sách lớp 11 - Trọng tâm Toán, Lý, Hóa, Sử, Địa lớp 11 3 bộ sách KNTT, CTST, CD VietJack ( 52.000₫ )
CÂU HỎI HOT CÙNG CHỦ ĐỀ
Lời giải
Với \(x \ge 0\,;\,\,x \ne 1\), ta có
\(B = \left( {\frac{1}{{\sqrt x - 1}} - \frac{1}{{\sqrt x + 1}}} \right):\frac{{x + 1}}{{x - 1}}\)
\( = \left[ {\frac{{\sqrt x + 1}}{{\left( {\sqrt x - 1} \right)\left( {\sqrt x + 1} \right)}} - \frac{{\sqrt x - 1}}{{\left( {\sqrt x - 1} \right)\left( {\sqrt x + 1} \right)}}} \right]:\frac{{x + 1}}{{x - 1}}\)
\( = \frac{2}{{x - 1}} \cdot \frac{{x - 1}}{{x + 1}} = \frac{2}{{x + 1}}\).
Vậy \(B = \frac{2}{{x + 1}}\).
Lời giải
Gọi \(x\) là số xe ban đầu theo dự định \(\left( {x > 0,\,\,x \in \mathbb{N}*} \right)\).
Theo dự kiến mỗi xe cần chở: \(\frac{{171}}{x}\) (tấn).
Số xe thực tế là: \(x - 1\) (xe), thực tế mỗi xe chở: \(\frac{{171}}{{x - 1}}\) (tấn).
Vì mỗi xe còn lại phải chở thêm \[0,5\] tấn hàng so với dự định nên ta có phương trình:
\(\frac{{171}}{{x - 1}} - \frac{{171}}{x} = 0,5\)
\[\frac{{342x}}{{2x\left( {x - 1} \right)}} - \frac{{342x\left( {x - 1} \right)}}{{2x\left( {x - 1} \right)}} = \frac{{x\left( {x - 1} \right)}}{{2x\left( {x - 1} \right)}}\]
\[342x - 342x + 342 = {x^2} - x\]
\[{x^2} - x - 342 = 0\]
\[x = 19\] (thỏa mãn điều kiện) hoặc \[x = - 18\] (không thỏa mãn điều kiện).
Vậy số xe ban đầu của đội xe là 19 xe.
Lời giải
Bạn cần đăng ký gói VIP ( giá chỉ từ 199K ) để làm bài, xem đáp án và lời giải chi tiết không giới hạn.
Lời giải
Bạn cần đăng ký gói VIP ( giá chỉ từ 199K ) để làm bài, xem đáp án và lời giải chi tiết không giới hạn.
Câu 5
Lời giải
Bạn cần đăng ký gói VIP ( giá chỉ từ 199K ) để làm bài, xem đáp án và lời giải chi tiết không giới hạn.
Lời giải
Bạn cần đăng ký gói VIP ( giá chỉ từ 199K ) để làm bài, xem đáp án và lời giải chi tiết không giới hạn.