Đề thi tuyển sinh Toán vào lớp 10 (chuyên) năm 2025-2026 sở GD&ĐT Hưng Yên
Khoahoc.vietjack.com cập nhật Đề thi tuyển sinh Toán vào lớp 10 (chuyên) năm 2025-2026 sở GD&ĐT Hưng Yên sẽ giúp học sinh nắm được cấu trúc đề thi và có thêm tài liệu ôn thi vào lớp 10 môn Toán. Mời các bạn đón đọc:
- Bộ đề thi Toán vào 10 năm 2025 có đầy đủ lời giải chi tiết:
Xem thử Bộ đề thi thử vào 10 Toán 2025Xem thử Bộ đề thi vào 10 Toán 2025 Xem thử Chuyên đề Toán ôn vào 10
- Bộ đề thi vào 10 môn Toán Hà Nội, Tp.HCM, Đà Nẵng gồm 8 đề thi CHÍNH THỨC từ năm 2015 → 2024 có lời giải chi tiết giúp Giáo viên có thêm tài liệu ôn thi Toán vào 10 Hà Nội, Tp.HCM, Đà Nẵng:
Xem thử Đề vào 10 Hà NộiXem thử Đề vào 10 TP.HCMXem thử Đề vào 10 Đà Nẵng
Chỉ từ 150k mua trọn bộ Đề ôn thi vào 10 môn Toán năm 2026 theo cấu trúc mới bản word có lời giải chi tiết:
A. Tóm tắt nội dung một số câu trong Đề thi Toán vào lớp 10
Câu IV (1,0 điểm)
Cho hình chữ nhật ABCD, có AB = 9cm, BC = 6cm. Gọi K là trung điểm của AD. Trên cạnh AB lấy điểm H sao cho AH = 2cm. Tính cos góc HCK.
Câu V (2 điểm)
