Lớp 10G trong một trường THPT có 21 nam và 24 nữ. Qua thống kê hằng năm tỉ lệ học sinh nữ và tỉ lệ học sinh nam của khối 10 tham gia câu lạc bộ Toán học trong nhà trường lần lượt là 11% và 14%. Chọn ngẫu nhiên một học sinh của lớp 10G. Tính xác suất học sinh đó là nam, biết rằng học sinh đó có tham gia câu lạc bộ Toán học của trường (làm tròn kết quả đến hàng phần trăm).
Quảng cáo
Trả lời:
Đáp án:
Đáp số: 0,53
Gọi \(A\) là các biến cố “Học sinh được gặp là học sinh nam”
Gọi \(B\) là biến cố “Học sinh đó tham gia câu lạc bộ Toán học trong nhà trường”
\(P\left( A \right) = \frac{{21}}{{45}}\), \(P\left( {\overline A } \right) = \frac{{24}}{{45}}\).
\(P\left( {B|A} \right) = 0,14\); \(P\left( {B|\overline A } \right) = 0,11\)
Áp dụng công thức xác suất toàn phần
\[P\left( B \right) = P\left( A \right).P\left( {B|A} \right) + P\left( {\overline A } \right).P\left( {B|\overline A } \right)\]\( = \frac{{21}}{{45}}.0,14 + \frac{{24}}{{45}}.0,11 = \frac{{31}}{{250}}\)
Xác suất để học sinh đó là nam, biếtsrL| rằng học sinh đó tham gia câu lạc bộ Toán học, ta áp dụng công thức Bayes:
\[P\left( {A|B} \right) = \frac{{P\left( A \right).P\left( {B|A} \right)}}{{P\left( B \right)}}\]\( = \frac{{\frac{{21}}{{45}}.0,14}}{{\frac{{31}}{{250}}}} = \frac{{49}}{{93}} \approx 0,53\).
Hot: 1000+ Đề thi cuối kì 2 file word cấu trúc mới 2026 Toán, Văn, Anh... lớp 1-12 (chỉ từ 60k). Tải ngay
CÂU HỎI HOT CÙNG CHỦ ĐỀ
Lời giải
Đáp án:
Trả lời: 128
Gắn hệ trục tọa độ như hình vẽ sau
![Mép dưới của một gầu xúc được mô tả theo từng đoạn bởi một hàm bậc hai chứa đường cong \[AC\] và một hàm bậc nhất chứa đoạn thẳng \[BC\] (tất cả kích thước tính bằng cm) Tính dung tích (thể tích chứa) của gầu xúc bằng bao nhiêu lít? (ảnh 2)](https://video.vietjack.com/upload2/quiz_source1/2026/04/picture92-1776773689.png)
Ta có \(A(0;22,5),B(80;22,5),C(40;2,5)\)
Gọi \(S\) là tọa độ đỉnh của parabol chứa đường cong \(AC\) thì \(S\left( {30;0} \right)\)
- Mép miệng (trên):\({y_{{\rm{tr\^e n }}}} = 22,5\).
- Đáy - parabol (đường cong \[AC\]) (\(0 \to 40\)): đỉnh \(S(30;0)\), \({y_1}(x) = \frac{{{{(x - 30)}^2}}}{{40}},0 \le x \le 40.\)
- Đáy - đoạn thẳng \[BC\] \((40 \to 80)\): qua \((40;2,5)\) và \(B(80;22,5)\)\({y_2}(x) = \frac{1}{2}x - 17,5,40 \le x \le 80.\)
Diện tích tiết diện chứa \(A = \int_0^{40} {\left( {22,5 - {y_1}(x)} \right)} dx + \int_{40}^{80} {\left( {22,5 - {y_2}(x)} \right)} dx = \frac{{2000}}{3} + 400 = \frac{{3200}}{3}\)
Thể tích gầu (chiều dài 120 cm): \(V = A \cdot 120 = \frac{{3200}}{3} \cdot 120 = 128000\;c{m^3} = 128{\rm{ l\'i t}}{\rm{. }}\)
Câu 2
Lời giải
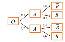
Gọi \(A\) là biến cố “Học sinh mua mô tô” suy ra: \(\overline A \) là biến cố “Học sinh mua búp bê”
Gọi \(B\) là biến cố “ Học sinh nam mua” suy ra: \(\overline B \) là biến cố “ Học sinh nữ mua”

a) Đúng vì \[P\left( A \right) = \frac{{140}}{{140 + 60}} = 0,7\]
b) Sai vì \[P\left( {\overline B |A} \right) = 0,4\].
c) Sai vì \[P\left( {B|A} \right) = 0,6\]
d) Đúng vì \[P\left( B \right) = P\left( {B|A} \right).P\left( A \right) + P\left( {B|\overline A } \right).P\left( {\overline A } \right) = 0,6.0,7 + 0,2.0,3 = 0,48\]
\[n\left( B \right) = 0,48.200 = 96\]
Lời giải
Bạn cần đăng ký gói VIP ( giá chỉ từ 250K ) để làm bài, xem đáp án và lời giải chi tiết không giới hạn.
Câu 4
Lời giải
Bạn cần đăng ký gói VIP ( giá chỉ từ 250K ) để làm bài, xem đáp án và lời giải chi tiết không giới hạn.
Lời giải
Bạn cần đăng ký gói VIP ( giá chỉ từ 250K ) để làm bài, xem đáp án và lời giải chi tiết không giới hạn.
Câu 6
Lời giải
Bạn cần đăng ký gói VIP ( giá chỉ từ 250K ) để làm bài, xem đáp án và lời giải chi tiết không giới hạn.
![Mép dưới của một gầu xúc được mô tả theo từng đoạn bởi một hàm bậc hai chứa đường cong \[AC\] và một hàm bậc nhất chứa đoạn thẳng \[BC\] (tất cả kích thước tính bằng cm) Tính dung tích (thể tích chứa) của gầu xúc bằng bao nhiêu lít? (ảnh 1)](https://video.vietjack.com/upload2/quiz_source1/2026/04/picture91-1776773669.png)