Giả sử trong một nhóm người có \(91\% \) người là không nhiễm bệnh. Để phát hiện ra người nhiễm bệnh, người ta tiến hành xét nghiệm tất cả mọi người của nhóm đó. Biết rằng đối với người nhiễm bệnh thì xác suất xét nghiệm có kết quả dương tính là \(85\% \), nhưng đối với người không nhiễm bệnh thì xác suất xét nghiệm có phản ứng dương tính là \(7\% \). Tính xác suất để người được chọn ra không nhiễm bệnh và không có phản ứng dương tính.
Quảng cáo
Trả lời:
Đáp án đúng là: C
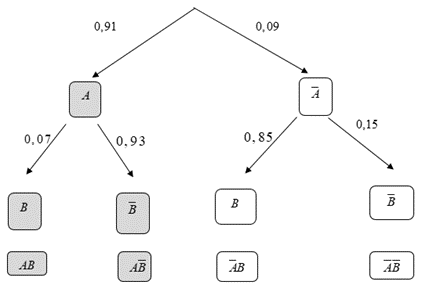
Gọi \(A\): “Người được chọn ra không nhiễm bệnh”.
Và \(B\): “Người được chọn ra có phản ứng dương tính”
Theo bài ta có: \(\;P\left( A \right) = 0,91;P\left( {B|A} \right) = 0,07;P\left( {B|\overline A } \right) = 0,85\)
Do đó:
\(\;P\left( {\overline A } \right) = 1 - P\left( A \right) = 1 - 0,91 = 0,09;P\left( {\overline B |A} \right) = 1 - P\left( {B|A} \right) = 1 - 0,07 = 0,93\)
\(\;P\left( {\overline B |\overline A } \right) = 1 - P\left( {B|\overline A } \right) = 1 - 0,85 = 0,15\).
Ta có sơ đồ hình cây như sau:

Vậy: \(\;P\left( {A\overline B } \right) = 0,91.0,93 = 0,8463\).
Hot: 1000+ Đề thi cuối kì 2 file word cấu trúc mới 2026 Toán, Văn, Anh... lớp 1-12 (chỉ từ 60k). Tải ngay
CÂU HỎI HOT CÙNG CHỦ ĐỀ
Câu 1
Lời giải
a) Đ, b) S, c) Đ, d) S
a) Gọi \(A\): “Email nhận được là email rác”.
Và \(B\): “Email bị lọc đúng email rác của hệ thống lọc email rác”.
Vì \(5\% \) email nhận được là rác nên xác suất nhận được một email rác là \(P\left( A \right) = 5\% = 0,05\)
b) Xác suất email bị lọc của email rác là \(P\left( {\left. B \right|A} \right) = 95\% = 0,95.\)
c) Xác suất email nhận được không phải rác là \(P\left( {\overline A } \right) = 1 - P\left( A \right) = 1 - 0,05 = 0,95\).
Xác suất email bị lọc của email không phải rác là \(P\left( {B\left| {\overline A } \right.} \right) = 0,1.\)
Vậy xác suất chọn một email bị lọc bất kể là rác hay không là
\(P\left( B \right) = P\left( {B\left| A \right.} \right).P\left( A \right) + P\left( {B\left| {\overline A } \right.} \right).P\left( {\overline A } \right) = 0,95.0,05 + 0,1.0,95 = 0,1425.\)
d) Xác suất chọn một email trong số những email bị lọc thực sự là email rác là
Công thức Bayes: \(P\left( {A\mid B} \right) = \frac{{P\left( {B\mid A} \right).P\left( A \right)}}{{P\left( B \right)}} = \frac{{0,95.0,05}}{{0,1425}} = \frac{1}{3}.\)
Câu 2
Lời giải
a) Đ, b) S, c) Đ, d) Đ
a) Chọn 2 sản phẩm tốt từ 13 sản phẩm tốt trong hộp loại I là \(C_{13}^2 = 78\) cách.
b) Số cách chọn 2 phế phẩm từ 4 phế phẩm trong hộp loại II là \(C_4^2 = 6\) cách.
Tổng số cách chọn 2 sản phẩm từ 10 sản phẩm (6 tốt và 4 phế phẩm) trong hộp II là \(C_{10}^2 = 45\) cách.
Vậy xác suất chọn được 2 phế phẩm là \(\frac{6}{{45}} = \frac{2}{{15}}.\)
c) Gọi \(A\): “Chọn được trong thùng một hộp loại I”.
Và \(B\): “Chọn được trong thùng một hộp loại II”.
Xác suất chọn hộp loại I là \(P\left( A \right) = \frac{2}{5}\) và xác suất chọn hộp loại II là \(P\left( B \right) = \frac{3}{5}.\)
Gọi \(C\) là biến cố “Cả 2 sản phẩm lấy ra đều tốt”.
Xác suất lấy được 2 sản phẩm tốt từ hộp loại I là \(P\left( {C\left| A \right.} \right) = \frac{{C_{13}^2}}{{C_{15}^2}} = \frac{{26}}{{35}}.\)
Xác suất lấy được 2 sản phẩm tốt từ hộp II là \(P\left( {C\left| B \right.} \right) = \frac{{C_6^2}}{{C_{10}^2}} = \frac{1}{3}.\)
Vậy xác suất hai sản phẩm lấy ra từ một hộp trong thùng đều tốt là
\(P\left( C \right) = P\left( {C\left| A \right.} \right).P\left( A \right) + P\left( {C\left| B \right.} \right).P\left( B \right) = \frac{{26}}{{35}}.\frac{2}{5} + \frac{1}{3}.\frac{3}{5} = \frac{{87}}{{175}}.\)
d) Xác suất lấy ra hai sản phẩm đều tốt thuộc hộp loại I là
Công thức Bayes: \(P\left( {A\left| C \right.} \right) = \frac{{P\left( {C\left| A \right.} \right).P\left( A \right)}}{{P\left( C \right)}} = \frac{{\frac{{26}}{{35}}.\frac{2}{5}}}{{\frac{{87}}{{125}}}} = \frac{{52}}{{87}}.\)
Lời giải
Bạn cần đăng ký gói VIP ( giá chỉ từ 250K ) để làm bài, xem đáp án và lời giải chi tiết không giới hạn.
Câu 4
Lời giải
Bạn cần đăng ký gói VIP ( giá chỉ từ 250K ) để làm bài, xem đáp án và lời giải chi tiết không giới hạn.
Câu 5
Lời giải
Bạn cần đăng ký gói VIP ( giá chỉ từ 250K ) để làm bài, xem đáp án và lời giải chi tiết không giới hạn.
Câu 6
Lời giải
Bạn cần đăng ký gói VIP ( giá chỉ từ 250K ) để làm bài, xem đáp án và lời giải chi tiết không giới hạn.
Lời giải
Bạn cần đăng ký gói VIP ( giá chỉ từ 250K ) để làm bài, xem đáp án và lời giải chi tiết không giới hạn.