Cho đường tròn (O; R) và điểm 1 cố định nằm trên đường tròn (O; R). Gọi A, B là các giao điểm của hai đường tròn (O; R) và (I; R), P là điểm thay đổi trên cung nhỏ AB của đường tròn (I; R). Đường thẳng qua P và vuông góc với IP cắt đường tròn (O; R) tại M, N. Kẻ PH vuông góc với IM tại H, PK vuông góc với IN tại K.
1) Chứng minh rằng bốn điểm I, H, P, K cùng thuộc một đường tròn và HK vuông góc với OI.
2) Khi P thay đổi trên cung nhỏ AB của đường tròn (I; R), tìm giá trị lớn nhất của diện tích tam giác IHK.
...........................................................................................
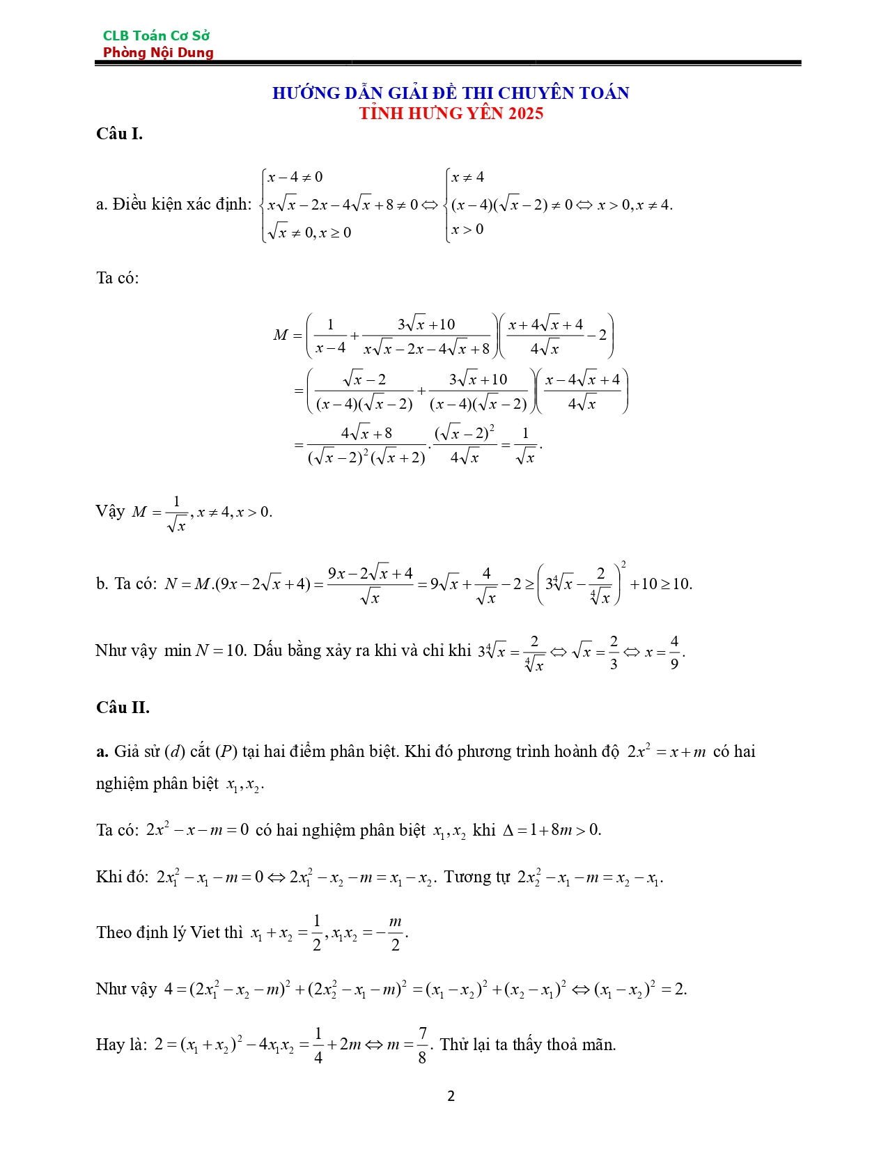
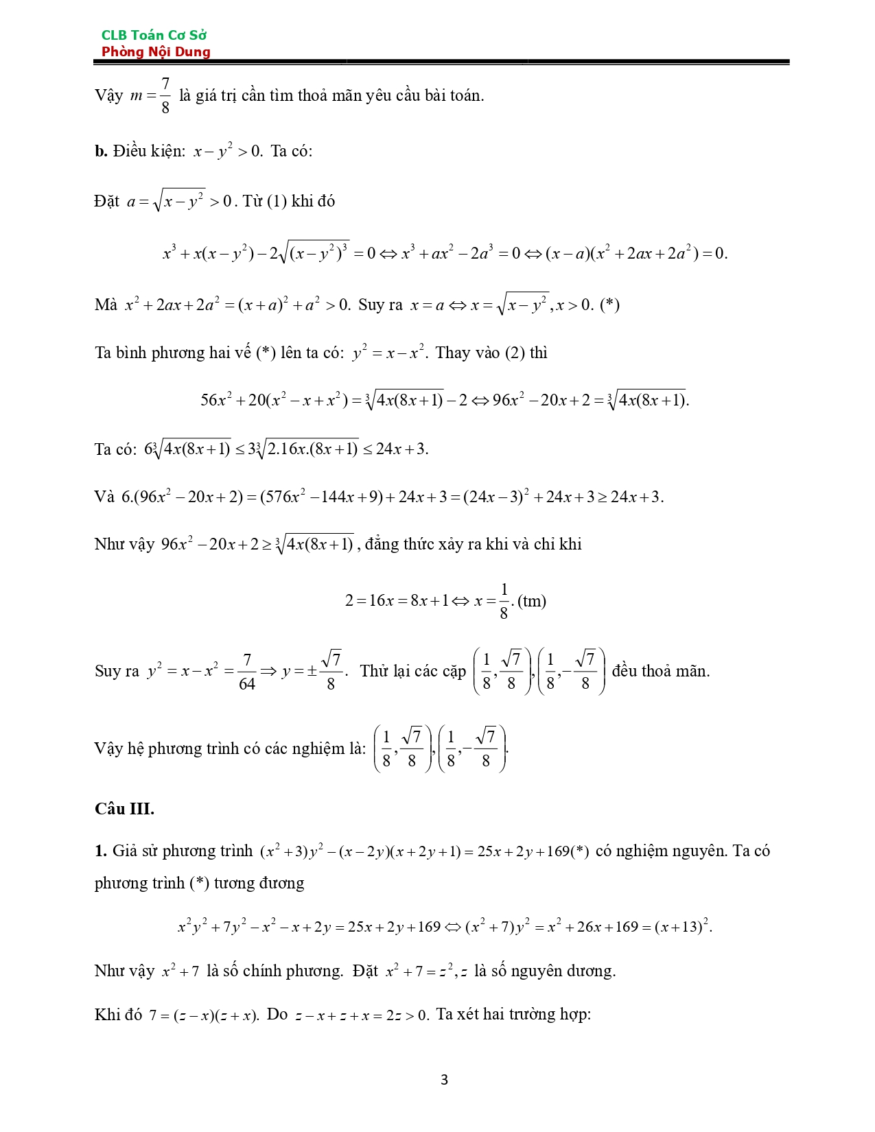
B. Nội dung Đề thi Toán vào lớp 10 (chuyên) năm 2025 - 2026 sở GD&ĐT Hưng Yên






C. Chiến lược ôn thi vào 10 môn Toán hiệu quả
Qua đề thi tuyển sinh Toán vào lớp 10 (chuyên) năm 2025-2026 sở GD&ĐT Hưng Yên trên, các em đã nắm được cấu trúc cũng như các dạng bài tập có trong đề thi. Cùng tham gia ôn luyện các Đề thi Toán vào lớp 10 mới nhất trên khoahoc.vietjack.com để ôn thi Toán đạt kết quả cao.
TÀI LIỆU LIÊN QUAN
Mở khóa kho tài liệu VIP cực lớn!
Không giới hạn lượt tải, xem tài liệu độc quyền từ các giáo viên hàng đầu.
Nâng cấp ngay