Diện tích của hình phẳng tạo bởi đồ thị hàm số \(y = {x^2} - 6x + 5\) và trục hoành là:
Quảng cáo
Trả lời:
Đáp án đúng là B
Phương pháp giải
Áp dụng công thức tính diện tích hình phẳng.
Lời giải
Xét phương trình \({x^2} - 6x + 5 = 0 \Leftrightarrow \left[ {\begin{array}{*{20}{l}}{x = 1}\\{x = 5}\end{array}} \right.\).
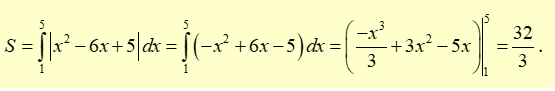
Khi đó, diện tích hình phẳng cần tính là:

Hot: 1000+ Đề thi giữa kì 2 file word cấu trúc mới 2026 Toán, Văn, Anh... lớp 1-12 (chỉ từ 60k). Tải ngay
- Tuyển tập 30 đề thi đánh giá năng lực Đại học Quốc gia Hà Nội 2025 (Tập 1) ( 39.000₫ )
- Tuyển tập 15 đề thi Đánh giá tư duy Đại học Bách Khoa Hà Nội 2025 (Tập 1) ( 39.000₫ )
- Tuyển tập 30 đề thi đánh giá năng lực Đại học Quốc gia TP Hồ Chí Minh (2 cuốn) ( 140.000₫ )
- Tuyển tập 30 đề thi đánh giá năng lực Đại học Quốc gia Hà Nội, TP Hồ Chí Minh (2 cuốn) ( 150.000₫ )
CÂU HỎI HOT CÙNG CHỦ ĐỀ
Câu 1
Lời giải
Đáp án đúng là C
Phương pháp giải
Vận dụng lí thuyết về dòng điện xoay chiều
Lời giải
Ta có: Trong 1 chu kỳ, dòng điện có giá trị tức thời bằng giá trị hiệu dụng của nó 2 lần
Vậy trong 50 chu kỳ, dòng điện có giá trị tức thời bằng giá trị hiệu dụng của nó 100 lần.
Lời giải
Đáp án đúng là B
Phương pháp giải
Vận dụng công thức tính động năng: \({W_d} = \frac{1}{2}m{v^2}\)
Vận dụng lí thuyết về công.
Lời giải
Xét hệ gồm đạn và tấm thép:
- Khi viên đạn xuyên qua tấm thép thì tấm thép tác dụng vào viên đạn một lực F, lực này sinh công làm giảm động năng của viên đạn. Về độ lớn, công của lực F bằng độ giảm động năng của đạn. Ta có: \(A = {W_{0d}} - {W_d} = \frac{1}{2}mv_0^2 - \frac{1}{2}m{v^2} = \frac{1}{2}m\left( {v_0^2 - {v^2}} \right)\)
- Theo nguyên lí I của Nhiệt động lực học: \(\Delta U = Q + A\)
- Vì Q = 0 nên \(\Delta U = A = \frac{1}{2}m\left( {v_0^2 - {v^2}} \right) = \frac{1}{2}0,05\left( {{{100}^2} - {{20}^2}} \right) = 240J\)
- Vì \(\Delta U = 240J > 0\), nên nội năng của hệ (gồm đạn và tấm thép) tăng thêm một lượng là 240J.
Câu 3
Lời giải
Bạn cần đăng ký gói VIP ( giá chỉ từ 199K ) để làm bài, xem đáp án và lời giải chi tiết không giới hạn.
Câu 4
C. Tỉ lệ gia tăng dân số tự nhiên Bun-ga-ri cao hơn Cộng hòa Nam Phi.
Lời giải
Bạn cần đăng ký gói VIP ( giá chỉ từ 199K ) để làm bài, xem đáp án và lời giải chi tiết không giới hạn.
Câu 5
Lời giải
Bạn cần đăng ký gói VIP ( giá chỉ từ 199K ) để làm bài, xem đáp án và lời giải chi tiết không giới hạn.
Câu 6
Lời giải
Bạn cần đăng ký gói VIP ( giá chỉ từ 199K ) để làm bài, xem đáp án và lời giải chi tiết không giới hạn.
Câu 7
Lời giải
Bạn cần đăng ký gói VIP ( giá chỉ từ 199K ) để làm bài, xem đáp án và lời giải chi tiết không giới hạn.

