Cho hàm số \[y = f\left( x \right)\] có bảng biến thiên như sau:
![Cho hàm số y = f( x] có bảng biến thiên như sau: (ảnh 1)](https://video.vietjack.com/upload2/quiz_source1/2026/01/blobid1-1768272301.png)
Hàm số \[y = f\left( {{x^2} - 2} \right)\] nghịch biến trên khoảng nào dưới đây?
Quảng cáo
Trả lời:
Quan sát bảng biến thiên của hàm số \(y = f\left( x \right)\) ta thấy \(f'\left( x \right) = 0\)\( \Leftrightarrow \left[ \begin{array}{l}x = 0\\x = \pm 2\end{array} \right.\).
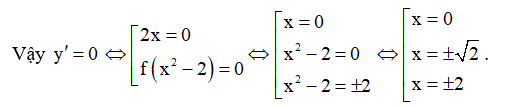
Với \(y = f\left( {{x^2} - 2} \right)\) ta có \(y' = 2x \cdot f'\left( {{x^2} - 2} \right)\).
![Cho hàm số y = f( x] có bảng biến thiên như sau: (ảnh 1)](https://video.vietjack.com/upload2/quiz_source1/2026/01/blobid3-1768272528.png)
![Cho hàm số y = f( x] có bảng biến thiên như sau: (ảnh 2)](https://video.vietjack.com/upload2/quiz_source1/2026/01/blobid5-1768272565.png)
Ta có bảng xét dấu
![Cho hàm số y = f( x] có bảng biến thiên như sau: (ảnh 2)](https://video.vietjack.com/upload2/quiz_source1/2026/01/blobid2-1768272342.png)
Dựa vào bảng xét dấu \(y'\) ta được \(y' < 0\) \(\forall x \in \)\(\left( { - 2; - \sqrt 2 } \right) \cup \left( {0;\sqrt 2 } \right) \cup \left( {2; + \infty } \right)\) nên hàm số \(y = f\left( {{x^2} - 2} \right)\) nghịch biến trên khoảng \(\left( {2; + \infty } \right)\). Chọn C.
Hot: 1000+ Đề thi cuối kì 2 file word cấu trúc mới 2026 Toán, Văn, Anh... lớp 1-12 (chỉ từ 60k). Tải ngay
- Tuyển tập 15 đề thi Đánh giá tư duy Đại học Bách Khoa Hà Nội 2025 (Tập 1) ( 39.000₫ )
- Tuyển tập 30 đề thi đánh giá năng lực Đại học Quốc gia Hà Nội 2025 (Tập 1) ( 39.000₫ )
- Tuyển tập 30 đề thi đánh giá năng lực Đại học Quốc gia TP Hồ Chí Minh (2 cuốn) ( 140.000₫ )
- Tuyển tập 30 đề thi đánh giá năng lực Đại học Quốc gia Hà Nội, TP Hồ Chí Minh (2 cuốn) ( 150.000₫ )
CÂU HỎI HOT CÙNG CHỦ ĐỀ
Lời giải
Ta có \[ - 2t + 10 = 0 \Leftrightarrow t = 5 \Rightarrow \] Thời gian tính từ lúc bắt đầu đạp phanh đến khi dừng hẳn là \[5\] giây. Vậy trong \[8\] giây cuối cùng thì có \[3\] giây ô tô chuyển động với vận tốc \[10\,\,{\rm{m/s}}\] và \[5\] giây chuyển động chậm dần đều với vận tốc \[v\left( t \right) = - 2t + 10\,\,\left( {{\rm{m/s}}} \right)\].
Khi đó, quãng đường ô tô di chuyển là \[S = 3 \cdot 10 + \int\limits_0^5 {\left( { - 2t + 10} \right)} \,dt = 30 + 25 = 55\,\,\left( m \right)\].
Đáp án cần nhập là: \(55\).
Lời giải
Ruồi đực và ruồi cái (P) đều có thân xám, cánh dài, mắt đỏ giao phối với nhau thu được F1 có kiểu hình ruồi đực thân đen, cánh cụt, mắt trắng → P dị hợp 3 cặp gene. Mặt khác, ở ruồi giấm, hoán vị gene chỉ xảy ra ở con cái → Con đực P có kiểu gene .
Ta có: \(\frac{{{\rm{ab}}}}{{{\rm{ab}}}}{{\rm{X}}^{\rm{D}}}{\rm{Y}} = 0,05 \to \frac{{{\rm{ab}}}}{{{\rm{ab}}}} = 0,2 \to \)Con cái P cho giao tử ab = 0,4 (> 0,25).
Vậy kiểu gene của \(P:\frac{{AB}}{{ab}}{X^D}Y \times \frac{{AB}}{{ab}}{X^D}{X^d}\).
→ Tỉ lệ ruồi cái thân đen, cánh cụt, mắt đỏ ở \({{\rm{F}}_1}\left( {\frac{{{\rm{ab}}}}{{ab}}{{\rm{X}}^{\rm{D}}}{{\rm{X}}^ - }} \right) = 0,2 \times \frac{1}{2} = 10\% .\)Đáp án: 10%.
Câu 3
Lời giải
Bạn cần đăng ký gói VIP ( giá chỉ từ 250K ) để làm bài, xem đáp án và lời giải chi tiết không giới hạn.
Câu 4
A. \(90.\)
B. \(144.\)
C. \(60.\)
D. \(16.\)
Lời giải
Bạn cần đăng ký gói VIP ( giá chỉ từ 250K ) để làm bài, xem đáp án và lời giải chi tiết không giới hạn.
Câu 5
Lời giải
Bạn cần đăng ký gói VIP ( giá chỉ từ 250K ) để làm bài, xem đáp án và lời giải chi tiết không giới hạn.
Lời giải
Bạn cần đăng ký gói VIP ( giá chỉ từ 250K ) để làm bài, xem đáp án và lời giải chi tiết không giới hạn.
Câu 7
Lời giải
Bạn cần đăng ký gói VIP ( giá chỉ từ 250K ) để làm bài, xem đáp án và lời giải chi tiết không giới hạn.





