Đề thi tuyển sinh Toán vào lớp 10 năm 2025-2026 sở GD&ĐT Bình Định
Khoahoc.vietjack.com cập nhật Đề thi tuyển sinh Toán vào lớp 10 năm 2025-2026 sở GD&ĐT Bình Định sẽ giúp học sinh nắm được cấu trúc đề thi và có thêm tài liệu ôn thi vào lớp 10 môn Toán. Mời các bạn đón đọc:
- Bộ đề thi Toán vào 10 năm 2025 có đầy đủ lời giải chi tiết:
Xem thử Bộ đề thi thử vào 10 Toán 2025Xem thử Bộ đề thi vào 10 Toán 2025 Xem thử Chuyên đề Toán ôn vào 10
- Bộ đề thi vào 10 môn Toán Hà Nội, Tp.HCM, Đà Nẵng gồm 8 đề thi CHÍNH THỨC từ năm 2015 → 2024 có lời giải chi tiết giúp Giáo viên có thêm tài liệu ôn thi Toán vào 10 Hà Nội, Tp.HCM, Đà Nẵng:
Xem thử Đề vào 10 Hà NộiXem thử Đề vào 10 TP.HCMXem thử Đề vào 10 Đà Nẵng
Chỉ từ 150k mua trọn bộ Đề ôn thi vào 10 môn Toán năm 2026 theo cấu trúc mới bản word có lời giải chi tiết:
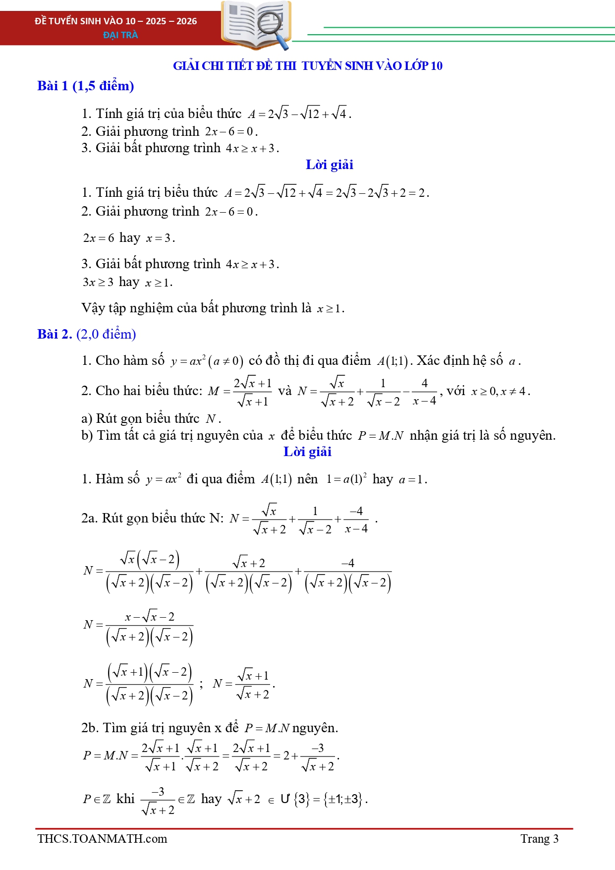
A. Tóm tắt nội dung một số câu trong Đề thi Toán vào lớp 10
Bài 3. (1,5 điểm)
Tại một cửa hàng điện máy, tổng giá tiền niêm yết của một chiếc ti vi và một chiếc tủ lạnh là 25 triệu đồng. Tuy nhiên, trong dịp khai trương cửa hàng giảm 10% giá niêm yết mặt hàng ti vi và giảm 20% giả niêm yết mặt hàng tủ lạnh. Vì thế, bà My đã mua một chiếc ti vi và một chiếc tủ lạnh chỉ với tổng số tiền là 21 triệu đồng. Hỏi giá niêm yết của mỗi mặt hàng ban đầu là bao nhiêu?
Bài 4. (2,0 điểm)
1. Bác An mua một khúc gỗ hình trụ có đường kính đáy 0,6 mét và chiều cao 2 mét. Biết rằng mỗi mét khối gỗ có giá 5 000 000 đồng. Tính thể tích của khúc gỗ và số tiền bác An mua khúc gỗ đó (làm tròn kết quả đến hàng chục nghìn).
2. Một hộp đựng 15 tấm thẻ cùng loại được ghi số từ 1 đến 15, hai thẻ khác nhau thì ghi hai số khác nhau. Xét phép thử “Rút ngẫu nhiên một tấm thẻ trong hộp". Viết không gian mẫu của phép thử và tính xác suất của biến cố A: “Rút được thẻ ghi số chia hết cho 5".
...........................................................................................
B. Nội dung Đề thi Toán vào lớp 10 năm 2025 - 2026 sở GD&ĐT Bình Định





C. Chiến lược ôn thi vào 10 môn Toán hiệu quả
Qua đề thi tuyển sinh Toán vào lớp 10 năm 2025-2026 sở GD&ĐT Bình Định trên, các em đã nắm được cấu trúc cũng như các dạng bài tập có trong đề thi. Cùng tham gia ôn luyện các Đề thi Toán vào lớp 10 mới nhất trên khoahoc.vietjack.com để ôn thi Toán đạt kết quả cao.
TÀI LIỆU LIÊN QUAN
Mở khóa kho tài liệu VIP cực lớn!
Không giới hạn lượt tải, xem tài liệu độc quyền từ các giáo viên hàng đầu.
Nâng cấp ngay